The 3D Modeling of GATEM in Fractured Random Media Based on FDTD

Qiong Wu1, Yuehan Zhang1, Shanshan Guan1, Dongsheng Li1, and Yanju Ji1, 2*

1College of Electrical Engineering and Instrumentation

Jilin University, Changchun 130026, China

2Key Laboratory of Earth Information Detection Instruments

Ministry of Education, Jilin University, Changchun 130026, China

wuqiong_515@sina.cn, yhzhang19@mails.jlu.edu.cn, guanshanshan@jlu.edu.cn,

lidongsheng86@sina.cn, jiyj@jlu.edu.cn

Submitted On: March 18, 2021; Accepted On: July 30, 2021

Abstract

Grounded-source airborne time-domain electromagnetic (GATEM) method is an effective detection method of geological survey. The real geological media are rough, self-similar characteristics, and the diffusion process is anomalous diffusion. This paper primarily considers the GATEM responses of a grounded wire source in random media. Von Kármán function is used to establish three-dimensional (3D) random media model and the GATEM responses are realized based on 3D finite-difference time-domain (FDTD) method. The method is verified by homogeneous half-space model. The electromagnetic responses of random abnormal body model are analyzed, and the results show that the abnormal body can be clearly identified. The electromagnetic responses of a fractured model are analyzed, and the results show that the tilt angle of the fault can be reflected.

Index Terms: FDTD, GATEM, Hurst exponent, random media.

I. INTRODUCTION

In recent years, there is a new kind of airborne electromagnetic method appearing on the international aviation, grounded-source airborne time-domain electromagnetic (GATEM) method, which is suitable for the large area where is difficult to access [1]. GATEM takes the form of a grounded wire transmitter and the receiver carried by aircraft [2]. It gathers large investigation depth of ground electromagnetic method and high efficiency of airborne electromagnetic method. It has been used in engineering, geological surveying, and mineral exploration [3, 4, 5].

The electromagnetic modeling of subsurface media is usually based on usually homogeneous media [5, 6, 7, 8]. However, many geophysicists realize that electromagnetic induction of subsurface media is anomalous diffusion [9, 10, 11]. The mean-square displacement of subdiffusion process is slower (subdiffusion) or faster (superdiffusion) than that of Gauss diffusion process, and it is proportional to the fractional power of time [12]. This paper primarily focuses on the subdiffusion diffusion. For subdiffusion diffusion, the electromagnetic fractional diffusion model is defined and the fractional Maxwell equations are gradually being promoted [13, 14, 15]. The three-dimensional (3D) finite-difference (FD) of controlled-source electromagnetics (CSEM) is proposed in frequency domain for a multiscale random media model of fractured geologic formation which is based on a von Kármán autocorrelation function [16]. The one-dimensional (1D) GATEM modeling and interpretation method of fractional diffusion model for a rough medium is proposed [17].

In this paper, we mainly aim to obtain 3D time-domain response of a grounded wire source in fractured media. For the fractional diffusion model based on a von Kármán autocorrelation function, the electromagnetic field iterative equations are derived based on finite-difference time-domain (FDTD) method. The modeling method is validated by different models and compared with analytical solutions.

II. METHOD

A. 3D fractured random media model

The random media conductivity model of geologic formation can be expressed as [16, 18]:

σ=σ0+σδ, (1)

where σ0 is the usual dimension of the conductor, σδ is the smaller scale random inhomogeneities.

The 3D computational model is divided by using Yee staggered grids. The autocorrelation function related to the grid step based on isotropic von Kármán function is:

C(r)=21-vΓ(v)(r)vKv(r), (2)

where v represents roughness or Hurst exponent and 0<v<1, a is the correlation length, r=(x2+y2+z2)/a2, Γ(v) represents the gamma function, and Kv represents the Bessel function of the second kind of noninteger order.

The square root of the autocorrelation spectrum f(C(r)) and Fourier transform of a white noise field wn are calculated and multiplied in the wavenumber domain. The σδ is obtained by transforming results to the spatial domain. The smaller scale random inhomogeneities σδ is added to σ0 to obtain the random media conductivity σ.

B. Modeling of GATEM in fractured random media model

The fractional Maxwell equations are:

×E(t)=-μH(t)t, (3)
×H(t)=εE(t)t+σrE(t), (4)

where E(t) is the electric field, H(t) is the magnetic field, μ and ε are the magnetic permeability and permittivity, respectively.

It is necessary to subdivide the model, when calculating the GATEM response of a 3D anomalous body based on FDTD. In this paper, a non-uniform grid is used to calculate the GATEM response, as shown in Figure 1 (a). The mesh of a part area is relatively finely divided according to the needs, and the mesh of other areas is coarsely divided. The electric field is sampled at the edge of the Yee cell, and the magnetic field is sampled at the center of the Yee cell’s face [19]. According to Figure 1 (b), the electric field is surrounded by four magnetic fields, and the magnetic field is surrounded by four electric fields.

The electric field iterative formulation based on FDTD is:

Exn+1(i+12,j,k)=2ε-(σ0+σδ)tn2ε+(σ0+σδ)tnExn(i+12,j,k)+2t(2ε+(σ0+σδ)tn)y[Hzn+1/2(i+12,j+12,k)-Hzn+1/2(i+12,j-12,k)]-2t(2ε+(σ0+σδ)tn)z[Hyn+1/2(i+12,j,k+12)-Hyn+1/2(i+12,j,k-12)], (5)

where Exn+1(i+12,j,k) is the electric field of tn+1 at position (i+12,j,k), Δy and Δz are space step. Δtn is the time step, and the initial moment is

t0=1.13μσ1Δ12, (6)

images

Fig. 1. (a) non-uniform grid, (b) Electric field and magnetic field at Yee’s cell.

where σ1 is the electrical conductivity of top grid and Δ1 is the top grid. In FDTD, to ensure the stability of calculation, it is necessary to follow Courant–Friedrichs–Lewy stability conditions. In practice, the maximum time step is [20]

Δtmax=α(μσmint6)12Δmin, (7)

where α ranges from 0.1 to 0.2, and σmin is the minimum resistivity value in the model, Δmin is the minimum grid spacing. For the magnetic fields, according to control equations, the iterative formulation is

Hz(i+12,j+12,k)n+12=Hz(i+12,j+12,k)n-12+tn-1+tn2μ[Ex(i+12,j+1,k)n-Ex(i+12,j,k)ny-Ey(i+1,j+12,k)n-Ey(i,j+12,k)nx], (8)

when t = nΔtn,

hxn(i,j+12,k+12)t1(tn-1+tn)/2[hxn+12(i,j+12,k+12)-hxn-12(i,j+12,k+12)]. (9)

For the GATEM system, the transmitter is a grounded electric source with several kilometres length wire, and the receiver and induction coil are towed by an aircraft in the air. For 3D modeling of GATEM based on FDTD, the initial condition of calculation is the electromagnetic response of a grounded wire source. When t = t0, the electric fields of the grounded wire placed along the x-axis are

Ex={I4πxR20[(1-rTM)u0y^0-(1+rTE)z^0u0]J1(λR)dλ-I4πxR10[(1-rTM)u0y^0-(1+rTE)z^0u0]J1(λR)dλ}-z^0I4π-LL0(1+rTE)e-u0zλu0J0(λR)dλdx, (10)
Ey=I4πyR20[(1-rTM)u0y^0-(1+rTE)z^0u0]J1(λR)dλ-I4πyR10[(1-rTM)u0y^0-(1+rTE)z^0u0]J1(λR)dλ, (11)

where y^=σ0+σδ+iεω, z^=iμω, R1=[(x+L)2+y2]1/2,R2=[(x-L)2+y2]1/2, R=[(x-x)2+y2]1/2, L is the half length of the ground wire, I is the transmitter current, u0 = λ in quasistatic electromagnetic field, λ is the Hankel transform integral variable, rTE is the reflection coefficient, and J1 is the first-order Bessel function. The Bessel function integral is calculated via the Hankel transformation algorithm [21]. The time domain responses can be converted from frequency domain by digital filtering method [22].

III. RESULTS

A. The fractured random media conductivity model

Figure 2 is the conductivity distributions of fractured random media conductivity model. The correlation length a = 10 and the conductor σ0 is 0.1 Sm-1. The Hurst exponent v set as 0.2, 0.5, and 0.8. The conductivities are 0.1 Sm-1 to 0.145 Sm-1 for v = 0.2, 0.1 Sm-1 to 0.24 Sm-1 for v = 0.5, and 0.1 Sm-1 to 0.4 Sm-1 for v = 0.8; the maximum value of conductivities increased by more than four times. The Hurst exponent v is an important parameter that determines the change of conductivity.

images

Fig. 2. Conductivity distribution of random media for Hurst exponent. (a) v = 0.2, (b) v = 0.5, (c) v = 0.8.

images

Fig. 3. Conductivity distribution of random media for roughness exponent v =10-6.

B. Modeling results

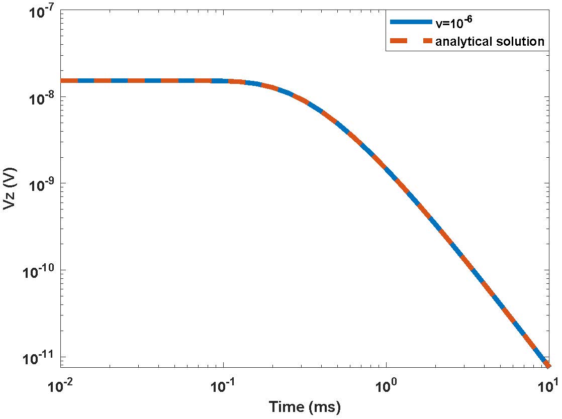
To validate the 3D modeling method, the GATEM response of a specific random half-space model which v 0, the limit as v 0 corresponds to a homogeneous medium, is calculated and compared with analytical solution. The Hurst exponent v = 10-6, and the conductor σ0 is 0.01 Sm-1. The conductivity distributions of random abnormal body are shown in Figure 3. The conductivities are almost 0.01 Sm-1, and it can be approximated as a homogeneous medium model. The calculation parameters are as follows: all models have 221×221×75 grids. The grid is non-uniform and the smallest spacing is 10 m, the largest spacing is 120 m. The wire source is located at the center of the model with 1 m length, and the transmitter current is 20 A. The receiver coil is 500 m away from the wire source and the height is 0 m. The GATEM response is calculated as shown in Figure 4.

images

Fig. 4. Comparison of GATEM response in a random half-space model when v = 10-6and analytical solution.

The GATEM response is compared with the analytical solution obtained from equation (12) [23]. The induced voltage (Vz) can be obtained from Vz=μShzt, where S is the equivalent area of receiver coil. The modeling result coincides with the analytical solution. Figure 4 validates the correctness of the modeling method. The relative error is calculated and is less than 8%.

hzt=Ids2πμσ0yr5[3erf(αr)-2π1/2αr(3+2α2r2)e-α2r2], (12)

where ds is the dipole length, r is the source–receiver distance, y is the horizontal transverse offset and α = (μσ0)1/2r.

images

Fig. 5. A theoretical random abnormal body model.

images

Fig. 6. The electromagnetic response slices of abnormal body model in x-z plane at 2 ms and 5 ms. The black dashed line is the position of the random abnormal body.

images

Fig. 7. The 3D fractured model.

Figure 5 is a 3D theoretical random abnormal body model and the center of the long wire source is the origin. The conductivity of bedrock is recorded as 0.03 Sm-1, and the conductivity of random abnormal body is variable and the basic conductivity is 0.1 Sm-1. The Hurst exponent is set as v = 0.2 and the conductivity distributions of random abnormal body is shown in Figure 1 (b). The depth of the abnormal body is 100 m and the size is 200 m × 200 m × 50 m. The electromagnetic response slices of abnormal body model with v = 0.2 in x-z plane at 2 ms and 5 ms are shown in Figure 6. From these slices in Figure 6, the responses can well reflect the information of the random abnormal body.

images

Fig. 8. The electromagnetic response slices in x-z plane at 2 ms, 5 ms, and 8 ms. The black dashed line is only the reference.

A 3D fractured model is designed, as shown in Figure 7. The resistivity of the right area is 0.03 Sm-1 as the back ground. The basic conductivity of the left part changes linearly from 0.03 Sm-1 to 0.1 Sm-1, and the Hurst exponent is v = 0.5, therefore, the conductivity is variable, ranging from 0.03 to 0.2 Sm-1. The electromagnetic response slices in x-z plane at 2 ms, 5 ms, and 8 ms are shown in Figure 8. It can reflect the tilt angle of the fault.

IV. CONCLUSION

In this paper, 3D random media model is established by Von Kármán function. When establishing a random media model, Hurst exponent is an important parameter that determines the change in conductivity. The GATEM responses in random media are realized based on FDTD and the modeling results validated correctness. The results of the random abnormal body model show that the abnormal body can be identified. A fractured model is designed and the results show that the tilt angle of the fault can be reflected. Inversion of the 3D modeling for random media is the focus of our following research.

ACKNOWLEDGMENT

This study was performed under the project entitled “Research on Sub-diffusion Multi-parameter extraction method of Ground-source Airborne Electromagnetic data based on fully connected neural network (42004059)” and “Research on Key Technologies of Electromagnetic Detection of Induction-Polarization Symbiosis Effects of Dual Phase Conductive Medium Based on SQUID technique (42030104)” supported by the National Natural Science Foundation of China. We thank all members of the GATEM group of Jilin University (China) for their support of this study.

REFERENCES

[1] R. S. Smith, A. P. Annan, and P. D. McGowan, “A comparison of data from airborne, semi-airborne, and ground electromagnetic systems,” Geophysics, vol. 66, no. 5, pp. 1379-1385, Oct. 2001.

[2] T. Mogi, Y. Tanaka, K. Kusunoki, T. Morikawa, and N. Jomori, “Development of grounded electrical source airborne transient EM (GREATEM),” Exploration Geophysics (Melbourne), vol. 29, no. 2, pp. 61-64, Jun. 1998.

[3] T. Mogi, K. Kusunoki, H. Kaieda, H. Ito, A. Jomori, N. Jomori, and Y. Yuuki, “Grounded electrical-source airborne transient electromagnetic (GREATEM) survey of Mount Bandai, north-eastern Japan,” Exploration Geophysics, vol. 40, no. 1, pp. 1-7, Feb. 2009.

[4] S. A. Allah, T. Mogi, H. Ito, A. Jymori, Y. Yuuki, E. Fomenko, K. Kiho, H. Kaieda, K. Suzuki, and K. Tsukuda, “Three-dimensional resistivity modelling of grounded electrical-source airborne transient electromagnetic (GREATEM) survey data from the Nojima fault, Awaji island, south-east Japan,” Exploration Geophysics, vol. 45, no. 1, pp. 49-61, Dec. 2014.

[5] Y. Ji, Y. Zhu, M. Yu, D. Li, and S. Guan, “Calculation and application of full-wave airborne transient electromagnetic data in electromagnetic detection,” Journal of Central South University, vol. 26, no. 4, pp. 1011-1020, Apr. 2019.

[6] Y. Shao and S. Wang, “Truncation error analysis of a pre-asymptotic higher-order finite difference scheme for maxwell’s equations,” Applied Computational Electromagnetics Society Journal, vol. 30, no. 2, pp. 167-170, Feb. 2015.

[7] M. Commer, P. V. Petrov, and G.A. Newman, “FDTD modelling of induced polarization phenomena in transient electromagnetics,” Geophysical Journal International, vol. 209, no. 1, pp. 387-405, Apr. 2017.

[8] F. Naixing, Y. Zhang, Q. Sun, J. Zhu, W. T. Joines, and Q. H. Liu, “An accurate 3-D CFS-PML based Crank-Nicolson FDTD method and its applications in low-frequency subsurface sensing,” IEEE Transactions on Antennas and Propagation, vol. 66, no. 6, pp. 2967-2975, Jun. 2018.

[9] B. Berkowitz and H. Scher, “Anomalous transport in random fracture networks,” Physical Review Letters, vol. 79, no. 20, pp. 4038-4041, Nov. 1997.

[10] A. Guellab and W. Qun, “High-order staggered finite difference time domain method for dispersive debye medium (Artical),” Applied Computational Electromagnetics Society Journal, vol. 33, no. 4, pp. 430-437, Apr. 2018.

[11] C. J. Weiss, B. G. van Bloemen Waanders, and H. Antil , “Fractional operators applied to geophysical electromagnetics,” Geophysical Journal International, vol. 220, no. 2, pp. 1242-1259, Feb. 2020.

[12] R. Metzler and J. Klafter, “The random walk’s guide to anomalous diffusion: a fractional dynamics approach,” Physics Reports: A Review Section of Physics Letters (Section C), vol. 339, no. 1, pp. 1-77, Dec. 2000.

[13] M. E. Everett, “Transient electromagnetic response of a loop source over a rough geological medium,” Geophysical Journal International, vol. 177, no. 2, pp. 421-429, May 2009.

[14] J. Ge, M. E. Everett, and C. J. Weiss, “Fractional diffusion analysis of the electromagnetic field in fractured media; Part I, 2D approach,” Geophysics, vol. 77, no. 4, pp. WB213-WB218, Jul. 2012.

[15] X. Zhao, S. Wang, Q. Wu, and Y. Ji, “Time-domain electromagnetic fractional anomalous diffusion over a rough medium,” IEEE Transactions on Antennas and Propagation, pp. 1-1, Dec. 2020.

[16] J. Ge, M. E. Everett, and C. J. Weiss, “Fractional diffusion analysis of the electromagnetic field in fractured media; Part 2, 3D approach,” Geophysics, vol. 80, no. 3, pp. E175-E185, May 2015.

[17] Q. Wu, D. S. Li, C. D. Jiang, Y. J. Ji, Y. L. Wen, and H. Luan, “Ground-source Airborne Time-domain ElectroMagnetic (GATEM) modelling and interpretation method for a rough medium based on fractional diffusion,” Geophysical Journal International, vol. 217, no. 3, pp. 1915-1928, Jun. 2019.

[18] L. Klimeš, “Correlation functions of random media,” Pure and Applied Geophysics, vol. 159, no. 7, pp. 1811-1831, Jul. 2002.

[19] Kane Yee, “Numerical solution of initial boundary value problems involving Maxwell’s equations in isotropic media,” IEEE Transactions on Antennas and Propagation, vol. 14, no. 3, pp. 302-307, May 1966.

[20] T. Wang and G. W. Hohmanni, “A finite-difference, time-domain solution for three-dimensional electromagnetic modeling,” Geophysics, vol. 58, no. 6, pp.797-809, Jun. 1993.

[21] F. N. Kong, “Hankel transform filters for dipole antenna radiation in a conductive medium,” Geophysical Prospecting, vol. 55, no. 1, pp. 83-89, Jan. 2007.

[22] D. Guptasarma, “Computation of the time-domain response of a polarizable ground,” Geophysics, vol. 47, no. 11, pp. 1574-1576, Nov. 1982.

[23] M. N. Nabighian, “Electromagnetic methods in applied geophysics, volume 1 theory,” Tulsa, Society of Exploration Geophysicists, pp. 237, Jan. 1988.

Abstract

I. INTRODUCTION

II. METHOD

A. 3D fractured random media model

B. Modeling of GATEM in fractured random media model

images

III. RESULTS

A. The fractured random media conductivity model

images

images

B. Modeling results

images

images

images

images

images

IV. CONCLUSION

ACKNOWLEDGMENT

REFERENCES