Newton-ADE-FDTD Method for Oblique Incident Magnetized Time-varying Plasma

Hui Liu1,2, Li-Xia Yang*1,2, Wei Chen1 and Yong Bo1

1School of Electronic Information Engineering Anhui University, Hefei 230601, China

2Anhui Province Key Laboratory of Target Recognition and Feature Extraction, Lu’an 237000, China
(Corresponding author: lixiayang@yeah.net)

Submitted On: October 19, 2021; Accepted On: January 28, 2022

Abstract

In this paper, the Newtonian equation of motion describing the movement of electrons when electromagnetic waves propagate in a magnetized plasma is combined with the traditional auxiliary differential equation finite difference time domain (ADE-FDTD) method. The FDTD iterative formulas of transverse magnetic (TM) wave and transverse electric (TE) wave of the electromagnetic wave obliquely incident on the magnetized time-varying plasma plate are derived. The biggest difference between this method and the ordinary ADE-FDTD algorithm is the addition of the logarithmic derivative of the time-varying plasma electron density to calculate the current density, which is called the Newton-ADE-FDTD method. Through Example 1, the reflection coefficient of electromagnetic wave incident on the magnetization time-varying plasma plate was calculated, and the correctness of the improved algorithm was verified. At the same time, the Newton-ADE-FDTD algorithm is used to calculate the reflection coefficient of electromagnetic waves incident on the magnetized plasma-dielectric photonic crystal. The results show that different incident angles have a greater impact on the reflection coefficients of left-handed circularly polarized wave (LCP) and right-handed circularly polarizedwave (RCP).

Keywords: Magnetized plasma, finite difference time domain (FDTD), electromagnetic wave, oblique incidence.

I. INTRODUCTION

The finite difference time domain (FDTD) [1, 2, 3] plays an important role in computational electromagnetics. FDTD can be used for modeling dispersive media, such as soil modeling in ground penetrating radar [4, 5]. At present, many researchers apply FDTD method to deal with the propagation of electromagnetic waves in plasma [6, 7, 8, 9]. For example, literature [10] uses FDTD method to deal with the propagation of electromagnetic waves in cold plasma.

When the plasma medium is in a constant magnetic field, it will exhibit electrical anisotropy, which is called magnetized plasma [11, 12, 13, 14]. The constant direction of the magnetic field and the phase direction of the electromagnetic wave can be any angle. The theory of magnetic plasma can be used to study the propagation of plane waves of arbitrary polarization in magnetized plasma. In an anisotropic magnetic plasma medium, the polarization state of electromagnetic waves will constantly change. When the phase propagation direction is the direction of the constant magnetic field, two polarized waves will be excited in the magnetic plasma medium, namely the left-handed circularly polarized waves (LCP) and the right-handed circularly polarized waves (RCP).

In recent decades, researchers have proposed a variety of FDTD methods for processing magnetized plasma media. Among them, the current density convolution finite difference time domain (JEC-FDTD) method proposed by Chen in 1998 [15] has been used to deal with complex plasma, dispersion media including magnetized plasma. The auxiliary differential equation finite difference time domain method (ADE-FDTD) [16] directly performs difference iteration by setting the ADE, which improves the calculation efficiency, and its accuracy is the same as that of the JEC-FDTD method. In addition, there are many methods to deal with the electromagnetic problem of plasma dispersion medium, including piecewise linear recursive convolution finitedifference time domain (PLRC-FDTD) [17], moving operator finite difference time domain (SO-FDTD) [18, 19, 20], Runge-Kutta exponential finite difference time domain (PKETD-FDTD), and so on.

In some cases, the electron density of the time-varying magnetization plasma is not fixed but changes with time. When electromagnetic waves pass through the plasma, the time-varying characteristics of the plasma should be considered. The electron density movement of the electromagnetic wave propagating in the magnetization time-varying plasma can be described by the Newtonian equation of motion. Therefore, in this article, when the electromagnetic wave is incident on the magnetized time-varying plasma plate obliquely, the basic Newtonian equation of motion is combined with the ADE-FDTD algorithm to derive the Newton-ADE-FDTD iterative formula for transverse electric (TE) wave and transverse magnetic (TM) wave. The reflection coefficients of TE wave and TM wave were calculated, respectively, and compared with the analytical solution and the traditional ADE-FDTD algorithm, which verified the effectiveness of the algorithm. At the same time, the reflection coefficients of electromagnetic waves at 0, 30, 45, and 60 incident on the magnetized plasma dielectric photonic crystal are calculated.

II. METHOD

Newton’s equation of motion describing electron motion when electromagnetic wave propagates in magnetized plasma can be expressed as

med𝐮edt=-e𝐄-mev𝐮e+e𝐮e×𝐁, (1)

where 𝐮e is electron velocity, e is electron charge, E is electric field intensity, me is electron mass, v is plasma collision frequency, and B is magnetic induction intensity.

The electron density of plasma sometimes exhibits time-varying properties. Current density J in magnetized time-varying plasma can be expressed as

𝐉=-eNe(t)𝐮e, (2)

where Ne(t) is the time-varying plasma electron density. According to Equation (2), 𝐮e can be expressed as

𝐮e=-𝐉eNe(t). (3)

The electron cyclotron frequency of magnetized plasma is

ωb=e𝐁me. (4)

Magnetic induction intensity can be expressed as

𝐁=ωbmee. (5)

Substitute Equation (3) and (5) into Equation (1); then

-med(𝐉eNe(t))dt=-e𝐄+mev𝐉eNe(t)-𝐉Ne(t)×ωbmee. (6)

The updating equation of current density is obtained by sorting out Equation (6)

𝐉t=(1Ne(t)Ne(t)t-v)𝐉+ε0ωp2(t)𝐄+ωb×𝐉. (7)

Definition L(t) is the derivative of plasma electron density, namely

L(t)=ln(Ne(t)). (8)
1Ne(t)Ne(t)t=ln(Ne(t))t=Ln+1-LnΔt. (9)

Combined with Equation (9), the updating Equation (7) of current density can be written as

𝐉t=(Ln+1-LnΔt-v)𝐉+ε0ωp2(t)𝐄+ωb×𝐉, (10)

where ε0 is the vacuum permittivity, and ωp(t) is the time-varying plasma frequency, which can be expressed as

ωp(t)=e2Ne(t)ε0me. (11)

It can be seen from Equation (10) that after combining Newton’s motion equation, the derivative of logarithm of electron density of time-varying plasma is added in the calculation of current density. The equation is applied to ADE-FDTD algorithm of electromagnetic wave incident on magnetized time-varying plasma plate below, and the Newton-ADE-FDTD iterative formula can be obtained.

A. Newton-ADE-FDTD iteration of TE wave

When the incident wave is TE wave, it is known from literature [21] that the one-dimensional Maxwell correction equation in the magnetized time-varying plasma with oblique incident electromagnetic wave is

𝐄z=u0𝐇t. (12)
𝐄t=1ε0cos2θ(𝐇z-𝐉). (13)
d𝐉dt+v𝐉=ε0ωp2𝐄+ωb×𝐉, (14)

where 𝐮0 is the permeability in vacuum and θ is the oblique incidence angle of electromagnetic waves,

𝐄=[ExEy], 𝐇=[HyHx], 𝐉=[JxJy].

Formula (14) is replaced by the iterative formula (10) of current density obtained after simultaneous Newton equations of motion. The governing equation of electromagnetic wave propagation in magnetized time-varying plasma can be expressed as Formulae (10), (12), and (13). ADE-FDTD is used for difference discretization; then

[Hyn+1/2(k+12)Hxn+1/2(k+12)]=[Hyn-1/2(k+12)Hxn-1/2(k+12)]-Δtu0Δz[Exn(k+1)-Exn(k)-(Eyn(k+1)-Eyn(k))]. (15)
Jxn+1(k)
=11-0.5Δt(Ln+1(k+1/2)-Ln(k+1/2)Δt-v)
[Jxn(k)(1+0.5Δt(Ln+1(k+1/2)-Ln(k+1/2)Δt-v))
+Δte2me(Nen+1(k+1/2)+Nen(k+1/2)2)
(Exn+1(k+1/2)+Exn(k+1/2)2)-ωbΔt
(Jyn+1(k+1/2)+Jyn(k+1/2)2)]. (16)
Jyn+1(k)
=11-0.5Δt(Ln+1(k+1/2)-Ln(k+1/2)Δt-v)
[Jyn(k)(1+0.5Δt(Ln+1(k+1/2)-Ln(k+1/2)Δt-v))
+Δte2me(Nen+1(k+1/2)+Nen(k+1/2)2)
(Eyn+1(k+1/2)+Eyn(k+1/2)2)+ωbΔt
(Jxn+1(k+1/2)+Jxn(k+1/2)2)]. (17)
Exn+1(k)
=11+(Δt)2e24ε0(cosθ)2me11-0.5Δt(Ln+1(k+12)-Ln(k+12)Δt-v)
1(Nen+1(k+12)+Nen(k+12)2)[(1-(Δt)2e24ε0(cosθ)2me
11-0.5Δt(Ln+1(k+12)-Ln(k+12)Δt-v)(Nen+1(k+12)+Nen(k+12)2))
Exn(k)
+Δtε0(cosθ)2(-Hyn+1/2(k+12)-Hyn+1/2(k-12)Δz)
-Δt2ε0(cosθ)211-0.5Δt(Ln+1(k+12)-Ln(k+12)Δt-v)
1+0.5Δt(Ln+1(k+12)-Ln(k+12)Δt-v)+1)
Jxn(k)+ωb(Δt)22ε0(cosθ)211-0.5Δt(Ln+1(k+12)-Ln(k+12)Δt-v)
(Jyn+1(k+12)+Jyn(k+12)2)]. (18)
Eyn+1(k)
=11+(Δt)2e24ε0(cosθ)2me11-0.5Δt(Ln+1(k+12)-Ln(k+12)Δt-v)
1(Nen+1(k+12)+Nen(k+12)2)[(1-(Δt)2e24ε0(cosθ)2me
11-0.5Δt(Ln+1(k+12)-Ln(k+12)Δt-v)
(Nen+1(k+12)+Nen(k+12)2))
Eyn(k)
-Δtε0(cosθ)2(Hxn+1/2(k+12)-Hxn+1/2(k-12)Δz)
-Δt2ε0(cosθ)2
11-0.5Δt(Ln+1(k+12)-Ln(k+12)Δt-v)(1+0.5Δt
(Ln+1(k+12)-Ln(k+12)Δt-v)+1)
Jyn(k)-ωb(Δt)22ε0(cosθ)2
11-0.5Δt(Ln+1(k+12)-Ln(k+12)Δt-v)
(Jxn+1(k+12)+Jxn(k+12)2)]. (19)

Equation (15)-(19) are FDTD iterative expressions of TE wave of electromagnetic wave incident obscenely to magnetized time-varying plasma plate.

B. Newton-ADE-FDTD iteration of TM wave

When the incident wave is TM wave, it is known from literature [21] that the one-dimensional Maxwell correction equation in the magnetized time-varying plasma with oblique incident electromagnetic wave is

𝐇z=-ε0εnr𝐄t. (20)
𝐄z=-(1-sin2θεnr)u0𝐇t. (21)
𝐉t=-v𝐉+ε0ωp2(t)𝐄+ωb×𝐉. (22)

Formula (22) is replaced by the iterative formula (10) of current density obtained after the simultaneous Newton equation of motion. Then the one-dimensional Maxwell correction equation in the magnetized time-varying plasma with oblique incident electromagnetic wave can be written as

𝐇z=-ε0εnr𝐄t. (23)
𝐄z=-(1-sin2θεnr)u0𝐇t. (24)
𝐉t=(1Ne(t)Ne(t)t-v)𝐉+ε0ωp2(t)𝐄+ωb×𝐉, (25)

where εnr is the relative permittivity of the n layer, and 𝝈(w) is the conductivity

εnr=1+𝝈(w)jwε0. (26)
𝝈(w)=ε0ωp2jw+v. (27)

Substitute Equation (26) into Equation (23); then

𝐇z=-ε0𝐄t-𝐉. (28)

Make 𝝃 for

𝝃=(εnr-sin2θεnr)𝐇. (29)

Substituting Equation (26) into the above equation, then

ξt=cos2θ𝐇t+1ε0[𝝈(t)*𝐇(t)-𝝈(t)*𝝃(t)]. (30)

At this point, let

𝝍(t)=𝝈(t)*𝐇(t). (31)
𝝌(t)=𝝈(t)*𝝃(t). (32)

Among them, 𝐄=[ExEy],𝐇=[HyHx], 𝐉=[JxJy],
𝝃=[ξyξx].

Meanwhile, the method in [21] is used to process the above formula, and the FDTD discrete formula of the magnetic field part is

[ξyn+1/2(k+12)ξxn+1/2(k+12)]=[ξyn-1/2(k+12)ξxn-1/2(k+12)]--Δtu0Δz[Exn(k+1)-Exn(k)-(Eyn(k+1)-Eyn(k))]. (33)
[Hyn+1/2(k+12)Hxn+1/2(k+12)]=[Hyn-1/2(k+12)Hxn-1/2(k+12)]+1cos2θ[ξyn+1/2(k+12)-ξyn-1/2(k+12)ξxn+1/2(k+12)-ξxn-1/2(k+12)]-Δtωp2cos2θ[χyn(k+12)-ψyn(k+12)χxn(k+12)-ψxn(k+12)]. (34)
[χyn+1/2(k+12)χxn+1/2(k+12)]=e-vΔt[cosωbΔt-sinωbΔtsinωbΔtcosωbΔt][χyn-1/2(k+12)χxn-1/2(k+12)] +Δte-vΔt/2[cosωbΔt2-sinωbΔt2sinωbΔt2cosωbΔt2][ξyn-1/2(k+12)ξxn-1/2(k+12)]. (35)
[ψyn+1/2(k+12)ψxn+1/2(k+12)]=e-vΔt[cosωbΔt-sinωbΔtsinωbΔtcosωbΔt][ψyn-1/2(k+12)ψxn-1/2(k+12)] +Δte-vΔt/2[cosωbΔt2-sinωbΔt2sinωbΔt2cosωbΔt2][Hyn-1/2(k+12)Hxn-1/2(k+12)]. (36)

ADE-FDTD method was used to discretize the current density, and the following results were obtained:

ADE-FDTD method was used to discretize the current density, and the following results were obtained:

Jxn+1(k)=11-0.5Δt(Ln+1(k+1/2)-Ln(k+1/2)Δt-v)[Jxn(k)(1+0.5Δt(Ln+1(k+1/2)-Ln(k+1/2)Δt-v))+Δte2me(Nen+1(k+1/2)+Nen(k+1/2)2)(Exn+1(k+1/2)+Exn(k+1/2)2)-ωbΔt(Jyn+1(k+1/2)+Jyn(k+1/2)2)]. (37)
Jyn+1(k)=11-0.5Δt(Ln+1(k+1/2)-Ln(k+1/2)Δt-v)[Jyn(k)(1+0.5Δt(Ln+1(k+1/2)-Ln(k+1/2)Δt-v))+Δte2me(Nen+1(k+1/2)+Nen(k+1/2)2)(Eyn+1(k+1/2)+Eyn(k+1/2)2)+ωbΔt(Jxn+1(k+1/2)+Jxn(k+1/2)2)]. (38)
[Exn+1(k)Eyn+1(k)]=[Exn(k)Eyn(k)]-Δtε0Δz[Hyn+1/2(k+12)-Hyn+1/2(k-12)-(Hxn+1/2(k+12)-Hxn+1/2(k-12))]-Δtε0[Jxn+1/2(k)Jyn+1/2(k)]. (39)

Equation (33)-(39) are FDTD iterative expressions of TM wave of electromagnetic wave incident diagonally to magnetized time-varying plasmaplate.

III. NUMERICAL RESULTS

A. Example 1

In order to verify the correctness of the algorithm in this paper, an improved algorithm is used to calculate the reflection coefficient of TE wave and TM wave incident on the magnetization time-varying plasma layer at a certain angle. The incident angles are 0, 30, 45, and 60, respectively, and the thickness of magnetized time-varying plasma plate is d =1.5 cm. In this example, the number of spatial grids is 800, the plasma occupies 200 grids, the spatial step dx = 75 × 10-6m, the time step dt =1.25 × 10-13s, and the modified Mur absorption boundary is adopted at both ends.

The incident wave adopts Gaussian pulse, and the expression is

f(t)=exp(-4π(t-t)12τ2) (40)

wherein pulsewidth τ is 150 time steps, t1=0.8×τ.

Collision frequency of magnetized time-varying plasma v = 20 GHz, plasma electron cyclotron frequency wb = 100 GHz, and its electron density changes exponentially as follows:

Ne(t)={Nemax(t<t0)Nemax×exp(-t-t0k)(tt0). (41)

In the above formula, Nemax is the maximum electron density, and the value is 5 × 1018m-3; t0 is the time when the electron density decreases from the maximum value; k is the variable that controls the rate of change with time. In this example, t0 = 200 × dt.

The reflection coefficients of RCP wave and LCP wave of TE wave and TM wave are calculated by using Example 1 and compared with the analytical solution and the traditional ADE-FDTD algorithm, and the correctness of the algorithm is verified.

Figure 1 shows the reflection coefficients of RCP wave when TE waves are incident on the magnetized plasma plate at 0, 30, 45, and 60. Compare the results obtained by the Newton-ADE-FDTD algorithm with the traditional ADE-FDTD algorithm and analytical solution. It can be seen that the calculation of the reflection coefficient of the RCP wave when the TE wave is obliquely incident on the magnetized plasma plate is consistent with the analytical solution, and the accuracy is basically consistent with the traditional ADE-FDTD algorithm. Verify the correctness of thealgorithm.

images

Figure 1: TE wave reflection coefficient (RCP).

Figure 2 shows the reflection coefficient of the LCP wave when the TE wave is incident on the magnetized plasma plate at 0, 30, 45, and 60. It can be seen that the algorithm is consistent with the analytical solution when calculating the reflection coefficient of the LCP wave incident on the magnetized plasma plate, and the accuracy is basically the same as that of the traditional ADE-FDTD algorithm, that is, the correctness of the algorithm is verified. In summary, it can be seen that the Newton-ADE-FDTD algorithm is correct and effective in calculating the reflection coefficient of the varying plasma plate when the magnetization of the obliquely incident TE wave is magnetized.

images

Figure 2: TE wave reflection coefficient (LCP).

Figure 3 shows the reflection coefficient of the RCP wave when the TM wave is incident on the magnetized plasma plate at 0, 30, 45, and 60. It can be seen that when the TM wave is obliquely incident on the magnetized plasma plate, the calculation of the reflection coefficient of the RCP wave is consistent with the analytical solution, and the accuracy is basically the same as that of the traditional ADE-FDTD algorithm. Verify the correctness of the algorithm.

images

Figure 3: TM wave reflection coefficient (RCP).

Figure 4 shows the reflection coefficient of the LCP wave when the TM wave is incident on the magnetized plasma plate at 0, 30, 45, and 60. It can be seen that the algorithm is consistent with the analytical solution when calculating the reflection coefficient of the LCP wave incident on the magnetized plasma plate, and the accuracy is basically the same as that of the traditional ADE-FDTD algorithm, which verifies the correctness of the algorithm. In summary, it can be seen that the Newton-ADE-FDTD algorithm is correct and effective in calculating the reflection coefficient when the TM wave is incident on the magnetization time-varying plasma plate obliquely.

images

Figure 4: TM wave reflection coefficient (LCP).

B. Example 2

The Newton-ADE-FDTD algorithm is used to calculate the electromagnetic wave incident to magnetized plasma-dielectric photonic crystal. The magnetized plasma plate has six layers, the dielectric constant of the dielectric plate is 6, and the number of layers is 5. The magnetized plasma and the dielectric plate are connected alternately to form plasma-dielectric photonic crystals. In this example, the spatial step dx = 75 × 10-6m, the time step dt = 1.25 × 10-13s, and the modified Mur absorption boundary is adopted at both ends. The incident wave parameters are consistent with Example 1, which is a Gaussian pulse, and the expression is shown in Equation (40). Collision frequency of magnetized time-varying plasma v= 20GHz, plasma electron cyclotron frequency ωb= 100GHz, and its electron density changes sinusoidal, as shown in the following ormula:

Ne(t)=Neavg(1+ΔNe(sin(2πf0t))). (42)

Neavg is the average electron density, with a value of 3 × 1018;ΔNe is the change amplitude of electron density, with a value of 0.3; f0 is the change rate of electron density, with a value of 80 MHz.

The incident angles of the electromagnetic wave are 0, 30, 45, and 60. Then the reflection coefficients of the dextrally polarized wave and the left-handed polarized wave of TE wave and TM wave are calculated, respectively. The result is shown in the figure below.

Figures 5 and 6, respectively, for TE wave oblique incidence to the plasma dielectric photonic crystal board RCP and LCP reflection coefficient, can be seen from the diagram, whether it is right-hand or left-hand polarization wave, along with the oblique incident electromagnetic wave to the increase of the angle of the photonic crystals, the band gap of the reflection coefficient corresponding to the right, and the band gap bandwidth has been increased.

images

Figure 5: Reflection coefficient of TE wave in plasma photonic crystal with oblique incident electromagnetic wave (RCP).

images

Figure 6: Reflection coefficient of TE wave in plasma photonic crystal with oblique incident electromagnetic wave (LCP).

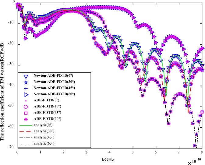
Figures 7 and 8, respectively, show the reflection coefficients of RCP and LCP waves of TM wave incident at an oblique angle of plasma dielectric photonic crystal plate. It can be seen from the figure that with the increase of the angle of electromagnetic wave incident at an oblique angle of photonic crystal, the reflection coefficient of band gap moves to the right and the band gap bandwidth increases, which is consistent with the conclusion of TE wave.

images

Figure 7: Reflection coefficient of TM wave in plasma photonic crystal with oblique incident electromagnetic wave (RCP).

images

Figure 8: Reflection coefficient of TM wave in plasma photonic crystal with oblique incident electromagnetic wave (LCP).

IV. CONCLUSION

In this paper, the basic Newtonian equation of motion is combined with the ADE-FDTD algorithm to derive the Newton-ADE-FDTD iterative formula for the TE wave and TM wave of the magnetized time-varying plasma plate with electromagnetic waves incident at a certain angle and calculate the TE wave. The reflection coefficient of TM wave is compared with the analytical solution and the traditional ADE-FDTD algorithm. Verify the effectiveness of the algorithm. Compared with the traditional ADE-FDTD method, the formula of the improved algorithm is simple to derive, and the current density updating equation of magnetized time-varying plasma is derived completely according to the basic Newtonian equation of motion. For the current density updating equation of the traditional ADE-FDTD algorithm, the current density updating equation of Newton-ADE-FDTD algorithm is more detailed. At the same time, the algorithm is used to calculate the reflection coefficient of electromagnetic waves incident on the magnetized plasma dielectric photonic crystal at 0, 30, 45, and 60. It is found that when the incident angle increases, the band gap will move to the right, and the band gap bandwidth will increase accordingly.

ACKNOWLEDGMENT

This work was supported by the Natural Science Foundation of China under Grant 62071003, Grant 41874174, Grant 61901004, and Grant U21A20457, the Natural Science Foundation of Anhui Province under Grant 2008085MF186, the University Synergy Innovation of Program of Anhui Province under Grant GXXT-2020-050, the Key Basic Research Projects of the State Administration of Science, Technology and Industry for National Defense, and the Collaborative Innovation Program of Universities in Anhui Province under Grant GXXT-2021-028.

REFERENCES

[1] K. Yee, “Numerical solution of initial boundary value problems involving Maxwell’s equations in isotropic media,” IEEE Trans. Antennas Propagat., vol. 14, no. 3, pp. 302-307, 1966.

[2] Kunz and R. Luebbers, The Finite Diference Time Domain Method for Electromagnetics, CRC, Boca Raton, FL, 1993.

[3] A. Taflove and S. Hagness, Computational Electrodynamics: The Finite-Difference Time-Domain Method, 2nd ed., Artech House, Boston, MA, 2000.

[4] F. Teixeira, W. Chew, M. Straka, M. Oristaglio, and T. Wang, “Finite-difference time-domain simulation of ground penetrating radar on dispersive, inhomogenous, and conductive soils,” IEEE Trans. Geosci. Remote Sensing, vol. 36, pp. 1928-1937, Nov. 1998.

[5] L. H. Song, X. P. Li, and Y. M. Liu, “Effect of time-varying plasma sheath on hypersonic vehicle-borne Radar target detection,” IEEE Sensors Journal., vol. 21, no. 15, pp. 16880-16893,Aug. 2021.

[6] J. Li, L.-X. Guo, Y.-C. Jiao, and R. Wang, “Composite scattering of a plasma-coated target above dispersive sea surface by the ADE-FDTD method,” IEEE Geoscience and Remote Sensing Letters, vol. 10, no. 1, pp. 4-8, 2013.

[7] S. Liu, S. Liu, and S. Liu, “Finite-difference timedomain algorithm for plasma based on trapezoidarecursive convolution technique,” Journal of Infrared, Millimeter, and Terahertz Waves, 2010.

[8] Z. Y. Wang, L. X. Guo, and J. T. Li, “Analysis of echo characteristics of spatially inhomogeneous and time-varying plasma sheath,” IEEE Transactions on Plasma Science., vol. 49, no. 6, pp. 1804-1811, Jun. 2021.

[9] J. Chen, J. Tan, X. M. Yu, and H. Y. Shi, “Using WCS-FDTD method to study the plasma frequency selective surface,” IEEE Access., vol. 7, pp. 152473-152477, 2019.

[10] M. Pourbagher and S. Sohafi, “A three dimensional FDTD algorithm for wave propagation in cold plasma media using forth-order schemes,” Applied Computational Electromagnetic Society (ACES) Journal, vol. 28, No. 12, pp. 1153-1161,Dec. 2013.

[11] J. Cho, M. S. Park, and K. Y. Jung, “Perfectly matched layer for accurate FDTD for anisotropic magnetized plasma,” Journal of Electromagnetic Engineering And Science., vol. 20, no. 4, pp. 277-284, Oct. 2020.

[12] L. J. Xu, and N. C. Yuan, “FDTD formulations for scattering from 3-D anisotropic magnetized plasma objects,” IEEE Antennas and Wireless Propagation Letters., vol. 5, pp. 335-338, 2006.

[13] L. J. Xu, and N. C. Yuan, “JEC-FDTD for 2-D conducting cylinder coated by anisotropic magnetized plasma,” IEEE Antennas and Wireless Propagation Letters., vol. 15, no. 12, pp. 892-894,Dec. 2005.

[14] Z. H. Qian, and R. S. Chen, “FDTD analysis of magnetized plasma with arbitrary magnetic declination,” International Journal of Infrared and Millimeter Waves., vol. 28, no. 2, pp. 157-167, Feb. 2007.

[15] Q. Chen, M. Katsurai, and P. H. Aoyagi, “An FDTD formulation for dispersive media using a current density,” IEEE Trans. Antennas Propagat., vol. 46, pp. 1739–1745, 1998.

[16] M. Okoniewski, M. Mrozowski, and M. Stuchly, “Simple treatment of multi-term dispersion in FDTD,” IEEE Microw. Guided Wave Lett., vol. 7, no. 5, pp. 121–123, May 1997.

[17] D. F. Kelley and R. J. Luebbers, “Piecewise linear recursive convolution for dispersive media using FDTD,” IEEE Trans. Antennas Propagat., vol. 44, pp. 792–797, 1996.

[18] F. Wang, D. B. Ge, and B. Wei, “SO-FDTD analysis of EM scattering of magnetized ferrite,” Acta Physice Sinice., vol. 58, pp. 6356–6362, 2009.

[19] Y. Q. Zhang, and D. B. Ge, “An improved shift operator finite-difference time-domain method based on digital signal processing technique for general dispersive medium,” Acta Physice Sinice., vol. 58, pp. 8243–8248, 2009.

[20] H. W. Yang, and Y. Liu, “SO-FDTD analysis on the stealth effect of magnetized plasma with Epstein distribution,” Optik., vol. 124, pp. 2037–2040,2013.

[21] L. X. Yang, S. W. Zheng, and W. D. Shi, etal, Finite difference time domain method for electromagnetic properties of plasma medium and its application. Science Press, 2015, in China.

BIOGRAPHIES

images

Hui Liu was born in Bozhou City, Anhui Province, China, in 1998. She received the B.S. degree in electronic information engineering from Hefei Normal University, Hefei, China, in 2020. She is currently working toward the master’s degree in electromagnetic field and microwave technology of electronic science and technology with the School of Electronic Information Engineering, Anhui University, Hefei, China.

Her current research interest is computational electromagnetism.

images

Li-Xia Yang was born in Ezhou, Hubei, China, in 1975. He received the B.S. degree in physics from Hubei University, Wuhan, China, in 1997, and the Ph.D. degree in radio physics from Xidian University, Xi’an, China, in 2007. Since 2010, he has been an Associate Professor with the Communication Engineering Department, Jiangsu University, Zhenjiang, China. From 2010 to 2011, he was a Postdoctoral Research Fellow with the Electro Science Laboratory (ESL), The Ohio State University, Columbus, OH, USA. From 2015 to 2016, he was a Visiting Scholar with the Institute of Space Science, The University of Texas at Dallas, Dallas, TX, USA. From 2016 to 2019, he has been a Professor, a Ph.D. Supervisor, and the Chairman of the Communication Engineering Department, Jiangsu University.

Since 2020, he has been a Distinguished Professor, a Ph.D. Supervisor, and the Vice Dean with the School of Electronic and Information Engineering, Anhui University, Hefei, China. His research interests include wireless communication technique, radio sciences, the computational electromagnetic, and the antenna theory and design in wireless communication systems. He is a member of the Editor Board of Radio Science Journal in China.

images

Wei Chen was born in Jiangsu Province, China, in 1987. He received the B.S. and M.S. degrees from Jiangsu University, Jiangsu, China, in 2010 and 2013, respectively, and the Ph.D. degree from Xidian University, Xi’an, China, in 2018.

He is currently a Lecturer with the School of Electronics and Information Engineering, Anhui University, Hefei, China. His current research interests include numerical methods in electromagnetic scattering from plasma and wave propagation in complex systems.

images

Yong Bobio was born in Shandong Province, China, on November 11, 1989. He received the B.S. degree in Shandong University of Science and Technology, Qingdao, China, in 2012, and the Ph.D. degree from the Center for Information Geoscience, University of Electronic Science and Technology of China, Chengdu, China.

He is currently a Lecturer with the University of Anhui, Hefei, China. The main subjects of his interest include computational electromagnetic, wave propagation in plasmas, and low temperature plasma technology and application.

Abstract

I. INTRODUCTION

II. METHOD

A. Newton-ADE-FDTD iteration of TE wave

B. Newton-ADE-FDTD iteration of TM wave

III. NUMERICAL RESULTS

A. Example 1

images

images

images

images

B. Example 2

images

images

images

images

IV. CONCLUSION

ACKNOWLEDGMENT

REFERENCES

BIOGRAPHIES