Prediction and Analysis of the Shielding Effectiveness and Resonances of a Cascaded Triple Enclosure Based on Electromagnetic Topology

Jin-Cheng Zhou and Xue-Tian Wang

1School of Information and Electronics, Beijing Institute of Technology, Beijing 100081, China
zjc.chn@gmail.com, wangxuetian@bit.edu.cn

Submitted On: December 16, 2021; Accepted On: March 11, 2022

Abstract

A fast analytical method for predicting the shielding effectiveness (SE) and resonances of a parallelly–serially cascaded triple enclosure was proposed. Under the concept of electromagnetic topology, the observation points and the walls are treated as nodes and the space between them as tubes. An equivalent circuit model of the enclosures is derived in which the apertures on the front and rear walls of the two parallelly cascaded sub-enclosures are considered as a pair of three-port networks. To predict the SE at a particular monitoring point, we introduce the position factor. The results of the proposed method have a good agreement with the numerical methods while it is much faster. The proposed method can help in determining SE for cascaded enclosures. We can also find that the resonance effect affects each subenclosure through the apertures, which must be carefully considered inpractice.

Keywords: Shielding effectiveness, aperture coupling, general Baum–Liu–Tesche equation

I. INTRODUCTION

The development of high-power microwave (HPM), such as radar illuminating and electromagnetic pulses, in recent years has the potential to damage digital systems. Electromagnetic shielding is one of the most commonly used techniques to protect valuable electronics. The shielding performance of an enclosure with apertures is defined by the shielding effectiveness (SE), which is the ratio of the electric field at an observation point without and with the enclosure [1].

There are numerous approaches for calculating SE of the shielding enclosures with apertures, which can generally be divided into numerical methods and analytical formulations.

Numerical methods include finite-difference time-domain method [2], method of moments [3, 4], transmission line matrix (TLM) method [5]. Numerical methods can handle complicated structures, but they often consume more computational resources.

The analytical formulations are based on circuit models. For instance, Robinson’s method [6, 7] and its developed methods [8, 9, 10, 11] are based on transmission line parameters. In this type of method, the rectangular enclosure and the aperture are modeled by a short-circuited rectangular waveguide and a transmission line, respectively. However, the analytical formulations can hardly handle complex enclosure structures.

Electromagnetic topology (EMT) provides a useful tool for studying the coupling problems of complicated electrical systems, which treat the complex interaction problem into smaller and more manageable problems [12, 13]. By applying the EMT concept, the Baum–Liu–Tesche (BLT) equation can be derived to calculate the voltage and current responses at the nodes of a general multiconductor transmission line network. After transforming the enclosure and aperture into nodes, we can use the extended BLT equation to calculate the voltage and current at all nodes [14, 15]. In [16], a method is proposed to use the BLT equation to predict the SE of multiple cascaded enclosures, but the monitoring points are limited to the center axis of eachfront wall.

In this paper, we propose a fast algorithm based on the EMT to predict the SE for a parallelly–serially cascaded triple enclosure. The SE and resonances at any monitor point can be quickly and effectively predicted over a wide bandwidth range by introducing the aperture position factor.

The structure of this paper is as follows. The electromagnetic topological model and equivalent circuit are given along with the derivation of the extended BLT equation in Section 2. Validation of the model is given in Section 3, and Section 4 summarizes the conclusions of this paper.

II. ELECTROMAGNETIC TOPOLOGICAL MODEL

images

Figure 1: Rectangular parallelly–serially cascaded enclosure and its coordinate system; all apertures are positioned centrally in the walls.

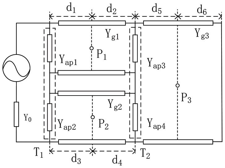
In this paper, we focus on a parallelly–serially cascaded triple enclosure. The structure of this enclosure is shown in Figure 1. The overall size of the enclosure is 300×100×500 mm, and the thickness of the enclosure wall is 1 mm.

The enclosure consists of three enclosures, and the subenclosure of the left-front one in Figure 1 is labeled as number 1 and has size c×b×d1. The one on the right is labeled as number 2 and has the same size as Enclosure 1. And the rear one is labeled as number 3, and the size is a×b×d2; it is also the biggest sub-enclosure. The left aperture ap1 at the front wall of Enclosure 1 has a dimension of l1×w1 and the right aperture ap2 has a dimension of l2×w2, and another pair of apertures ap3 and ap4 with dimensions l3×w3 and l4×w4 are located on the second wall. P1, P2, and P3 are observation points located in the center of each subenclosure,respectively.

The equivalent circuit of the cascaded enclosures in Figure 1 is given in Figure 2. The impedance and propagation constants zg and kg are given by

kg=k01-(mλ2a)2-(nλ2b)2 (1)
Zg=Z0/1-(mλ2a)2-(nλ2b)2. (2)

The radiating source is represented by voltage V0 and impedance of free space Z0=377Ω. Aperture is treated as a coplanar strip transmission line which is shorted at each end; its characteristic impedance is given by Gupta et al [17]:

Zap=Caj2laZostan(k0l2). (3)

Ca is the position factor which is defined as [8, 11]

Ca=sin(mπaxa)cos(nπbya). (4)

xa and ya are the position coordinate, and m and n are mode indices. We can find that when the aperture is located at the center of the wall, TE01, TM11, and TE20 modes will not exist.

images

Figure 2: Equivalent circuit of the parallelly–serially cascaded enclosure.

Since the cascaded enclosures have a thickness, we have effective width we

we=w-5t4π[1+ln4πwt] (5)

where t is the thickness of the enclosure’s wall and w is the width of the aperture. If the shape of the aperture is close to a slot (web2), we have

Zos=120π2[ln(21+1-(we/b)241-1-(we/b)24)]. (6)

images

Figure 3: Signal flow graph of cascaded enclosures.

[V1,1rV1,2rV2,2rV3,2rV3,3rV5,3rV2,4rV4,4rV4,5rV5,5rV6,5rV6,6rV7,6rV7,7r]=[0eγ0lx000000000000eγ0lx0000000000000000000eT100000000000eT3000000000000eT30000000000000000000eT4000000eT10000000000000000000eT2000000000000eT200000000000eT40000000000000000000eT5000000000000eT50000000000000000eT6000000000000eT60][V1,1iV1,2iV2,2iV3,2iV3,3iV5,3iV2,4iV4,4iV4,5iV5,5iV6,5iV6,6iV7,6iV7,7i]-[V00000000000000]. (7)

Figure 3 gives EMT for the triple enclosures shown in Figure 1. Node N1 represents the observation point outside the enclosure which is equivalented by one-port network; nodes N3, N4, and N6 denote observation points P1, P2, and P3 inside the subenclosures respectively, and they are equivalented by two-port networks. The apertures are represented by nodes N2 and N5 as three-port network, and the shorted end is represented by N7 as one-port network. Tube 1 denotes the electromagnetic wave propagation in free space, while Tube 2, Tube 3, Tube 4, Tube 5, and Tube 6 are the wave propagation between the observation points and the apertures in subenclosures. Tube 7 denotes the wave propagation to the short end of Enclosure 3.

As illustrated by Figure 3, we have a propagation matrix as shown in eqn (7):

lx is the distance between electromagnetic wave and the apertures; γ0=jk0 is the phase constant of freespace. Ti represents the phase constant of each subenclosure:

T1=γg1d1,T2=γg1d2 (8)
T3=γg2d3,T4=γg2d4 (9)
T5=γg3d5,T6=γg3d6. (10)

Here, γg=jk01-(mλ/2a)2-(nλ/2b)2, and di shown in Figure 2 represents the distance between each point in the planar wave propagation direction. We can also write eqn (7) as

Vref=Γ×Vinc-Vs. (11)

The scattering matrix S contains the scattering coefficients as shown in eqn (12). For the responses ordered by the tube number, this matrix is sparse, but not necessarily block diagonal, since the locations of the various scattering coefficients depend on how the junctions in the network are numbered and interconnected:

[V1,1rV1,2rV2,2rV3,2rV3,3rV5,3rV2,4rV4,4rV4,5rV5,5rV6,5rV6,6rV7,6rV7,7r]=[ρ100000000000000S112S122S13200000000000S212S222S23200000000000S312S322S33200000000000000S113S123000000000000S213S22300000000000000S114S124000000000000S214S22400000000000000S115S125S13500000000000S215S225S23500000000000S315S325S33500000000000000S116S126000000000000S216S22600000000000000ρ6][V1,1iV1,2iV2,2iV3,2iV3,3cV5,3iV2,4iV4,4iV4,5iV5,5iV6,5iV6,6iV7,6iV7,7i]. (12)

ρ1=0 is the free space, and ρ6=-1 is the short end of the Enclosure 3. S3 , S4, and S5 represent P1, P2, and P3:

S3=S4=S6=[0110]. (13)

S2 and S5 can be obtained from network T1 and T2in Figure 2 respectively. Since the apertures are orthogonal to the propagation direction, we cannot determine the transmission between them; so we neglect the coupling between aperture 1 and aperture 2 and, hence, S232=S322=0:

S112=(Y0Yg2+Y0Yap2+Y0Yap1+Y0Yg1-Yg1Yg2-Yg1Yap2-Yg2Yap1-Yap1Yap2)/Yt2

S122=2(Y0Yg2+Y0Yap2)/Yt2

S132=2(Y0Yg1+Y0Yap1)/Yt2

S212=2(Y0Yg1+Yg1Yg2+Yg1Yap2)/Yt2

S222=(Y0Yg1+Yg1Yg2+Yg1Yap2-Y0Yap1-Yg2Yap1-Yap1Yap2-Y0Yap2-Y0Yg2)/Yt2

S312=2(Y0Yg2+Yg1Yg2+Yg2Yap1)/Yt2

S332=Y0Yg2+Yg1Yg2+Yg2Yap1-Y0Yap2-Yg1Yap2-Y0Yap2-Y0Yg1-Yap1Yap2

Yt2=Y0Yg2+Y0Yap2+Y0Yap1+Y0Yg1+Yg1Yg2+Yg1Yap2+Yg2Yap1+Yap1Yap2.

For the same reason mentioned above, S125=S215=0:

S115=(Yg1Yg3+Yg1Yg2+Yg1Yap4-Yg3Yap3-Yg2Yap3-Yg3Yap4-Yg2Yg3-Yap3Yap4)/Yt5

S135=2(Yg1Yg3+Yg1Yg2+Yg1Yap4)/Yt5

S225=(Yg2Yg3+Yg1Yg2+Yg2Yap3-Yg3Yap4-Yg1Yap4-Yap3Yap4-Yg3Yap3-Yg1Yg3)/Yt5

S235=2(Yg2Yg3+Yg1Yg2+Yg2Yap3)/Yt5

S315=2(Yg2Yg3+Yg3Yap4)/Yt5

S325=2(Yg1Yg3+Yg3Yap3)/Yt5

S335=(Yg1Yg3+Yg3Yap3+Yg3Yap4+Yg2Yg3-Yg1Yg2-Yg2Yap3-Yg1Yap4-Yap3Yap4)/Yt5

Yt5=Yg1Yg3+Yg1Yap3+Yg1Yap4+Yg1Yg2+Yg2Yg3+Yg2Yap3+Yg3Yap4+Yap3Yap4.

The values of Y0, Ygn, and Yapnare derived from the equivalent circuit and eqn (2), and (3). For ap3 and ap4, they are located on the front wall of Enclosure 3; so the width is 300 mm and xa=a/4.

We can also write eqn (12) as

Vref=S×Vinc. (14)

The voltage response is defined as V=Vref+Vinc and, denotes the voltage response at the central point of the z=zp plane; then we have the extensional BLT equation [14]:

V=(E+S)×(Γ-S)-1×Vs. (15)

Here, E is a unit matrix, Γ is the propagation matrix as shown in eqn (7), and S is the scattering matrix. Vs is the source matrix, and since we have only one source in Tube 1, the Vs has only one element in the first line.

The total voltage equal to the sum of the voltages in the different propagation modes, the SE at point P is calculated by SE=-20log(Vp/V0).

III. RESULTS AND DISCUSSION

In this section, we use CST-MWS, a 3D electromagnetic simulation program, to check the validity of the model presented in Section 2. The incident plane wave propagates along the +z axis, and the frequency range is between 0.2 and 2.2 GHz.

Enclosures 1, 2, and 3 shown in Figure 1 have dimensions of 150×100×240,150×100×240, and 300×100×260 mm, respectively. And the sizes of each aperture are defined as 60×10,50×10,60×10, and 70×10 mm, respectively. And the P1, P2, and P3 are in (75, 50, 380), (225, 50, 380), and (150, 50, 130), respectively.

A. Results of different enclosures

images

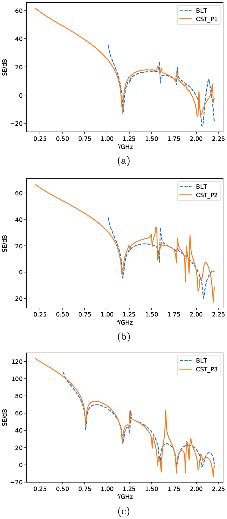
Figure 4: Comparison between the SE result from the BLT equation with that of CST for observe points 1, 2, and 3, respectively.

Figure 4(a) shows SE at P1, and this is also the center of Enclosure 1. It can be observed that the result calculated by the proposed method is in good agreement with the simulation result of CST. The minimum SE values due to the resonance effect are just located at the resonance points which can be calculated by eqn (16):

fmnh=C2(ma)2+(nb)2+(hd)2 (16)

where m, n, and h are determined by the wave modes in the enclosure. In Enclosure 1, the resonant frequency is 1179.24 MHz for the TE101 mode and 1600.78 MHz for the TE102 mode. 1000 MHz is the cutoff frequency of TE10 mode Enclosure 1, and the cutoff frequency of TE30 in Enclosure 1 is 3000 MHz; consequently, the higher-order propagation modes are blocked.

Figure 4(b) shows the SE at P2, which have a similar SE of P1due to the same dimension size. The difference of SE results from the different dimensions of the apertures.

Figure 4(c) shows the SE at P3, and compared with SE at the observation point P1, the SE at the center of Enclosure 3 improves by 20 dB in most frequency ranges, except at the resonance points. From Figure 4(c), it can be seen that the result of SE with the proposed method is in good agreement with that of CST-MWS. Figure 4(c) shows the resonant frequencies of different transmission modes, such as 763.44 (TE101), 1154.49 (TE201), 1257.52 (TE102), 1607.12 (TE301), 1801.54 (TE103), and 2081.54 MHz (TE401). As we have seen in Section 2, ap3 and ap4are not at the center of the front wall of Enclosure 3, so TE201and TE401 modes appear in Enclosure 3; Note that the TE201 mode is also TE101 mode in Enclosure 1 and Enclosure 2, which further weakens the SE in Enclosure 3. We can conclude that the shielding capacity of the inner enclosures is obviously much better than that of the outer enclosure, and the resonant modes of the different enclosures influence each other through the apertures; this must be considered in practice. By observing eqn (16), we can also see that reducing the size of the enclosure will increase the resonant frequency; in other words, separating the outer enclosure into two smaller enclosures helps to improve the SE of the inner enclosure.

images

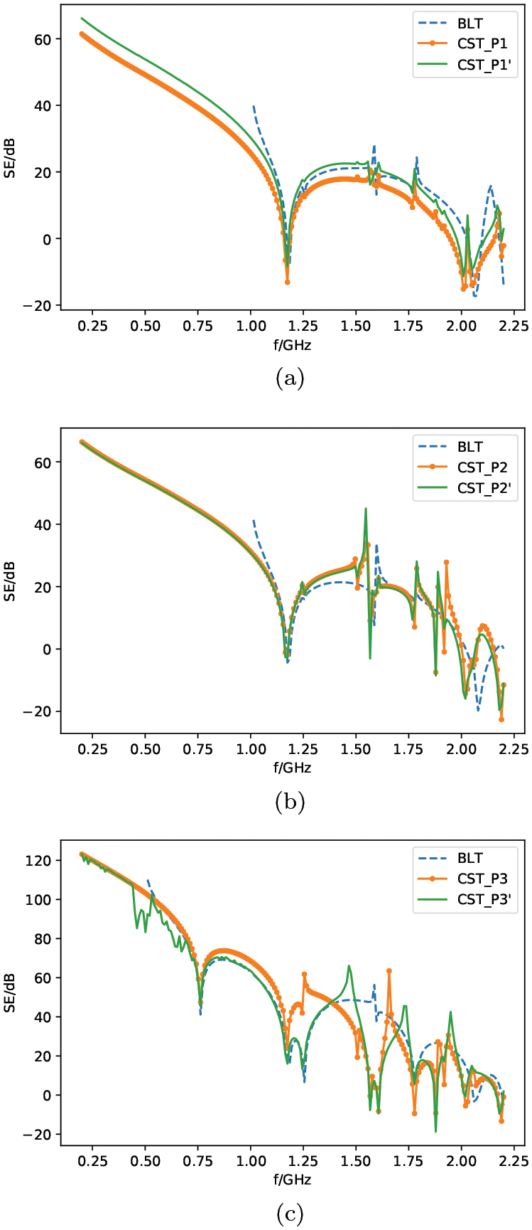
Figure 5: Comparison between the SE results from P1, P2, and P3 with the same position and the original position P1, P2, and P3 of CST.

B. Results of different positions

By applying the position factor in eqn (4), we obtain voltage distribution at any observation point: vp=vpCa; then an off-center observation point can be considered in this way. We have moved the observation points to new positions, and the new points P1, P2, and P3are located in (30, 50, 380), (225, 80, 380), and (150, 50, 100).

Figure 5(a) shows the SE at P1, and we can see that the SE at P1 is about 5 dB higher than at P1, indicating that the off-center point has a better SE.

Figure 5(b) shows the SE at P2. Unlike the case of P1, the SE of P2 is very close to P2. Since TE10 is the main mode in Enclosure 2, it leads to a consistent voltage distribution in the y-axis direction.

Figure 5(c) shows the SE at P3. We vary the z coordinate by changing d in the propagation matrix. It can be observed that the results of SE for the same enclosure differ greatly between two different monitor points.

All cases were calculated on the same computer running a 2.2-GHz Intel i7-8750 CPU. The CST takes 25–30 minutes for a simulation with 200 frequency points, while the fast algorithm takes no more than 0.2 seconds for the same case, indicating the high computational efficiency of the fast algorithm compared to the CST simulation.

IV. CONCLUSION

In this paper, we propose a fast algorithm based on EMT theory and the BLT equation to analyze the shielding performance of an apertured triple enclosure illuminated by an external plane wave. We derive a double three-port scattering matrix to describe the coupling relationship of the triple enclosure. By introducing the position factor ca, the SE and resonances at any observation point can be easily predicted. Several observation points are presented to demonstrate the validity and accuracy of the algorithm. The proposed method has a good agreement with numerical method over a wide frequency range, while it can significantly improve the computation speed. This algorithm also proves that the BLT equation can handle complex enclosures by changing the EMT relationship.

REFERENCES

[1] T. Cvetković, V. Milutinović, N. Dončov, and B. Milovanović, “Numerical Investigation of Monitoring Antenna Influence on Shielding Effectiveness Characterization,” The Applied Computational Electromagnetics Society Journal (ACES), pp. 837-846, 2014.

[2] S. Georgakopoulos, C. Birtcher, and C. Balanis, “HIRF penetration through apertures: FDTD versus measurements,” IEEE Transactions on Electromagnetic Compatibility, vol. 43, no. 3, pp. 282-294, Aug. 2001.

[3] R. Araneo and G. Lovat, “Fast MoM Analysis of the Shielding Effectiveness of Rectangular Enclosures With Apertures, Metal Plates, and Conducting Objects,” IEEE Transactions on Electromagnetic Compatibility, vol. 51, no. 2, pp. 274-283, May 2009.

[4] B. Audone and M. Balma, “Shielding effectiveness of apertures in rectangular cavities,” IEEE Transactions on Electromagnetic Compatibility, vol. 31, no. 1, pp. 102-106, Feb. 1989.

[5] B.-L. Nie, P.-A. Du, Y.-T. Yu, and Z. Shi, “Study of the Shielding Properties of Enclosures With Apertures at Higher Frequencies Using the Transmission-Line Modeling Method,” IEEE Transactions on Electromagnetic Compatibility, vol. 53, no. 1, pp. 73-81, Feb. 2011.

[6] M. P. Robinson, T. M. Benson, C. Christopoulos, J. F. Dawson, M. D. Ganley, A. C. Marvin, S. J. Porter, and D. W. P. Thomas, “Analytical formulation for the shielding effectiveness of enclosures with apertures,” IEEE Transactions on Electromagnetic Compatibility, vol. 40, no. 3, p. 9, 1998.

[7] M. P. Robinson, J. D. Turner, D. W. P. Thomas, J. F. Dawson, M. D. Ganley, A. C. Marvin, S. J. Porter, T. M. Benson, and C. Christopoulos, “Shielding effectiveness of a rectangular enclosure with a rectangular aperture,” Electronics Letters, vol. 32, no. 17, pp. 1559-1560, Aug. 1996, publisher: IET Digital Library.

[8] F. Po’ad, M. Jenu, C. Christopoulos, and D. Thomas, “Analytical and experimental study of the shielding effectiveness of a metallic enclosure with off-centered apertures,” in 2006 17th International Zurich Symposium on Electromagnetic Compatibility, pp. 618-621, IEEE, Singapore, 2006.

[9] C.-C. Wang, C.-Q. Zhu, X. Zhou, and Z.-F. Gu, “Calculation and Analysis of Shielding Effectiveness of the Rectangular Enclosure with Apertures,” The Applied Computational Electromagnetics Society Journal (ACES), pp. 535-545, 2013.

[10] M.-C. Yin and P.-A. Du, “An Improved Circuit Model for the Prediction of the Shielding Effectiveness and Resonances of an Enclosure With Apertures,” IEEE Transactions on Electromagnetic Compatibility, vol. 58, no. 2, pp. 448-456, Apr. 2016.

[11] B.-L. Nie and P.-A. Du, “An Efficient and Reliable Circuit Model for the Shielding Effectiveness Prediction of an Enclosure With an Aperture,” IEEE Transactions on Electromagnetic Compatibility, vol. 57, no. 3, pp. 357-364, Jun. 2015.

[12] F. Tesche, “Topological concepts for internal EMP interaction,” IEEE Transactions on Antennas and Propagation, vol. 26, no. 1, pp. 60-64, Jan. 1978.

[13] C. E. Baum, “Electromagnetic Topology for the Analysis and Design of Complex Electromagnetic Systems,” in J. E. Thompson and L. H. Luessen, editors, Fast Electrical and Optical Measurements: Volume I — Current and Voltage Measurements/ Volume II — Optical Measurements, NATO ASI Series, pp. 467-547, Springer Netherlands, Dordrecht, 1986.

[14] F. M. Tesche, J. M. Keen, and C. M. Butler, “Example of the use of the BLT equation for EM field propagation and coupling calculations,” URSI Radio Science Bulletin, vol. 2005, no. 312, pp. 32-47, Mar. 2005.

[15] F. M. Tesche, “On the Analysis of a Transmission Line With Nonlinear Terminations Using the Time-Dependent BLT Equation,” IEEE Transactions on Electromagnetic Compatibility, vol. 49, no. 2, pp. 427-433, May 2007.

[16] Kan Yong, Yan Li-Ping, Zhao Xiang, Zhou Hai-Jing, Liu Qiang, and Huang Ka-Ma, “Electromagnetic topology based fast algorithm for shielding effectiveness estimation of multiple enclosures with apertures,” Acta Physica Sinica, vol. 65, no. 3, p. 030702, 2016.

[17] K. Gupta, R. Garg, I. Bahl, and P. Bhartia, Microstrip Lines and Slotlines, Artech House,1996.

BIOGRAPHIES

images

Jincheng Zhou was born in Jiangsu, China, in 1990. He received the B.A. degree from Xi’an Technological University, China, in 2008. He is currently working toward the Ph.D. degree with at the School of Information and Electronics, Beijing Institute of Technology. His research interests include radio propagation, EMC, and EM protection.

images

Xuetian Wang was born in Jiangsu, China, in 1961. He received the Ph.D. from the Department of Electronic Engineering, Beijing Institute of Technology in 2002. He has been working with t Beijing Institute of Technology as a Researcher since August 2001, and he has been a Professor since 2003. His research interests include EMC, EM protection, and electromagnetic radiation characteristics.

Abstract

I. INTRODUCTION

II. ELECTROMAGNETIC TOPOLOGICAL MODEL

images

images

images

III. RESULTS AND DISCUSSION

A. Results of different enclosures

images

images

B. Results of different positions

IV. CONCLUSION

REFERENCES

BIOGRAPHIES