Power Changes of Electromagnetic Waves Across the Temporal Boundary in Simple Polar-Molecule Reactions

Xingpeng Liu1, Song Zhang1, and Kama Huang2

1School of Network and Communication Engineering
Chengdu Technological University, Chengdu 610064, China
lxp_herb@163.com, 57101150@qq.com

2College of Electronics and Information Engineering
Sichuan University, Chengdu 611730, China
kmhuang@scu.edu.cn

Submitted On: July 22, 2021; Accepted On: November 6, 2021

Abstract

Microwave-assisted chemical reactions have been widely used, but the inhomogeneous heating limits further applications. The aim of this paper is to investigate the power transfer behavior in the simple polar-molecule reactions whose polarization changes with the proceeding of the reactions. At the temporal boundary, based on the continuity of charge and flux and the equivalent transmission line approach of the simple polar-molecule reactions, we discover the power changes in the reactions. The numerical results are in agreement with the theory of the temporal boundary. When the time scale of the component concentration variation is smaller than the wave period, the polarization is not continuous at the temporal boundary. The impedance of the reactions across the temporal boundary changes, and the reflection occurs. Moreover, when the dielectric property of the reactions decreases, the power of the waves increases after the temporal boundary and the waves experience a net energy gain. The results may be helpful in disclosing the non-uniform electromagnetic energy distribution in chemical reactions.

Index Terms: Electromagnetic power propagation, power changes, a temporal boundary, simple polar-molecule reactions.

I. INTRODUCTION

Microwaves have been used increasingly in chemical engineering for a series of advantages, such as improvement in reaction rates, yields, and energy saving [1, 2, 3]. However, inhomogeneous heating and hot spots have been limiting the utilization of microwaves in chemical engineering [4, 5]. In order to study these problems, it is essential to investigate the behavior of electromagnetic power transfer in chemical reactions.

The electromagnetic energy propagation through general media with dispersion and loss has been studied extensively for decades [6, 7]. The previousstudies are mainly focused on electromagnetic media characterized by permittivity and permeability. However, most of chemical reactions are non-stationary media, of which dielectric properties are different from the media reported before [8, 9, 10]. Recently, the time-varying and dispersive characteristics of chemical reactions have been demonstrated theoretically [11]. Perhaps, the most outstanding features of chemical reactions are time-varying characteristics, which cause changes in the amplitude and frequency of electromagnetic waves. And the reflection and transmission of electromagnetic waves at a temporal boundary have been discussed in chemical reactions [12]. What is more important, the internal reflections caused by time-varying characteristics lead to the non-uniform distribution of electromagnetic waves in chemical reactions. To the best of our knowledge, the effects of time-varying characteristics on electromagnetic energy in chemical reactions are barely mentioned. It is the first time that the simple polar-molecule reactions are chosen as the research object to study the effect of the time-varying characteristics on the power changes. Moreover, the power changes at such temporal characteristics will further stimulate an intense investigation in the non-uniform distribution of electromagnetic energy in spatially homogenous chemical reactions. In order to obtain the power changes across the temporal boundary in the homogenous reactions, the impact of component concentration variation on the conditions and trends of power changes are shown for the first time.

In recent years, the transmission line theory has evolved into a very powerful modeling tool to analyze energy flux in dynamic systems, such as the mechanical and hydraulic systems [13, 14, 15]. The unit equivalent circuit of a transmission line can be connected to the resistors, inductors, and capacitors under constraints of a physical meaning of systems to be modeled [16, 17]. In this approach, electromagnetic field quantities are substituted by the analogous incident and reflected voltage and current propagating through this unit circuit [18, 19]. This conceptually new approach greatly simplifies calculations by the definite physical meaning of circuit elements in the unit circuit. And the fundamental electromagnetic properties of the reactions are reviewed by a unit equivalent circuit approach [20]. The equivalent transmission line approach provides an efficient analysis tool for the power transfer in chemical reactions.

In this letter, we investigate the unique properties of the power transfer through homogenous polar-molecule reactions based on an equivalent transmission line approach. Then the propagation of electromagnetic energy in the reactions is simulated to validate the theoretical results.

II. POWER CHANGES ACROSS A TEMPORAL BOUNDARY IN REACTIONS

The power of electromagnetic waves in media can often be calculated by permittivity. However, many chemical reactions are non-equilibrium process. During this process, the concentrations of reactants and products are changing with time. Based on the modified Smoluchowski-Debye equation, the polarization expression of polar-molecule reactions is indicated by the response function in the time domain. The expression of the polarization in polar-molecule reactions isgiven as

𝑷(t)=iφAi(t)*[cAi(t)𝑬(t)]+jφBj(t)*[cBj(t)𝑬(t)].

Here, * denotes the convolution. φAi(t) and φBj(t) represent the rotational diffusion properties of the reactant and product, while cAi(t) and cBj(t) denote the concentrations of the reactant and product, respectively [10]. To make the polarization expression easily, the simple polar-molecule reactions are considered, in which only one component (Xi) has the polarization

𝑷Xi(t)=φXi(t)*[cXi(t)𝑬(t)]. (1)

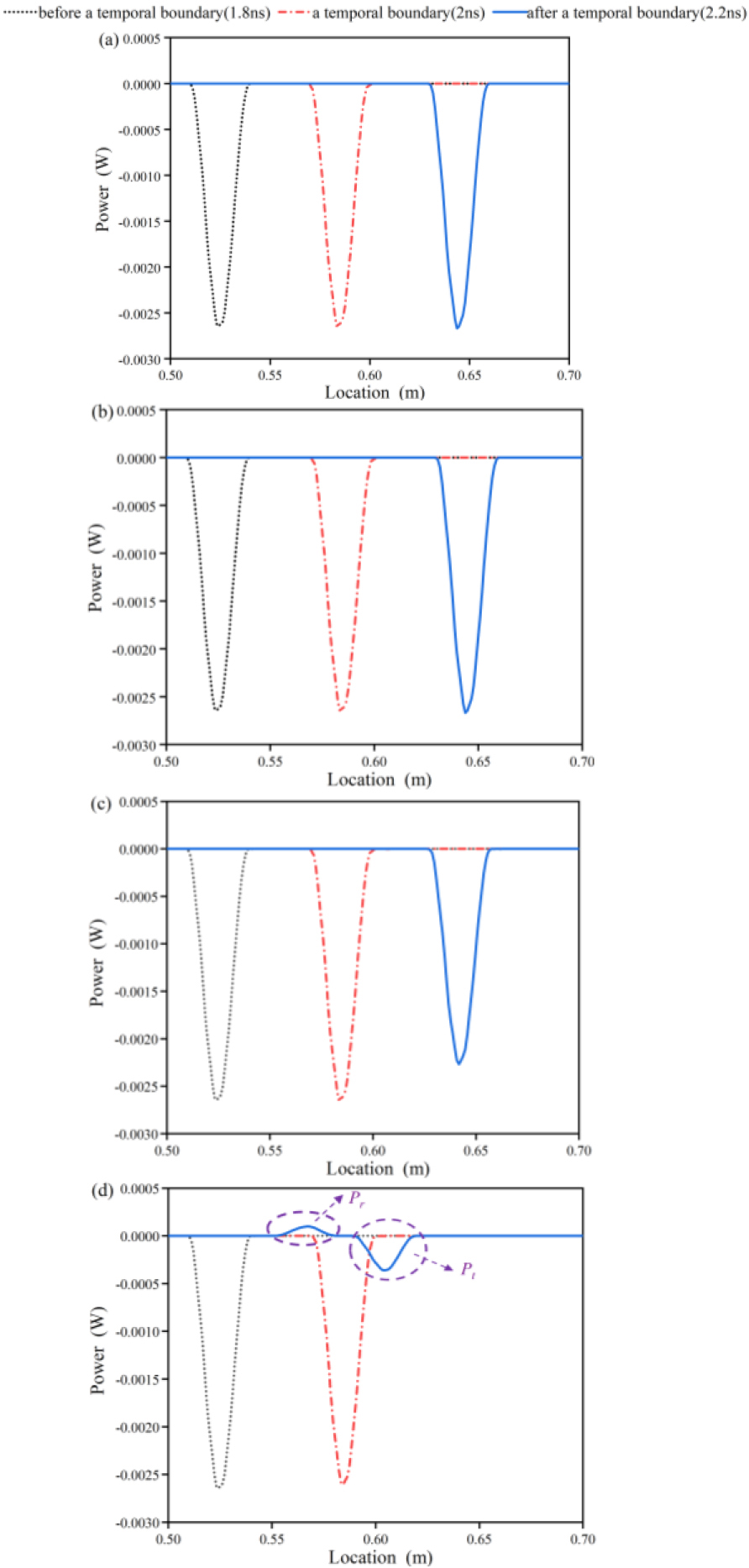
φXi(t) and cXi(t) are the rotational diffusion function and concentration of Xi. * represents the convolution. φXi(t)=ε0χXiexp(-t/τXi)/τXi, where χXi is the electric susceptibility, ε0 is the vacuum permittivity, and τXiis the dielectric relaxation time. Xi denotes the reactants or products [10]. Furthermore, the reactions are considered to be more general media of composite dispersive and time-varying characteristics [11]. To show the effects of time-varying characteristics on the power transfer, we consider an instant t0 as the temporal boundary in chemical process. Figure 1(a) shows the polarization of reaction changes from 𝑷Xi(t0-) to 𝑷Xi(t0+) between a temporal boundary t0, which lead to the intrinsic impedance of the reactions varied from η(t0-) to η(t0+).

To indicate the features of power changes resulting from the time-varying characteristics of the reactions, the reactions are treated as spatially homogenous and isotropic nonmagnetic media, being without free charges and currents. The transmission line theory can be employed to explain the electromagnetic propagation behavior in media [21, 22]. The homogenous reactions can be represented by an equivalent transmission line (continuous and invariant along the direction of propagation) to gain an immediate insight into the fundamental properties of reactions. The time-varying transmission line represented in Figure 1(b) corresponds to the model of Figure 1(a). We denote the charge and flux before t0 with Qi(t0-) and ϕi(t0-). After t0, the transmitted and reflected charges are denoted by Qt(t0+) and Qr(t0+), respectively, with a similar notation for thefluxes.

images

Figure 1: (a) Propagation processes at the temporal boundary in space-invariant reactions. (b) Schematic of time-varying transmission line. (c) The equivalent circuit unit.

Figure 1(c) shows the unit circuit of the transmission line presenting a per-unit length for media as described by eqn (1). In such a transmission line circuit, the magnetization and polarization are represented by the distributed series impedance (Z) and shunt admittance (Y) per unit length, respectively [16, 17], according to the constitutive relation of the reactions. Since the time-varying characteristics of the reactions, the principle of the time-varying transmission line is to make its characteristic parameters, such as impedance and admittance, being time changing. Z(t0-) and Z(t0+) denote the impedances before and after the temporal boundary located at t0, similarly for the admittances Y(t0-) and Y(t0+). The transmission line’s characteristic impendence (Z0=Z/Y) changes from Z0(t0-) to Z0(t0+) at t = t0, which correspond to the reactions’ intrinsic impedance. In its unit equivalent circuit, the series impedance (Z) and shunt admittance (Y) can be represented as the combination of equivalent time-varying resistance (R(t)), conductance (G(t)), capacitance (C(t)), and inductance (L(t)) of per-unit length, which can be derived mathematically by Maxwell equations and the constitutive relations of the reactions. The equivalent capacitance changes from C(t0-) to C(t0+)at t = t0, with a similar notation for the inductance. For a time-varying equivalent circuit, the relationships between charge and voltage is Q(z,t)=C(t)u(z,t) as well as the flux and current is ϕ(z,t)=L(t)i(z,t) [23, 24]. Thus, the instantaneous power is given by

P(t)=u(t)i(t)=u2(t)Z0(t)=Q2(t)C2(t)Z0(t). (2)

×𝑬=-𝑩/t and ×𝑯=𝑫/t indicate that the electric displacement (D) and magnetic induction (B) require the continuity at a temporal boundary [25, 26]. As the charge Q=𝑫𝑑𝑺 and the flux ϕ=𝑩𝑑𝑺, the charge (Q) and flux (ϕ) are conserved at a temporal boundary t0 [27]. Accordingly, we have

Qi(t0-)=Qr(t0+)+Qt(t0+) (3a)

and

ϕi(t0-)=-ϕr(t0+)+ϕt(t0+). (3b)

Thus, the ratio of the reflected power (Pr) and transmitted power (Pt) to the incident power (Pi) at t0 are derived as

PrPi=C2(t0-)Z0(t0-)C2(t0+)Z0(t0+)14(1-C(t0+)Z0(t0+)C(t0-)Z0(t0-))2 (4a)

and

PtPi=C2(t0-)Z0(t0-)C2(t0+)Z0(t0+)14(1+C(t0+)Z0(t0+)C(t0-)Z0(t0-))2. (4b)

To get a deeper insight, we add the eqn (4a) and (4b) and obtain

Pr+PtPi=C(t0-)C(t0+)12(C(t0-)Z0(t0-)C(t0+)Z0(t0+)+C(t0+)Z0(t0+)C(t0-)Z0(t0-)). (5)

Eqn (4a) and (4b) indicate that the reflected and transmitted powers change due to an abrupt change of impedance. When the time scale of the component concentration variation is greater than the wave period, the time-varying characteristics of the reactions can be neglected and 𝑷Xi(t0-)=𝑷Xi(t0+) [11]. The unit parameters of the transmission line circuit do not change at t0, that is, C(t0-)=C(t0+) and Z0(t0-)=Z0(t0+). As shown in eqn (4a) and (4b), Pr = 0 and Pt = Pi are obtained subsequently. Thus, (Pr+Pt)/Pi=1 by eqn (5), indicating conservation of energy. It is important to realize that in the absence of the time-varying property of the reactions, 𝑷Xi(t0-)=𝑷Xi(t0+) and the temporal boundary is switched off. The reflectivity vanishes and the energy of the waves is conserved.

On the other hand, while the time scale of the component concentration variation is smaller than the wave period, the time-varying characteristics of the reactions are obvious, and 𝑷Xi(t0-)𝑷Xi(t0+) [11]. Thus, C(t0-)C(t0+) and Z0(t0-)Z0(t0+). The incident power is changed into two parts: the reflected power (Pr) and the transmitted power (Pt). (Pr+Pt)/Pi1 by eqn (5), indicating the non-conservation of energy for the waves. As the energy is conserved for the whole waves and media, eqn (5) can be interpreted as an energy exchange between the waves and the time-varying media [28-30]. Furthermore, an energy exchange occurs between the waves and reactions, which has been demonstrated to lead to either amplification or attenuation of electromagnetic waves depending on whether the dielectric property of the reactions decrease or increases with time [11, 31]. More specially, if the relaxation time of the reactions is much smaller, the characteristic impedance Z0(t0-) andZ0(t0+)are assumed as real numbers approximately. Thus, 12(C(t0-)Z0(t0-)C(t0+)Z0(t0+)+C(t0+)Z0(t0+)C(t0-)Z0(t0-))1. Particularly, when C(t0-)>C(t0+), we can get Pt+Pr>Pi. Here, it is worth remarking that the sum of the reflected and transmitted power is greater than the incident power. Thus, the reactions bearing the time-varying characteristic act as a source of energy for electromagnetic waves. This fact should be considered in microwave heating to achieve the homogeneous power transfer in thereactions.

To clarify the physical meaning of the derived expression, parametric phenomena of electromagnetic waves in active media can be realized by a time modulation of media parameters [32]. In fact, the number of dipoles would be changed with the proceeding of chemical reactions. It can be inferred that the equivalent time-varying capacitance of the reaction is weakened with the decrease of dipoles’ quantity; that is, C(t0-)>C(t0+). What is more, the electromagnetic waves propagate in the reactions bearing time-varying characteristics, just as if they were in contact with a reservoir (time-dependent background media) [33, 34]. The decrease of the time-varying capacitor leads to reductions of the reservoir energy. This essentially leads to an energy flow from the reservoir to the electromagnetic waves. Therefore, the time-varying capacitors through the bounded discontinuities have an additional contribution as active circuit elements to the electromagnetic power.

III. RESULTS AND DISCUSSIONS

As discussed above, to indicate the unique features of power propagation originating from the time-varying characteristics of the reactions, the effects of component concentration variation on the transmitted power are discussed by the numerical simulations. We consider a monochromic wave incident into the reactions, so as to understand the influence of the time-varying characteristics on the transmitted and reflected powers. For the electric field, the single cycle sine wave Ei(t) is employed as

Ei(t)={sin(2π×5×109×t)t0.1ns0t>0.1ns. (6)

In the calculation, the reactions with the electric susceptibility χXi=10 and the dielectric relaxation time τXi=1fs are used. This paper selects an instant t0 in chemical process and the temporal boundary t0 is set as 2 ns. To investigate the power changes in the simple polar-molecule reactions, without loss of generality, the reactions are considered as the first-order reaction.

Power changes when Xi is the reactant

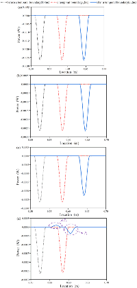
The normalized concentration cXi(t)=exp(-Kratet) can be obtained when Xi is the reactant. Krate is the rate constant of the reactions. The electromagnetic powers in the simple polar-molecule reactions are shown in Figure 2.

images

Figure 2: The electromagnetic powers in the simple polar-molecule reactions when Xi is the reactant. (a) Krate= 0s-1. (b) Krate = 1 × 103s-1. (c) Krate= 1 × 108s-1. (d) Krate = 1 × 1011s-1.

When Krate is chosen as 0s-1, 1×103s-1, and 1×108s-1, power changes cannot be seen in Figure 2(a)-(c). We find that the reflected power (Pr) is zero and the transmitted power (Pt) is matched with the incident power (Pi). As the time scale of the concentration variation is greater than the wave period, the polarization PXi(t)is continuous at t0. Since the impedance of the reactions does not change at t0, no reflection occurs. Moreover, using this condition employed in the unit equivalent circuit of the reactions, Pr= 0 and Pt= Pi are obtained by eqn (4a) and (4b), indicating that there are no power changes. When Krate = 1×1011 s-1, the reflected power (Pr) is observed clearly, and the transmitted power (Pt) is not equal to the incident power (Pi) in Figure 2(d). As the time scale of the concentration variation is smaller than the wave period, i.e., cXi(t) changes rapidly with time, the polarization PXi(t) is not continuous at the temporal boundary, inducing the discontinuous impedance change. For this situation, Pr0 and PtPi are obtained by eqn (4a) and (4b), and (Pr+Pt)/Pi1 by eqn (5) indicates power changes. Another phenomenon of interest is that the transmitted power is greater than the incident power.

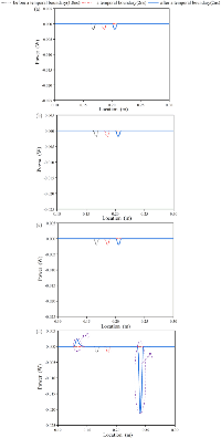
Power changes when Xi is the product

On the other hand, when Xi is the product, the expression of cXi(t)=1-exp(-Kratet) can be achieved and the electromagnetic powers in the simple polar-molecule reactions are shown in Figure 3. The reflected power is not observed as Krate= 0s-1, 1×103s-1, and 1×108s-1 in Figure 3(a)-(c). And we cannot see the power changes. When Krate= 1×1011s-1, the reflected power can be observed, and the transmitted power (Pt) is smaller than the incident power (Pi) in Figure 3(d). We can find the power changes across the temporal boundary in the reactions in Figure 3(d).

images

Figure 3: The electromagnetic powers in the simple polar-molecule reactions when Xi is the product. (a) Krate= 0s-1. (b) Krate = 1×103s-1. (c) Krate = 1×108s-1. (d) Krate = 1×1011s-1.

A temporal variation of the dielectric property is created because the component concentrations change in chemical process. When Xi is the reactant, the component concentration of Xi decreases gradually in the reactions. It can be inferred that the dielectric property is weakened with the decrease of dipoles’ quantity when Xi is the reactant. For this situation, the equivalent time-varying capacitance of the reaction decreases as the dielectric property becomes smaller. Based on eqn (5), Pt+Pr>Pi is obtained, indicating the increase of power across the temporal boundary t0 in the reactions. When the reactions decrease media’s dielectric property, the power of electromagnetic waves increases after the transition, and, thus, the electromagnetic waves experience a net energy gain [35]. This should come as a surprise since decreasing the dielectric property of the reactions is an energy-releasing process. For the reverse case, when Xi is the product, the opposite occurs and the wave experiences a net energy loss because increasing the dielectric property of the reactions consumesenergy.

IV. CONCLUSION

Based on the continuity of charge and flux at a temporal boundary and the equivalent transmission line approach of the simple polar-molecule reactions, this paper focuses on the power changes across the temporal boundary. According to the time-varying characteristics of the reactions, the effects of component concentration variation on the power changes are discussed. When the time scale of the concentration variation is smaller than the wave period, the polarization of the reactions is not continuous at the temporal boundary, inducing the discontinuous impedance change. Importantly, when the reactions decrease media’s dielectric property, the transmitted power is greater than the incident power; thus, the wave experiences a net energy gain. These results may be helpful in disclosing the non-uniform distribution of electromagnetic energy in chemical reactions.

ACKNOWLEDGMENT

This work was supported by the National Natural Science Foundation of China under Grant 61731013 and the Foundation of Chengdu Technological University under Grant 2020DZ003.

REFERENCES

[1] X. Zhang, D. O. Hayward, and D. M. P. Mingos, “Effects of microwave dielectric heating on heterogeneous catalysis,” Catalysis Letters, vol. 88, no. 1, pp. 33-38, 2003.

[2] M. Bhattacharya, S. K. R. Venkata, and T. Basak, “Role of microwave heating strategies in enhancing the progress of a first‐order endothermic reaction,” AIChE Journal, vol. 59, no. 2, pp. 656-670, 2013.

[3] M. Irfan, M. Fuchs, T. N. Glasnov, and C. O. Kappe, “Microwave‐assisted cross‐coupling and hydrogenation chemistry by using heterogeneous transition‐metal catalysts: an evaluation of the role of selective catalyst heating,” Chemistry–A European Journal, vol. 15, no. 43, pp. 11608-11618, 2009.

[4] M. A. Herrero, J. M. Kremsner, and C. O. Kappe, “Nonthermal microwave effects revisited: on the importance of internal temperature monitoring and agitation in microwave chemistry,” The Journal of Organic Chemistry, vol. 73, no. 1, pp. 36-47, 2008.

[5] D. Dallinger, H. Lehmann, J. D. Moseley, A. Stadler, and C. O. Kappe, “Scale-up of microwave-assisted reactions in a multimode bench-top reactor,” Organic Process Research & Development, vol. 15, no. 4, pp. 841-854, 2011.

[6] R. Loudon, “The propagation of electromagnetic energy through an absorbing dielectric,” Journal of Physics A: General Physics, vol. 3, no. 3, pp. 233-245, 1970.

[7] J. A. Ferreira and J. D. Van Wyk, “Electromagnetic energy propagation in power electronic converters: Toward future electromagnetic integration,” Proceedings of the IEEE, vol. 89, no. 6, pp. 876-889, 2001.

[8] H. C. Zhu, X. Q. Yang, and K. M. Huang, “The effective permittivity of reacting mixture solutions for multiphysics calculations,” Journal of Solution Chemistry, vol. 41, no. 10, pp. 1729-1737, 2012.

[9] K. Huang, H. Zhu, and L. Wu, “Temperature cycle measurement for effective permittivity of biodiesel reaction,” Bioresource Technology, vol. 31, pp. 541-544, 2013.

[10] K. Huang and T. Hong, “Dielectric polarization and electric displacement in polar-molecule reactions,” The Journal of Physical Chemistry A, vol. 119, no. 33, pp. 8898-8902, 2015.

[11] X. Liu and K. Huang, “Frequency changes of electromagnetic waves in simple polar-molecule reactions,” The European Physical Journal Applied Physics, vol. 77, no. 2, pp. 20901, 2017.

[12] X. Liu, D. Yan, and K. Huang, “Temporal reflection of electromagnetic waves in simple polar-molecule reactions,” COMPEL-The International Journal for Computation and Mathematics in Electrical and Electronic Engineering, vol. 38, no. 6, pp. 1964-1971, 2019.

[13] C. Caloz and T. Itoh, Electromagnetic metamaterials: transmission line theory and microwave applications, John Wiley & Sons, New Jersey,2005.

[14] J. Ma¨ kinen, R. Piche, and A. Ellman, “Fluid transmission line modeling using a variational method,” J. Dyn. Sys., Meas., Control, vol. 122, no. 1, pp. 153-162, 2000.

[15] F. Bongard, H. Lissek, and J. R. Mosig, “Acoustic transmission line metamaterial with negative/zero/positive refractive index,” Physical Review B, vol. 82, no. 9, pp. 094306, 2010.

[16] A. Sanada, C. Caloz, and T. Itoh, “Characteristics of the composite right/left-handed transmission lines,” IEEE Microwave and Wireless Components Letters, vol. 14, no. 2, pp. 68-70, 2004.

[17] G. V. Eleftheriades, O. Siddiqui, and A. K. Iyer, “Transmission line models for negative refractive index media and associated implementations without excess resonators,” IEEE Microwave and Wireless Components Letters, vol. 13, no. 2, pp. 51-53, 2003.

[18] J. A. Portí, J. A. Morente, A. Salinas, E. A. Navarro, and M. Rodríguez-Sola, “A generalized dynamic symmetrical condensed TLM node for the modeling of time-varying electromagnetic media,” IEEE Transactions on Antennas and Propagation, vol. 54, no. 1, pp. 2-11, 2006.

[19] A. Lai, T. Itoh, and C. Caloz, “Composite right/left-handed transmission line metamaterials,” IEEE Microwave Magazine, vol. 5, no. 3, pp. 34-50, 2004.

[20] Y. Liao, S. Zhang, Z. Tang, and X. Liu, “Power loss density of electromagnetic waves in unimolecular reactions,” RSC Advances, vol. 7, no. 43, pp. 26546-26550, 2017.

[21] Y. Hadad and A. Shlivinski, “Soft Temporal Switching of Transmission Line Parameters: Wave-Field, Energy Balance, and Applications,” IEEE Transactions on Antennas and Propagation, vol. 68, no. 3, pp. 1643-1654, 2020.

[22] A. Scarlatti and C. L. Holloway, “An equivalent transmission-line model containing dispersion for high-speed digital lines-with an FDTD implementation,” IEEE Transactions on Electromagnetic Compatibility, vol. 43, no. 4, pp. 504-514, 2001.

[23] J. B. Gunn, “Transformation and reversal of time scale by a time-varying transmission line,” Electronics Letters, vol. 2, no. 7, pp. 247-248. 1966.

[24] Z. Li and Z. Yin, “A method for controlling parallel and series RLC circuits with time-varying resistance, inductance and capacitance,” Circuits, Systems, and Signal Processing, vol. 37, no. 6, pp. 2629-2638, 2018.

[25] Y. Xiao, D. N. Maywar, and G. P. Agrawal, “Reflection and transmission of electromagnetic waves at a temporal boundary,” Optics Letters, vol. 39, no. 3, pp. 574-577, 2014.

[26] M. I. Bakunov and A. V. Maslov, “Reflection and transmission of electromagnetic waves at a temporal boundary: comment,” Optics Letters, vol. 39, no. 20, pp. 6029-6029, 2014.

[27] B. A. Auld, J. H. Collins, and H. R. Zapp, “Signal processing in a nonperiodically time-varying magnetoelastic medium,” Proceedings of the IEEE, vol. 56, no. 3, pp. 258-272, 1968.

[28] A. G. Hayrapetyan, K. K. Grigoryan, R. G. Petrosyan, and S. Fritzsche, “Propagation of sound waves through a spatially homogeneous but smoothly time-dependent medium,” Annals of Physics, vol. 333, pp. 47-65, 2013.

[29] K. B. Tan, H. M. Lu, and W. C. Zuo, “Energy conservation at an optical temporal boundary,” Optics Letters, vol. 45, no. 23, pp. 6366-6369, 2020.

[30] T. T. Koutserimpas and R. Fleury, “Electromagnetic fields in a time-varying medium: exceptional points and operator symmetries,” IEEE Transactions on Antennas and Propagation, vol. 68, no. 9, pp. 6717-6724, 2020.

[31] A. G. Hayrapetyan, J. B. Götte, K. K. Grigoryan, S. Fritzsche, and R. G. Petrosyan, “Electromagnetic wave propagation in spatially homogeneous yet smoothly time-varying dielectric media,” Journal of Quantitative Spectroscopy and Radiative Transfer, vol. 178, pp. 158-166, 2016.

[32] A. Nerukh, N. Sakhnenko, and T. Benson, P. Sewell, Non-stationary Electromagnetics, CRC Press, New York, 2012.

[33] I. A. Pedrosa, “Quantum electromagnetic waves in nonstationary linear media,” Physical Review A, vol. 83, no. 3, pp. 032108, 2011.

[34] R. Matloob, “Electromagnetic field quantization in a linear isotropic dielectric,” Physical Review A, vol. 69, no. 5, pp. 052110, 2004.

[35] M. Chegnizadeh, K. Mehrany, and M. Memarian, “General solution to wave propagation in media undergoing arbitrary transient or periodic temporal variations of permittivity,” JOSA B, vol. 35, pp. 2923-2932. 2018.

BIOGRAPHIES

images

Xingpeng Liuwas born in Hegang, China, in 1985. She received the Ph.D. degree in communication and information system from Sichuan University, Chengdu, China, in 2016.

She is currently an Associate Professor with the School of Network and Communication Engineering, Chengdu Technological University, Chengdu, China. Her research interests are in the areas of electromagnetic theory, microwave heating, and microwave chemistry.

images

Song Zhangwas born in Hefei, China, in 1972. He received the master’s degree in communication and information system from Sichuan University, Chengdu, China, in 2004.

He is currently an Associate Professor with the School of Network and Communication Engineering, Chengdu Technological University, Chengdu, China. His research interests are in the areas of circuit design and signalprocessing.

images

Kama Huang(Senior Member, IEEE) was born in Chongqing, China, in 1964. He received the M.S. and Ph.D. degrees in microwavetheory and technology from the University of Electronic Science and Technology, Chengdu, China, in 1988 and 1991, respectively.

He has been a Professor with the Department of Radio and Electronics, Sichuan University, Sichuan, China, since 1994 and has been the Director of the department since 1997. In 1996, 1997, 1999, and 2001, he was a Visiting Scientist with the Scientific Research Center “Vidhuk” in Ukraine, Institute of Biophysics CNR in Italy, Technical University Vienna in Austria, and Clemson University in the USA, respectively. At these institutions, he cooperated with the scientists to study the interaction between electromagnetic fields and complex media in biological structure and reaction systems. He has published over 100 papers. His research interests are in the areas of microwave chemistry and electromagnetic theory.

Dr. Huang is the Chief Scientist of the National Basic Research Program of China (973 Program), and he has received several research awards from the Chinese government.

Abstract

I. INTRODUCTION

II. POWER CHANGES ACROSS A TEMPORAL BOUNDARY IN REACTIONS

images

III. RESULTS AND DISCUSSIONS

Power changes when Xi is the reactant

images

Power changes when Xi is the product

images

IV. CONCLUSION

ACKNOWLEDGMENT

REFERENCES

BIOGRAPHIES