A Simple Single-fed Left/Right-Hand Circular Polarization Antenna for GPS Applications

Lulu Meng1, Yingsong Li1, 2, and Zhixiang Huang1, 2

1School of Electronic and Information Engineering
Anhui University, Hefei, 230601, China

2Key Laboratory of Intelligent Computing and Signal Processing
Ministry of Education, Anhui University, Hefei, 230601, China
liyingsong@ieee.org

Submitted On: July 26, 2022; Accepted On: September 12, 2022

ABSTRACT

A simple single-feeding circular polarization (CP) antenna with controlled left/right-hand characteristics is proposed and investigated for GPS L2 band applications. To achieve the CP characteristics, four arc-shaped cutting corners with different sizes are removed from a circular patch to give 90 phase difference to implement CP. By adjusting the radius of the four arc-shaped cutting corners, the antenna can be controlled to get left/right-hand circular polarization (L/RHCP). The proposed CP antenna is modeled, simulated, fabricated and measured, and the results demonstrate that the antenna provides an axial ratio beamwidth over 180 MHz, and impedance bandwidth of 20 MHz for L/RHCP. Additionally, the devised CP antennas have good directional radiating patterns, making them suitable for GPS L2 band applications.

Index Terms: arc-shaped slots, GPS, left/right-hand circular polarization antenna, L2 band.

I. INTRODUCTION

Circularly polarized (CP) antennas have been widely used in recent years due to their stable signal transmission and reception characteristics in bad weather,polarization rotation and flexible directionality between transmitter and receiver [119]. For satellite and global positioning system (GPS) applications, to improve the accuracy and flexibility of GPS systems, there is a high demand to get thin, lightweight and high gain CP antennas [5, 20, 21]. In the past few decades, a lot of research on various CP antennas including microstrip antennas, horn antennas and spiral antennas has been done [22, 23]. Microstrip antennas have been widely used in military and civil fields due to their advantages of small size, low cost, easy manufacturing and easy expansion into arrays [24, 25]. For developing patch antennas, a simple way to achieve CP operation is to feed the patch in two orthogonal directions to excite two resonant modes [26]. The dual feed mechanism increases the antenna size, the geometric complexity of the antenna, and leads to additional losses that reduce the gain [27]. In order to overcome the complexity of double feed, the patch antenna with single feed is studied [28]. Single-fed microstrip antenna is the simplest structure to realize CP radiation. With the development of microstrip antennas, various single-fed CP microstrip antennas have been reported by adjusting the physical size of the patch or etching the slot [29, 30].

In [31], an antenna is fed by two L-shaped probes in the feed network with a 90 broadband balun. By inserting a small metal sheet between two probes, the current distribution on the patch is changed, and axial ratio (AR) can be adjusted flexibly and the bandwidth could be broadened. A single-fed high-gain CP antenna with loading of shorting pins is proposed in [32]. Two sets of pins are first symmetrically introduced and moved outward along the diagonals of a square patch. After that, two degenerate modes are properly split to produce CP radiation by means of perturbing the position of one pair of the pins.

The characteristics of broadband CP are studied by using the topological structure of antenna in [33]. Impedance and AR bandwidth are achieved by using a new vertically coupled resonator structure and inherent 90 phase difference between the two coupling paths. The neutralization line is then used to improve the isolation between the two polarities. The antenna can achieve CP characteristics due to the U-shaped slots etched on metal patches [34, 35, 36].

A microstrip CP antenna loaded with arc-shaped cutting corners is proposed with single feed, which uses four unequal arc-shaped cutting corners in its diagonal. The CP antenna can be used as left/right-hand circular polarization (L/RHCP) antenna by controlling the size of each of the arc-like cutting corners. The proposed antenna is modeled, created, simulated and analyzed, and the results show that the modeled antenna has good CP characteristics, directional radiation patterns, which is suitable for GPS L2 band.

II. ANTENNA GEOMETRY AND DESIGN

A. Geometries of the proposed microstrip antenna

The geometry of the proposed CP microstrip antenna is drawn in Fig. 1, where the designed CP antenna resonates at the center frequency of 1.228 GHz. The circular patch is printed on RO5880 substrate with a dielectric constant of 2.2, height of 1.575 mm, and loss tangent of 0.0009. In addition, the circular patch is fed by a coaxial probe, which has the distance of x0 away from the center of the patch. Four arc-like cutting corners are loaded around the radiating patch, and their radius are r1, r2, r3 and r4 respectively. By slightly changing the radius of the four arc-like cutting corners, the proposed antenna can not only generate CP radiation, but also realize polarization for L/RHCP. The antenna has a radius of 67.5 mm, and the other parameters are listed in Table 1.

Table 1: Dimensions of the antenna (UNIT: mm)

ParameterPolarization LHCP RHCP
r1 13.4 9.7
r2 9.7 13.4
r3 8.45 13.55
r4 13.55 8.45

B. Operating principle of CP radiation

In order to understand the principle of CP antenna design, Fig. 2 shows the surface current on the radiating patch at 1.228 GHz. Before the arc-shaped corners are etched, there is only current vector in the horizontal direction. When the arc-shaped cutting corners are etched, the new current vector is observed in the vertical direction, as shown in Figs. 2 (a) and 2 (d). This clearly shows that due to the asymmetric arc-shaped corner structures, a second resonant mode is generated, which helps to achieve the CP design. In addition, the surface current vector rotates clockwise, which means that the proposed microstrip antenna is LHCP. By changing the radius of the arc-shaped corners, the CP of the antenna can be converted from LHCP to RHCP, as shown in Fig. 3.

For left-handed circular polarization, we have:

r4>r1>r2>r3. (1)

For right-handed circular polarization, we use:

r3>r2>r1>r4. (2)

images

Figure 1: Model of the CP antenna. (a) Top view. (b) 3-D view.

images

Figure 2: Surface current distribution for the LHCP antenna at 1.228 GHz.

images

Figure 3: Surface current distribution for the RHCP antenna at 1.228 GHz.

In the design, degeneracy mode can be eliminated by introducing appropriate asymmetry into antenna structure, where a mode increases with frequency and an orthogonal mode decreases by the same amount. Because the frequencies of the two modes are slightly different, with proper design, the field of one mode can produce a 90 phase difference required for circular polarization (CP). Herein, the asymmetric arc-shaped cutting corner helps to generate a second resonant mode, which has a slightly different frequency from the original resonant mode, with a phase difference of 90. Therefore, CP radiation of the antenna is realized.

C. 3-dB AR beamwidth

The 3 dB AR beamwidth of the two main planes (XOZ and YOZ planes) of the antenna at 1.228 GHz are plotted in Fig. 4, where the AR beamwidth is more than 180. Therefore, the proposed antenna can cover the whole upper hemisphere and has a good application prospect.

images

Figure 4: AR beam-width for the L/RHCP antenna at XOZ and YOZ planes.

III. ANTENNA PARAMETRIC ANALYSIS

In order to better explain how to realize CP operation of the antenna, the dimensions of arc-like cutting corners are studied. Only one parameter is changed each time, and the other parameters remain unchanged.

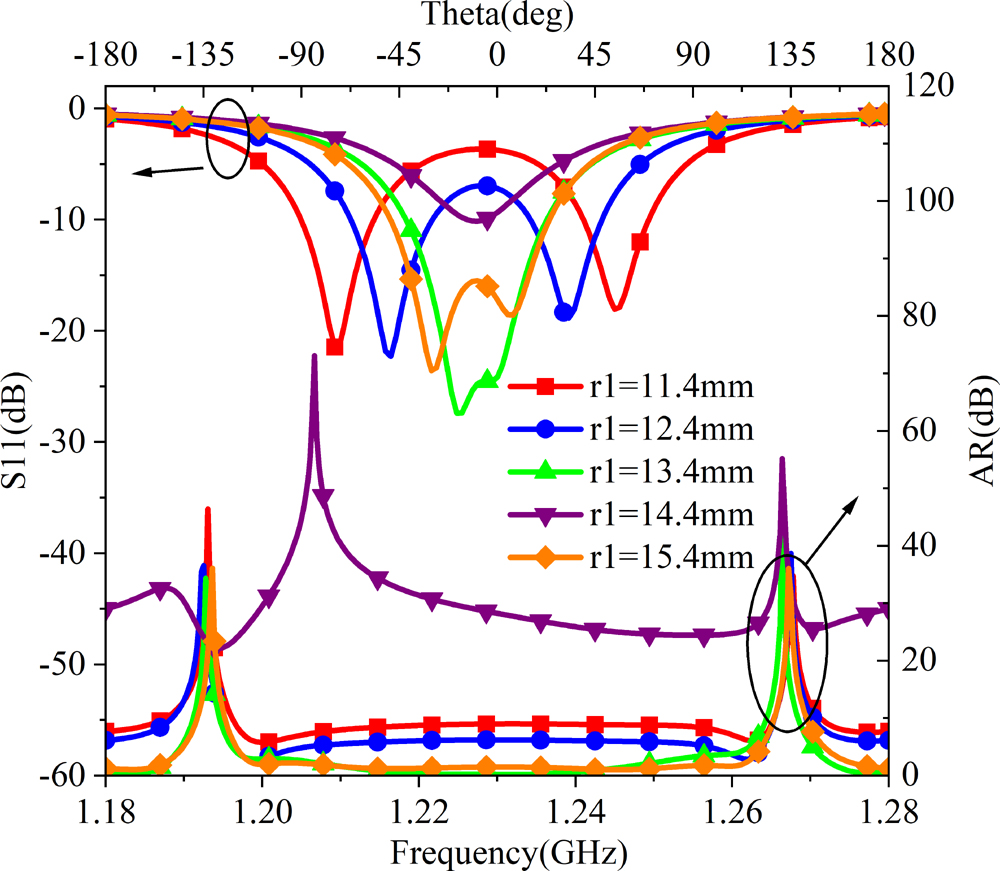
A. Different r1

Figure 5 shows the S11 and AR of the designed CP antenna with different r1, where the CP antenna is realized by the arc-like corners to get two resonant modes. As r1 increases, the working bandwidth becomes narrower. By optimizing the radius, the two orthogonal resonant modes achieve the same amplitude and 90 phase difference to implement CP radiation of antenna. When the radius r1 is 13.4 mm, the antenna has the best CP performance.

images

Figure 5: S11 and AR with variation of r1.

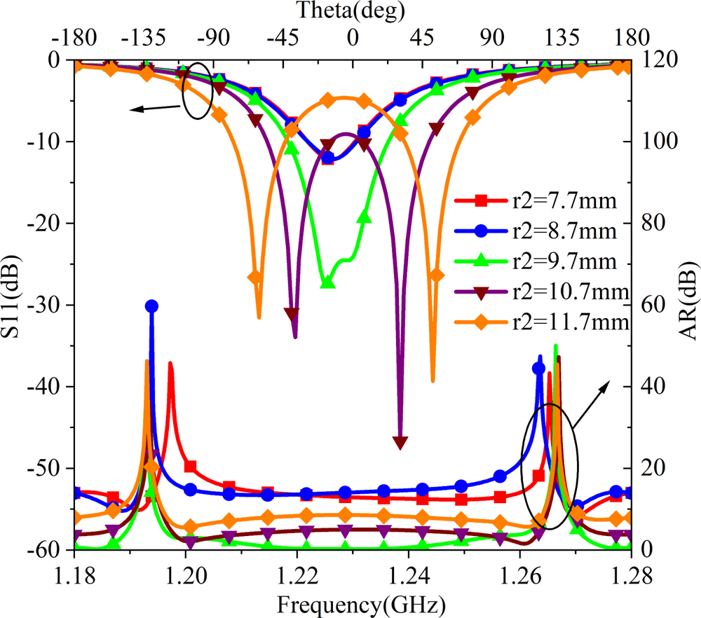
B. Different r2

S11 and AR of the CP antenna is presented in Fig. 6 with different r2. When r2 varies from 7.35 mm to 11.35 mm, the bandwidth gradually decreases. When r2 =10.35 mm, the antenna achieves the widest working bandwidth, but the AR bandwidth does not meet the requirements. For good balance, r2 =9.7 mm was selected. This time, the impedance bandwidth of the antenna is 20 MHz, and the 3 dB beam-width is about 180.

images

Figure 6: S11 and AR with variation of r2.

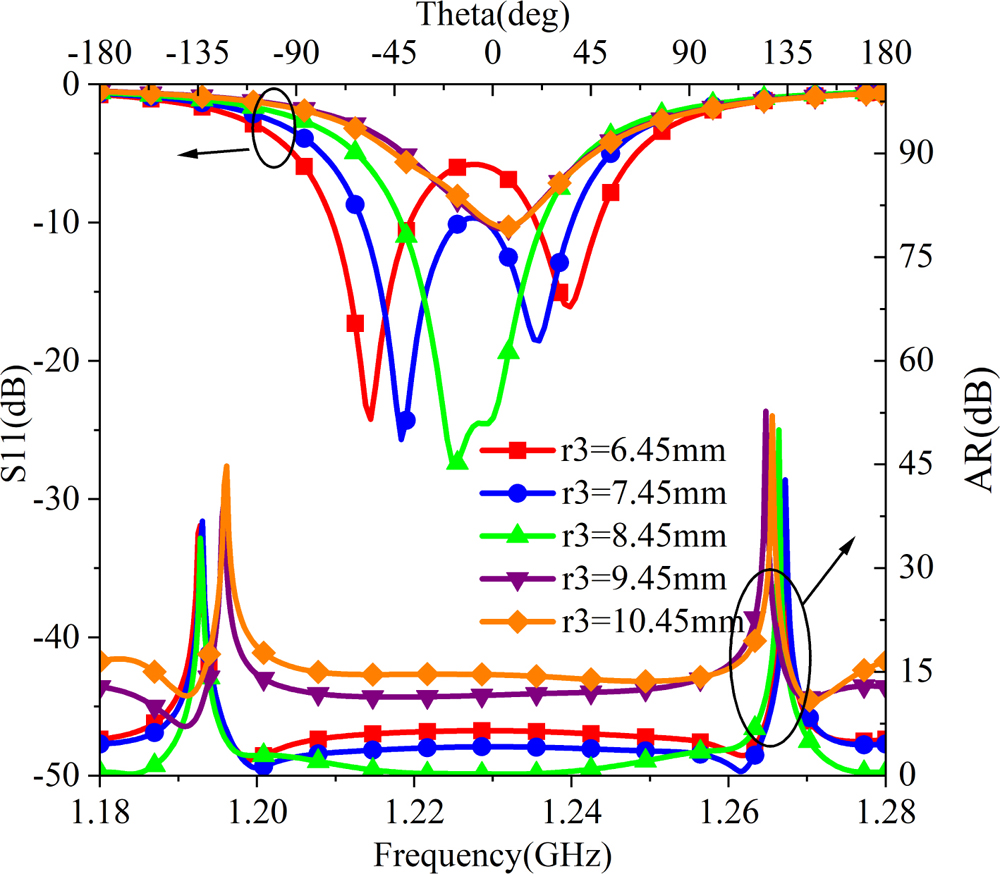
C. Different r3

The effects on S11 and AR with varying r3 are studied, and the results are presented in Fig. 7 for r1 =11.5 mm, r2 = 9.35 mm, and r4 =13.55 mm. From Fig. 7, it can be seen that once r3 increases, the antenna bandwidth gradually decreases. When r3 =8 mm and 9 mm, the impedance bandwidth and AR meet the requirements. However, when r3 =8.45 mm, the antenna has better resonance and axial ratio performance.

images

Figure 7: S11 and AR with variation of r3.

D. Different r4

R4 changes from 11.55 mm to 15.55 mm to optimize the antenna bandwidth, and the result is presented in Fig. 8. With the increase of r4, the bandwidth gradually increases. For r4 =13.55 mm, the antenna has the widest operating bandwidth and is able to generate two orthogonal modes for providing CP radiation.

images

Figure 8: S11 and AR with variation of r4.

IV. SIMULATION AND MEASUREMENT RESULTS

A. Simulation comparisons with and without arc-like corners

S11 and AR of the antennas with and without arc-like corners are plotted in Fig. 9 for comparison. Before the addition of the arc-like slots, the bandwidth of the linearly polarized (LP) antenna is 10 MHz, and the AR is much larger than 3 dB. The antenna polarization changes from LP to CP and the AR is 0.18 dB at 1.228 GHz after the arc-like slots are added. In addition, the bandwidth of CP antennas extends to 20 MHz, which is wider than that of the LP antennas without arc-like slots. This shows that the added arc-like corners can effectively introduce the second resonance to form CP radiation and expand the antenna bandwidth.

images

Figure 9: The antenna S11 with and without the arc-like slots.

images

Figure 10: Photographs of fabricated antennas.

images

Figure 11: The simulated and measured S11 of the L/RHCP microstrip antenna.

images

Figure 12: The simulated and measured AR and gain of the antenna. (a) LHCP antenna. (b) RHCP antenna.

images

Figure 13: Measured and simulated radiation patterns of LHCP antenna at the (a) phi=0deg, and (b) phi=90deg planes.

images

Figure 14: Measured and simulated radiation patterns of RHCP antenna at the (a) phi=0deg, and (b) phi=90deg planes.

B. Simulation and measurement comparisons

The prototypes of the devised CP antennas and the measurement setup are shown in Fig. 10. Figure 11 shows the simulated and measured S11 of the designed L/RHCP antenna, and the measured results are in good agreement with the simulation results. Simulation and measurement results show that the bandwidth of the designed antenna is 20 MHz, and mechanical errors in manufacture may lead to slight differences between the measurement and simulation results.

The proposed L/RHCP antenna has a peak gain of about 7.3 dBi and a 3-dB beam width of about 180. The simulated and measured ARs and CP gains of L/RHCP antenna in relation to frequency are given in Fig. 12. The AR are in good agreement with the measurement results, while the measured gain is about 2 dB less than the simulated gain due to the feedline effects.

The proposed L/RHCP antenna is simulated and measured in XOZ and YOZ planes as placed in Figs. 13 and 14. The results show that the simulated radiation pattern is in good agreement with the measured radiation patterns. It is also clear that the antenna presents a good transverse radiation pattern. In the future, the proposed antenna can be used for MIMO system developments. Also, the size of the proposed antenna can be reduced using high dielectric constant substrate, and the antenna can be modeled to construct antenna array or MIMO antennas [3744].

V. CONCLUSION

Four arc-like corners are used to develop a circular polarized antenna using single feed. The antenna is modeled, simulated, and briefly discussed for GPS L2 band application. The antenna can be used as LHCP and RHCP applications by controlling the dimensions of the four arc-like corners. The results show that the antenna has a good AR and, directional radiating, which is considered a good candidate for GPS applications.

ACKNOWLEDGMENT

This work is also supported by the Joint Funds of the National Natural Science Foundation of China (U20A20164) and National Natural Science Foundation of China (61971001), and University Synergy Innovation Program of Anhui Province (GXXT-2020-050, GXXT-2020-051, GXXT-2021-027, GXXT-2021-037).

REFERENCES

[1] B. P. Kumar, D. Guha, and C. Kumar, “Reduction of beam squinting and cross-polarized fields in a wideband CP element,” IEEE Antennas and Wireless Propagation Letters, vol. 19, no. 3, pp. 418-422, Mar. 2020.

[2] Y. Shi and J. Liu, “A circularly polarized octagon-star-shaped microstrip patch antenna with conical radiation pattern,” IEEE Transactions on Antennas and Propagation, vol. 66, no. 4, pp. 2073-2078, Apr. 2018.

[3] Z. Wang, Y. Dong, and T. Itoh, “Miniaturized wideband CP antenna based on metaresonator and CRLH-TLs for 5G new radio applications,” IEEE Transactions on Antennas and Propagation, vol. 69, no. 1, pp. 74-83, Jan. 2021.

[4] Z. L. Zhang, K. Wei, J. Xie, J. Y. Li, and L. Wang, “The new c-shaped parasitic strip for the single-feed CP microstrip antenna design,” International Journal of Antennas and Propagation, vol. 2019, pp. 1-9, Nov. 2019.

[5] H. Yang, Y. Fan, and X. Liu, “A compact dual-band stacked patch antenna with dual CP for bei dou navigation satellite systems,” IEEE Antennas and Wireless Propagation Letters, vol. 18, no. 7, pp. 1472-1476, Jul. 2019.

[6] B. Liu, X. Chen, J. Tang, A. Zhang, and A. Kishk, “Co- and cross-polarization decoupling structure with polarization rotation property between linearly polarized dipole antennas with application to decoupling of circularly polarized antennas,” IEEE Transactions on Antennas and Propagation, vol. 70, no. 1, pp. 702-707, Jan. 2022.

[7] X. Yan, K. L. Chung, Y. Li, and Y. Li, “A Jia-shaped artistic patch antenna for dual-band circular polarization,” AEU - International Journal of Electronics and Communications, vol. 120, ID:153207, Jun. 2020.

[8] J. Li, J. Shi, L. Li, T. A. Khan, J. Chen, Y. Li, and A. Zhang, “Dual-band annular slot antenna loaded by reactive components for dual-sense circular polarization with flexible frequency ratio,” IEEE Access, vol. 6, no. 1, pp. 64063-64070, Oct. 2018.

[9] L. Meng, Z. Huang, and Y. Li, “A Da-shaped slotted circularly-polarization antenna for 5G applications,” International Applied Computational Electromagnetics Society (ACES-China) Symposium, Xuzhou, 28-31 Jul. China, 2022.

[10] W. Zhou, Y. Li, and Y. Xia, “A 5G hybrid circular polarization MIMO antenna,” IEEE 4th International Conference on Electronic Information and Communication Technology (ICEICT), 18-20, Aug. Xian, China, 2021.

[11] W. Zhou, C. Yue, Y. Li, and Y. Xia, “A 5G gong-shaped circular-polarization antenna,” PIERS: Photonics and Electromagnetics Research Symposium, also known as Progress In Electromagnetics Research Symposium, Hangzhou, 21-25, Nov., Hangzhou, China, 2021.

[12] B. Qiu and Y. Li, “Gain-enhanced wideband circularly polarized antenna with a non-uniform metamaterial reflector,” Applied Computational Electromagnetics Society (ACES) Journal, vol. 37, no. 3, pp. 281-286, Jul. 2022.

[13] Y. Li and R. Mittra, “A three-dimensional circularly polarized antenna with a low profile and a wide 3-dB beamwidth,” Journal of Electromagnetic Waves and Applications, vol. 30, no. 1, pp. 89-97, Jan. 2016.

[14] B. Qiu, Y. Xia, Y. Li, C. Yue, and T. Jiang, “A compact wideband circularly polarized antenna for sub-6 GHz application,” IEEE 4th International Conference on Electronic Information and Communication Technology (ICEICT 2021), 18-20, Aug., Xian, China, 2021.

[15] W. Zhou, C. Yue, Y. Li, Y. Xia, B. Qiu, and K. L. Chung, “A high gain Si-shaped circularly polarized patch antenna for 5G application,” IEEE 4th International Conference on Electronic Information and Communication Technology (ICEICT 2021), 18-20, Aug., Xian, China, 2021.

[16] J. Jiang, C. Yue, Y. Xia, B. Qiu, and Y. Li, “A circularly-polarized Zhong-shaped MIMO antenna with meta-materials for WLAN application,” International Applied Computational Electromagnetics Society (ACES-China) Symposium, 28-30, Jul., Chengdu, China, 2021.

[17] B. Qiu, Y. Li, and Y. Xia, “Asymmetric CPW-fed wideband circularly polarized antenna for sub-6GHz application,” IEEE 3rd International Conference on Electronic Information and Communication Technology (ICEICT), 13-15, Nov., Shenzhen, China, 2020.

[18] K. L. Chung, A. Cui, M. Ma, B. Feng, and Y. Li, “Central-symmetry decoupling technique for circularly-polarized MIMO system of tightly packed chinese-character-shaped patch antennas,” Applied Computational Electromagnetics Society (ACES) Journal, vol. 36, no. 9, pp. 1125-1131, Nov. 2021.

[19] K. L. Chung, X. Yan, and Y. Li, “Circularly-polarized linear antenna array of non-identical radiating patch elements for WiFi/WLAN applications,” AEU - International Journal of Electronics and Communications, vol. 129, ID:153526, Feb. 2021.

[20] W. He, Y. He, Y. Li, and L. Zhu, “A compact ultrawideband circularly polarized antenna array with shared partial patches,” IEEE Antennas and Wireless Propagation Letters, vol. 20, no. 12, pp. 2280-2284, Dec. 2021.

[21] J. Lin and Q. Chu, “Increasing bandwidth of slot antennas with combined characteristic modes,” IEEE Transactions on Antennas and Propagation, vol. 66, no. 6, pp. 3148-3153, Jun. 2018.

[22] Q. S. Wu, X. Zhang, and L. Zhu, “A feeding technique for wideband CP patch antenna based on 90 phase difference between tapped line and parallel coupled Line,” IEEE Antennas and Wireless Propagation Letters, vol. 18, no. 7, pp. 1468-1471, Jul. 2019.

[23] X. Zhang, L. Zhu, and N. Liu, “Pin-loaded circularly-polarized patch antennas with wide 3-dB axial ratio beamwidth,” IEEE Transactions on Antennas and Propagation, vol. 65, no. 2, pp. 521-528, Feb. 2017.

[24] P. Nayeri, K. Lee, A. Z. Elsherbeni, and F. Yang, “Dual-band circularly polarized antennas using stacked patches with asymmetric U-slots,” IEEE Antennas and Wireless Propagation Letters, vol. 10, pp. 492-495, 2011.

[25] Z. Zhao, F. Liu, J. Ren, Y. Liu and Y. Yin, “Dual-sense circularly polarized antenna with a dual-coupled line,” IEEE Antennas and Wireless Propagation Letters, vol. 19, no. 8, pp. 1415-1419, Aug. 2020.

[26] M. K. Ray, K. Mandal, and N. Nasimuddin, “Low-profile circularly polarized patch antenna with Wide 3 dB beamwidth,” IEEE Antennas and Wireless Propagation Letters, vol. 18, no. 12, pp. 2473-2477, Dec. 2019.

[27] Z. Zhao, J. Ren, Y. Liu, Z. Zhou, and Y. Yin, “Wideband dual-feed, dual-sense circularly polarized dielectric resonator antenna,” IEEE Transactions on Antennas and Propagation, vol. 68, no. 12, pp. 7785-7793, Dec. 2020.

[28] J. Zeng, X. Liang, L. He, F. Guan, F. H. Lin, and J. Zi, “Single-fed triple-mode wideband circularly polarized microstrip antennas using characteristic mode analysis,” IEEE Transactions on Antennas and Propagation, vol. 70, no. 2, pp. 846-855, Feb. 2022.

[29] C. S. Lee, Y. Fan, and M. Ezzat, “Single-feed circularly polarized microstrip antenna with bethe holes on the radiating patch,” IEEE Transactions on Antennas and Propagation, vol. 68, no. 6, pp. 4935-4938, Jun. 2020.

[30] Y. S. Anjani and A. Alphones, “A Wide-beam circularly polarized asymmetric-microstrip antenna,” IEEE Transactions on Antennas and Propagation, vol. 63, no. 8, pp. 3764-3768, Aug. 2015, doi: 10.1109/TAP.2015.2438397.

[31] J. Zhuang, Y. Zhang, W. Hong, and Z. Hao, “A broadband circularly polarized patch antenna with improved axial ratio,” IEEE Antennas and Wireless Propagation Letters, vol. 14, pp. 1180-1183,Jan. 2015.

[32] X. Zhang and L. Zhu, “High-gain circularly polarized microstrip patch antenna with loading of shorting pins,” IEEE Transactions on Antennas and Propagation, vol. 64, no. 6, pp. 2172-2178, Jun. 2016.

[33] C. X. Mao, S. S. Gao, Y. Wang, and J. T. S. Sumantyo, “Compact broadband dual-sense circularly polarized microstrip antenna/array with enhanced isolation,” IEEE Transactions on Antennas and Propagation, vol. 65, no. 12, pp. 7073-7082, Dec. 2017.

[34] R. Xu, J. Li, J. Yang, K. Wei, and Y. Qi, “A design of U-shaped slot antenna with broadband dual circularly polarized radiation,” IEEE Transactions on Antennas and Propagation, vol. 65, no. 6, pp. 3217-3220, Jun. 2017.

[35] M. He, X. Ye, P. Zhou, G. Zhao, C. Zhang, and H. Sun, “A small-size dual-feed broadband circularly polarized U-slot patch antenna,” IEEE Antennas and Wireless Propagation Letters, vol. 14, pp. 898-901, Jan. 2015.

[36] M. Khan and D. Chatterjee, “Analysis of reactive loading in a U-Slot microstrip patch using the theory of characteristic modes,” IEEE Antennas and Propagation Magazine, vol. 60, no. 6, pp. 88-97, Dec. 2018.

[37] X. Chen, M. Zhao, H. Huang, Y. Wang, S. Zhu, C. Zhang, J. Yi, and A. A. Kishk, “Simultaneous decoupling and decorrelation scheme of MIMO arrays,” IEEE Transactions on Vehicular Technology, vol. 71, no. 2, pp. 2164-2169, Feb. 2022.

[38] W. Shi, X. Liu, and Y. Li, “ULA fitting for MIMO radar,” IEEE Communications Letters, vol. 26, no. 9, pp. 2190-2194, Sep. 2022.

[39] Y. Wang, X. Chen, X. Liu, J. Yi, J. Chen, A. Zhang, and A. Kishk, “Improvement of diversity and capacity of MIMO system using scatterer array,” IEEE Transactions on Antennas and Propagation, vol. 70, no. 1, pp. 789-794, Jan. 2022.

[40] K. Yu, Y. Li, and X. Liu, “Mutual coupling reduction of a MIMO antenna array using 3-D novel meta-material structures,” Applied Computational Electromagnetics Society (ACES) Journal, vol. 33, no. 7, pp. 758-763, Jul. 2018.

[41] F. Liu, J. Guo, L. Zhao, G. L. Huang, Y. Li, and Y. Yin, “Dual-band metasurface-based decoupling method for two closely packed dual-band antennas,” IEEE Transactions on Antennas and Propagation, vol. 68, no. 1, pp. 552-557, Jan. 2020.

[42] L. Zhao, F. Liu, X. Shen, G. Jing, Y. Cai, and Y. Li, “A high-pass antenna interference cancellation chip for mutual coupling reduction of antennas in contiguous frequency bands,” IEEE Access, vol. 6, pp. 38097-38105, Jul. 2018.

[43] J. Li, X. Zhang, Z. Wang, X. Chen, J. Chen, Y. Li, and A. Zhang, “Dual-band eight-antenna array design for MIMO applications in 5G mobile terminals,” IEEE Access, vol. 7, pp. 71636-71644, Apr. 2019.

[44] F. Liu, J. Guo, L. Zhao, G. L. Huang, Y. Li, and Y. Yin, “Ceramic superstrate-based decoupling method for two closely packed antennas with cross-polarization suppression,” IEEE Transactions on Antennas and Propagation, vol. 69, no. 3, pp. 1751-1756, Mar. 2021.

BIOGRAPHIES

images

Lulu Meng was born in Henan, China. She received the B.S. degree in Electronics and Information Engineering from the Xinxiang University, Henan, China, in 2021. She is currently pursuing the M.S. degree in Communication and Information System with the Anhui University, China. Her current research interests include circular polarization antenna design and metamaterials and its applications.

images

Yingsong Li received his B.S. degree in Electrical and Information Engineering and M.S. degree in Electromagnetic Field and Microwave Technology from Harbin Engineering University, 2006 and 2011, respectively. He received his Ph.D degree from both Kochi University of Technology (KUT), Japan and Harbin Engineering University (HEU), China in 2014. He is currently a Full Professor with the School of Electronic and Information Engineering of Anhui University from March 2022. He was a full Professor in Harbin Engineering University from 2014 to 2022 and a visiting scholar of University of California, Davis from March 2016 to March 2017, a visiting Professor of University of York, UK in 2018, a visiting Professor of Far Eastern Federal University (FEFU) and KUT. Now, he holds the visiting Professor position of School of Information of KUT from 2018. He is a Postdoc of Key Laboratory of Microwave Remote Sensing, Chinese Academy of Sciences from 2016 to 2021. Now, He is a Fellow of Applied computational Electromagnetics Society (ACES Fellow), and he is also a senior member of Chinese Institute of Electronics (CIE) and IEEE. He has authored and coauthored about 300 journal and conference papers in various areas of electrical and information engineering. His current research interests include signal processing, adaptive filters, metasurface designs and microwave antennas.

Dr. Li serves as an Area Editor of AEÜ-International Journal of Electronics and Communications from 2017 to 2020, and he is an Associate Editor of IEEE Access, Applied Computational Electromagnetics Society Journal (ACES Journal) and Alexandria Engineering Journal and Electromagnetic Science. He is the TPC Co-Chair of the 2019 IEEE International Workshop on Electromagnetics (iWEM 2019-2020), 2019 IEEE 2nd International Conference on Electronic Information and Communication Technology (ICEICT 2019), 2019 International Applied Computational Electromagnetics Society (ACES) Symposium-China, 2019 Cross Strait Quad-regional Radio Science and Wireless Technology Conference (2019 CSQRWC) and TPC Chair of ICEICT 2021-2022. He is also a General Co-Chair of ICEICT 2020 and a General Chair of IEEE 9th International Conference on Computer Science and Network Technology (ICCSNT 2021) and ICCSNT 2022. He is also a TCP member for many international and domestic conference. He also serves as a Session Chair or Organizer for many international and domestic conferences, including the WCNC, AP-S, ACES-China ect. He acts as a Reviewer of numerous IEEE, IET, Elsevier and other international journals and conferences.

images

Zhixiang Huang received his BS degree in Statistic and Probability and Ph.D. in Electromagnetic Field and Microwave Technology from Anhui University in 2002 and 2007, respectively. He is a Lecturer of Anhui University from 2007 to 2008 and is promoted to Professor in 2008, and is a visiting scholar in Ames Laboratory, Iowa State University, from 2010 to 2011. Currently, he is a full Professor and the dean of the School of Electronic Information Engineering of Anhui University, founder of Key Laboratory of Electromagnetic Environmental Sensing of Anhui Higher Education Institutes, director of the Young Scientists Club of Chinese Institute of Electronics (CIE), member of the Youth Working Committee of CIE. He is the recipient of the Outstanding Young Talent Project of National Natural Science Foundation of China (NSFC) in 2018 and the Chang Jiang Scholars Program of Ministry of Education of the People’s Republic of China in 2022. He is a Senior Member of IEEE. He has more than 100 academic papers in peer-reviewed international/national journals. His current interests include theoretical and computational in electromagnetics and Microwave/RF circuit design, and multiphysics modeling.

ABSTRACT

I. INTRODUCTION

II. ANTENNA GEOMETRY AND DESIGN

A. Geometries of the proposed microstrip antenna

B. Operating principle of CP radiation

images

images

images

C. 3-dB AR beamwidth

images

III. ANTENNA PARAMETRIC ANALYSIS

A. Different r1

images

B. Different r2

images

C. Different r3

images

D. Different r4

images

IV. SIMULATION AND MEASUREMENT RESULTS

A. Simulation comparisons with and without arc-like corners

images

images

images

images

images

images

B. Simulation and measurement comparisons

V. CONCLUSION

ACKNOWLEDGMENT

REFERENCES

BIOGRAPHIES