Simultaneous Transmit and Receive Phased Array System Architecture and Prototype Comprehensive Verification

Jie Zhang and Hongchao Wu

Nanjing Research Institute of Electronics Technology
Nanjing, 210039, China
zjwj2011@sina.com

Submitted On: October 16, 2022; Accepted On: December 4, 2022

ABSTRACT

In the future multi-functional detection sensing and communication integrated systems, as well as 5G/6G systems, simultaneous transmit and receive technology, as an important key technology, is an important supporting measure to achieve the simultaneous work of different functions. Looking at the problem of strong self-interference in the simultaneous multi-function application of a phased array transceiver, this paper presents the integrated cancellation architecture and corresponding method of integrated transmission domain, RF domain and digital domain, and completes principle experiment verification of interference suppression and elimination by constructing the principle experiment system. Experimental results show that in the actual hardware system 0.5 db amplitude quantification and 6-bit phase quantization control conditions, through joint using passive and active beam transfer of the domain space optimization form, at the same time in the digital domain application of the adaptive system identification interference cancellation method for further interference cancellation, above 150 dB for interference suppression can be achieved. This research will provide a certain reference for the application of simultaneous transceiver technology in future 5G/6G phased array antenna systems.

Index Terms: prototype verification, self-interference suppression, simultaneous transmit and receive, system architecture.

I. INTRODUCTION

Current radio systems, including radar, communications, and various electronic warfare (EW) measures, are mainly in half-duplex (HD) mode with transmit and receive functions. In order to utilize time effectively, and frequency and space resources with the development of radio hardware systems, especially adaptive signal processing, innovative full-duplex (FD) methods are proposed to make up for the shortcomings of HD. FD is considered a breakthrough technology for 5G and 6G. Although FD can bring many benefits, a serious problem in practical implementation is the strong self-interference when both transmitter and receiver work simultaneously, which can severely shield the receiver, making it unable to receive signals of interest from remote transmission or return weak signals [19].

FD technology aims to transmit and receive simultaneously in the same frequency band. In this case, the RF system receives not only the signal of interest, but also the transmitted coupled or leaky signal, which becomes the essential problem of simultaneous transmission and reception in radio systems. Therefore, the strength of the self-interfering signal at the receiver must be sufficiently reduced so that the radio system’s own transmission does not interfere with its normal reception of the signal of interest. Especially for the phased array system with multiple transceiver units, the components and magnitudes of self-interference and cross-interference between units are obviously higher than those of conventional RF systems [712].

For achieving sufficient isolation between transmission and reception, there is usually a need to combine different technologies, including spatial isolation suppression, and analog and digital cancellation. In the application of a single channel FD radio system, these technologies can be integrated to satisfy the need for self-interference suppression. While for phased array, especially digital phased array which has hundreds of antenna cells, the mutual coupling paths among different elements are profuse. To apply the FD method in phased array, the complex channel’s characteristic of the coupling paths must be analyzed and modeled before self-interference cancellation, using relevant technologies [36].

In [7] and [8], the aperture level of simultaneous transmit and receive configuration of a phased array for simultaneous transmission and reception was proposed and simulated, and preliminary experiments with a one-dimensional linear array of eight elements were carried out. That work mainly considered the case where the amplitude and phase of the array can be adjusted in an all-digital mode. In [10] and [11], the authors studied FD millimeter wave communication based on beamforming mainly focused on the controllable amplitude and/or phase of the array weights. Through a comprehensive analysis of relevant literature [726], we can see that, as an important key technology to realize the elimination of simultaneous coupling interference suppression in a phased array system, it is necessary to realize the unsaturation of the receiving channel of the large array system while taking into account the realization of the system by making full use of the multi-unit multi-freedom characteristics in the array system airspace/transmission domain to suppress self-interference. In [2325], the MIMO system and state-of-the-art decoupling works were studied by means of a special array antenna structure design, which can provide a good reference for self-interference suppression of the array system in the transmission domain. On the basis of the phased array digital domain adaptive system identification and cancellation filtering principle and experimental research [6, 19], as the first level of the interference suppression multi-level method, the work in [12] is mainly for the actual phased array system aperture-level simultaneous transmit and receive realization of self-interference suppression in transmission domain, the principle model and corresponding optimization methods under the practical limiting factors such as limited quantization number, constant envelope amplitude, scanning mode, wideband signal mode, etc.

On the basis of the above research, this work makes a systematic study of the strong self-interference problem faced by the simultaneous application of phased array transceiver and receiver. It proposes the integrated cancellation architecture and corresponding method of integrated transmission domain, RF domain and digital domain, and conducts the principle test of interference suppression and cancellation by constructing a principle test system. The results show that the multi-domain and multi-level joint architecture and method can achieve good results in the elimination of strong self-interference in the simultaneous transmit and receive phased array system. This research will provide a certain reference for the application of simultaneous transmit and receive technology in future 5G/6G array antennasystems.

This paper is structured as follows. The coupling self-interference electromagnetic model of simultaneous transmitting and receiving phased array is introduced in Section II. The system architecture and method of coupled self-interference signal suppression for simultaneous transmit and receive phased arrays are analyzed in detail in Section III. Section IV presents practical results of proof-of-principle for the proposed architecture and method by building a principle test system. Section V summarizes the paper and prospects for the future work.

II. COUPLING SELF-INTERFERENCE ELECTROMAGNETIC MODEL OF SIMULTANEOUS TRANSMITTING AND RECEIVING PHASED ARRAY

From previous research work [6, 8, 12], the self-interference channel characteristics [H(f)]M×N directly determines the complexity of coupled self-interference and the feasibility of its suppression methods. Because the practical array antenna has complex three-dimensional configuration, the simple near-field model is not strictly accurate for characterization of the coupling interference in an array system [10, 11]. In order to better simulate the channel characteristics of the coupling interference between the transmitting unit and the receiving unit in this experimental array, we introduce an electromagnetic model of the array based on Ansoft HFSS. The HFSS apply FEM to calculate the S-parameter matrix S and full-wave electromagnetic field of arbitrary array antenna configuration.

The p-th row and q-th column of the S matrix are represented as S(p,q),(p,q=1,2,,P), which represents the coupling relationship between the p-th and q-th elements in the array. P is the total number of elements in the array. Based on the S-parameter matrix S, we define the element H(m,n) of the array in m-th row and in the n-th column of the interference channel characteristic matrix [H]M×N, as:

H(m,n)=ΣqnTnS(m,qn), (1)
(n=1,2,,N;m=1,2,,M).

In the formula, qn is the unit number of the sub-array set for transmitting and/or receiving in the entire array, Tn is the unit set corresponding to the transmitting sub-array, N is the number of units of the transmitting sub-array, and M is the number of units of the receiving sub-array. Rm is the set of units corresponding to the receiving sub-array. For the separated-aperture array-level simultaneous transceiver mode, there is RmTn=; for the partial array-level/partial unit-level simultaneous transceiver mode, there is RmTn. Especially for the full-aperture unit-level transceiver simultaneous mode, there is Rm=Tn.

Based on the self-interference coupling model proposed above, we first construct an electromagnetic model and a digital model for the practical array system, conduct design simulation verification through digital methods, and use it for subsequent principle experiment verification and evaluation. In this work, we take the 30(T)×10(R) array antenna as the example, and study the interference characteristics of the sub-apertures level simultaneous transmit and receive mode.

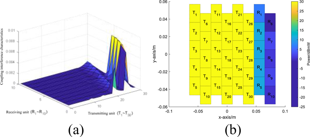
When the separate sub-apertures transmission and reception work simultaneously, the transmission sub-array can be transmitted according to a certain beam-shaping weight, and the receiving sub-array can be simultaneously received according to a certain receiving beam-shaping weight. The arrangement of the phased array antenna in this mode is shown in Fig. 1, and the power of each transmitting component is set to 30 dbm, which can be controlled by the joint weights of amplitude and/or phase.

In the research process, combined with the actual physical array antenna development, we design and construct the corresponding electromagnetic model and digital model. Among them, the electromagnetic model is used to electromagnetically analyze the self-interference coupling characteristics between the transmitting and receiving antenna elements. The simulation environment used is Ansoft HFSS. The FEM is used to electromagnetically analyze the coupling characteristics between any two array elements. The S parameter of the array is obtained by electromagnetic calculation. Then by choosing the same layout as the specific test array antenna, that is, a transmitting sub-array with 30 units in 5 rows and 6 columns and a receiving sub-array with 10 units in 5 rows and 2 columns, the S parameter of the array is converted to a coupling matrix H, as shown in Equation (1). The specific electromagnetic model of the array is shown in Fig. 1 (a). The digital model is that for the practical prototype array antenna, that is, the transmitting sub-array of 5 rows and 6 columns, and the receiving sub-array of 5 rows and 2 columns, by constructing a digital design simulation model with the same characteristics as the array unit layout and operating frequency. It is used for design simulation to evaluate the beam characteristics and interference suppression performance of the different optimized weights. The specific digital model is shown in Fig. 1 (c). The practical testing array antenna is shown in Fig. 1 (b).

The saturation level of the receiving channel is generally about -10 dbm. In order to achieve conventional reception operation of the phased array system, the low noise amplifier on the receiving channel of each array element is firstly not saturated, that is, the power of the transmitting signal coupled to each receiving component must be below the saturation level of -10 dbm. By analyzing the self-interference coupling coefficients characteristics of the 30(T)×10(R) array antenna as shown in Fig. 2 (a), the simulation coupling power at the receiving array elements can be obtained as shown in Fig. 2 (b). It can be seen that for the 30 dbm output power of the transmitting unit, the self-interference power received by the receiving array element is greater than the saturation power of the component by -10 dbm. As a result, all the receiving components are saturated and cannot receive the desired signal. However, the interference power received by different array elements varies greatly. Therefore, from the demand of SIC, it is necessary to suppress the self-interference signal power below the saturation power level of the component in order to ensure the normal operation of the component. In this work, we will study the overall self-interference suppression of an array system by the multi-domain and multi-level method.

images

Figure 1: Illustrative model and physical array antenna used for interference characteristics analysis. (a) HFSS EM model of the used array antenna (T: Transmitting element, R: Receiving element). (b) Practical testing array antenna. (c) Digital model of the array antenna (: Transmitting element, : Receiving element).

images

Figure 2: Distribution characteristics of the coupling self-interference power for the illustrative array antenna operating simultaneous transmission and reception with the separate sub-apertures. (a) Coupling coefficients of the array antenna for the separate sub-aperture mode (10GHz). (b) Distribution characteristics of the coupling self-interference power (the digital unit in the Figure is dBm) for the separate sub-aperture mode.

III. SYSTEM ARCHITECTURE AND METHOD FOR SIMULTANEOUS TRANSMISSION AND RECEPTION OF PHASED ARRAY COUPLED SELF-INTERFERENCE SIGNAL SUPPRESSION

Based on previous related research work [1, 12, 2129], in order to solve the problem of strong self-interference in the simultaneous application of an array system, interference suppression and cancellation can be carried out from multiple dimensions including transmission domain, RF domain, and digital domain. First of all, for different phased array transceivers, the self-interference signal power entering the receiver can be reduced by passive suppression, including antenna isolation and beamforming in the transmission domain, to achieve the first level of interference suppression. Radio frequency interference cancellation, composed of self-interference reference signal generation, delay and amplitude adjustment, and RF anti-inversion signal synthesis, reduces the signal power of the low-noise amplifier entering the receiving component to avoid component saturation. This is the second-level interference suppression. In the third stage, through active digital interference cancellation (such as adaptive filtering), the residual self-interference is eliminated to reduce the self-interference below the noise floor of the receiver, thereby avoiding affecting the reception of the desired signal by the system.

Figure 3 shows the principle block diagram of the multi-level self-interference suppression and cancellation of the phased array antenna at the same time of transmission and reception:

images

Figure 3: Schematic diagram of phased array antenna narrow-band signal space-domain transmit and receive beam optimization principle.

According to the system architecture of the simultaneous multi-domain and multi-level self-interference cancellation of the phased array system as shown in Fig. 3, we propose the detailed process of interference cancellation according to the requirements of the actual system as follows:

A. Obtain the characteristic parameters of self-interference coupling between the transceiver arrays

(1) According to the unit arrangement characteristics of the phased array system to achieve simultaneous transmission and reception, the interference coupling characteristics between the transmitting array and the receiving array are obtained by means of electromagnetic calculation, array measurement or channel estimation, that is, the difference between the transmitting and receiving antenna units. The self-interference coupling characteristic matrix between H=[hmn]M×N,hmn=Amnejϕmn is the receiving antenna unit m(m=1,2,,M) and the transmitting antenna unit n(n=1,2,,N) is the self-interference coupling coefficient, where N is the number of transmit antenna units, and M is the number of receive antenna units.

(2) Determine the antenna front radiation control parameters, and the amplitude/phase control quantization bit or quantization step.

B. Phased array modeling and spatial interference suppression optimization

(1) According to the working mode requirements and arrangement characteristics of the phased array system, combine the coupled self-interference characteristic relationship matrix used by the corresponding phased array to transmit and receive at the same time, and establish a digital array model [7, 8, 12].

(2) According to the characteristic indicators such as the radiation gain lobe of the phased array system and the simultaneous transmission and reception interference transmission suppression requirements, construct the beamforming weight parameter design optimization target calculation model, comprehensively analyze the beam characteristics and interference suppression performance, respectively shape the optimized transmission beam and receive beam and implement spatial interference suppression.

C. Cancellation preprocessing

Aiming at the nonlinear signal components existing in the process of transmission and transmission of the radio frequency system, a signal is coupled at the output end of the power amplifier of the transmission channel through a coupler as a cancellation reference signal. Set the carrier frequency of the radio frequency signal to be fc, and the band-pass filter preprocessing with the passband bandwidth of B will filter out the harmonics and spurious components outside the bandwidth of the original reference signal and the received coupled interference signal, so as to retain the effective components within the passband. The effective component of the signal is used as the reference and desired signal for the input of the self-interference cancellation processing algorithm.

D. Self-interference cancellation processing in radio frequency domain

For the residual strong self-interference of the local array units and corresponding channels that still exist after the transmission domain interference suppression, the multi-tap delay, phase shift and attenuation methods are used to eliminate the radio frequency domain interference. Let the radiation signal output by the transmitting antenna through the power amplifier be sn(t)(n=1,2,,N,NN). Due to the limited isolation between the transceiver units, the transmitted signal enters the receiving antenna through spatial coupling and transmission domain interference suppression to form a self-interference signal sI,m(t). The transmitting signal of the coupling part of the transmitting end is used as a reference signal sr,n(t)=cm,nsn(t), and sent to the radio frequency cancellation module, cm,n is the transmission coupling from the n-th channel reference coefficient. Usually considering factors such as bandwidth and spatial multipath transmission, the RF cancellation module adopts a multi-tap analog cancellation method [21]. Different taps have different delays, amplitudes and phases. Reconstruction of self-interfering signals. The receiver uses an adaptive optimization algorithm, such as the steepest descent method, to obtain the corresponding delay, amplitude and phase parameter control of different tap branches, so as to synthesize the corresponding self-interference cancellation signal s^I,m(t), the self-interference signal sI,m(t) is eliminated in the radio frequency domain of the receiving end.

Let the RF signal of the m-th receiver be:

rm(t)=dm(t)+sI,m(t)+s^I,m(t)+nm(t), (2)

where dm(t) represents the desired signal received, such as a long-range target scattered echo signal or a signal received by a long-range radio frequency system and is received at the local m-th receiver; sI,m(t) represents the self-interference signal; s^I,m(t) represents the locally synthesized self-interference cancellation signal; nm(t) represents noise signal. The self-interference radio frequency signal sI,m(t) of the local receiver is:

sI,m(t)=(1-c)s(t)hI(t), (3)

where c represents the coupling coefficient between the transmitting antenna and the receiving antenna. Its value range is (0,1). Then (1-c) represents the signal amplitude through the main channel. s(t) is the transmitter signal. hI(t) represents the self-interference characteristics of the transmission channel from the transmitting antenna to the receiving antenna. represents the convolution of the transmitter and the self-interference channel.

The self-interference cancellation RF signal s^I,m(t) synthesized by the local receiver is:

s^I,m(t) =Σn=1Ns^I,m,n(t) (4)
=Σn=1NΣk=1Kak,m,ne-jφk,m,nsr,n(t-τk,m,n),

where K is the number of analog cancellation channels, K2, ak,m,n, φk,m,n and τk,m,n (m=1,2,,M) are the amplitude attenuation value, phase shifter value and delay of each tap of the RF/analog cancellation.

During the transmitter training period signal transmission, assuming d(t)=0, the radio frequency signal received by the receiver is:

r^(t)=sI(t)+s^I(t)+n(t). (5)

In a specific time period, it is assumed to be [t1,t2], (t1<t2). In order to minimize the residual interference signal of the receiver, the amplitude of the signal r¯(t) received by the receiver is integrated and the expectation is obtained. The optimized objective function with adjustable attenuation and phase shift parameters is as follows:

O(a,φ,τ) =E(t1t2|r¯(t)|2dt) (6)
=E(t1t2|sI(t)+s^I(t)+n(t)|2dt).

The optimal solution model is:

(ao,φo,τo)=mina,φ,τO(a,φ,τ), (7)
s.t.{0a(n)1,n=1,2,,N-πφ(n)π,n=1,2,,N0τ(n)τmax

where a represents the amplitude control vector of the multi-tap self-interference synthesis unit; φ represents the delay control vector of the multi-tap self-interference synthesis unit. As a result, ao, φo and τo represent the optimal amplitude, phase and delay control vector values that are solved.

Considering the practical limitations of the effective bandwidth of the signal, the optimization can be done in the frequency domain:

argmina,φ,τ[HI(f)-Hr(f)]2. (8)

In the formula, HI(f) represents the frequency domain response of the interference signal transmission channel; Hr(f) represents the frequency domain response of the reconstructed interference signal transmission channel.

Based on this, band-pass filtering is used to filter out harmonics and spurious components outside the bandwidth of the original reference signal and the coupled interference signal before the cancellation process, so as to retain the effective components of the signal. Use this as the reference signal and desired signal input to the self-interference cancellation processing algorithm.

images

Figure 4: Phased array coupled self-interference suppression process and method at the same time as transmission and reception.

E. Digital domain interference cancellation processing

The residual interference signal after cancellation in the transmission domain and the radio frequency domain is further eliminated by the adaptive filtering system identification method in the digital domain. The basic principle is to characterize the interference channel as a multi-tap adaptive filter system, use the filter weights to weight the delayed signal to generate the output signal, and compare the output signal with the expected signal under a certain error criterion to adjust the weight value. After convergence, the transmission characteristics of the filter system are similar to the characteristics of the interference channel, and the subsequent transmitted signal can be approximated by the filter system to approximate the actual coupled interference signal, and the two are subtracted to achieve the purpose of eliminating interference.

IV. PRINCIPLE EXPERIMENTAL EVALUATION

To evaluate the performance of the multi-domain joint self-interference suppression method, we use an experimental array antenna configured with 30 transmitting elements and 10 receiving elements. Passive spatial attenuation and active adaptive beamforming in the transmission domain and radio frequency domain are combined, and the adaptive identification filter cancellation method in the digital domain is also adopted. The test signal is a single frequency continuous wave signal. The transmitted signal of the array antenna is recorded as the reference signal for interference suppression and the received signal of the receiving unit is recorded as the signal for self-interference cancellation to evaluate and analyze the comprehensive effect of the joint interference cancellation method. The architecture and schematic diagram of the experiment system is shown in Figs. 5 and 6.

images

Figure 5: Block diagram of the principle experiment architecture.

images

Figure 6: Schematic diagram of interference cancellation principle experiment scene.

images

Figure 7: Experimental results of multi-domain integration for self-interference cancellation of simultaneous transmit and receive phased array.

We jointly adopt passive spatial attenuation and active adaptive beam assignment in the transmission domain and RF domain, and adaptive identification filtering cancellation in the digital domain. The active beam assignment method is the conventional beam assignment weight with 0, azimuth angle 0 and optimization weight for interference suppression; adaptive identification filtering elimination in the digital domain adopts FIR model of order 256, and adopts adaptive filtering based on the minimum mean square error criterion. Considering the above methods, the experiment data results are shown in Fig. 7. Under the constraints of 0.5 db amplitude quantization and 6-bit phase quantization control of the practical hardware system, the spatial passive transmission of the transmission domain and the active beam optimization formation are jointly adopted. Also, the adaptive system identification interference cancellation method in the digital domain can achieve a total of more than 150 db self-interference cancellation. The verification of the principle test shows that the method of multi-domain/multi-level combination can achieve a good effect for the elimination of strong self-interference in the simultaneous transmit and receive phased array system.

V. CONCLUSION

Based on the electromagnetic modeling and digital modeling analysis of the coupling interference characteristics between phased array antenna elements, this paper breaks through the key technologies of simultaneous transmission and reception of electromagnetic radiation under the actual constraints of the array system, and adaptive digital identification and cancellation. Simultaneous multi-domain and multi-level self-interference suppression/cancellation principle model and implementation process, through the multi-domain comprehensive interference suppression principle test, the principle evaluation of key technologies and optimization models has been realized. The cancellation method and its process are processed according to the transmission and coupling characteristics of the radio frequency interference signal, and can be popularized and applied in the system self-interference cancellation requirements of different frequency bands and different functions.

REFERENCES

[1] D. Bharadia, E. McMilin, and S. Katti, “Full duplex radios,” Proceedings of ACM SIGCOMM,2013.

[2] J. I. Choi, M. Jain, K. Srinivasan, P. Levis, and S. Katti, “Achieving single channel, full duplex wireless communications,” Proceedings of ACM Mobicom, 2010.

[3] M. Li, X. Chen, A. Zhang, A. A. Kishk, and W. Fan, “Reducing correlation in compact arrays by adjusting near-field phase distribution for mimo applications,” IEEE Transactions on Vehicular Technology, vol. 70, pp. 7885-7896, 2021.

[4] Y. Da, Z. Zhang, X. Chen, and A. Kishk, “Mutual coupling reduction with dielectric superstrate for base station arrays,” IEEE Antennas and Wireless Propagation Letters, vol. 20, pp. 843-847, 2021.

[5] M. Li, X. Chen, A. Zhang, W. Fan, and A. A. Kishk, “Split ring resonator loaded baffles for decoupling of dual-polarized base station array,” IEEE Antennas and Wireless Propagation Letters, vol. 19, pp. 1828-1832, 2020.

[6] J. Zhang, S. Li, W. Chang, T. Jiang, B. Li, and Z. Liang, “Study on full-duplex channel characteristic for simultaneous transmit and receive used in phased array,” Proceedings of IEEE AP-S. 2019.

[7] E. Everett, “SoftNull many-antenna full-duplex wireless via digital beamforming,” IEEE Transactions on Wireless Communications, vol. 15, pp. 8077-8092, 2016.

[8] J. P. Doane, “Simultaneous transmit and receive with digital phased arrays,” Proceedings of IEEE International Symposium on Phased Array Systems and Technology (PAST), pp. 1-6, 2016.

[9] I. T. Cummings, J. P. Doane, T. J. Schulz, and T. C. Havens, “Aperture-level simultaneous transmit and receive with digital phased arrays,” IEEE Transactions on Signal Processing, vol. 68, pp. 1243-1258, 2020

[10] X. Liu, Z. Xiao, L. Bai, J. Choi, P. Xia, and X.-G. Xia, “Beamforming based full-duplex for millimeter-wave communication,” Sensors, vol. 16, no. 7, 2016.

[11] Z. Xiao, P. Xia, and X. Xia, “Full-duplex millimeter-wave communication,” IEEE Wireless Communications, vol. 24, pp. 136-143, 2017.

[12] J. Zhang and J. Zheng, “Prototype verification of self-interference suppression for constant-amplitude full-duplex phased array with finite phase shift,” Electronics, vol. 11, no. 3 pp. 295, 2022.

[13] A. J. Fenn, “Evaluation of adaptive phased array antenna, far-field nulling performance in the near-field region,” IEEE Transactions on Antennas and Propagation, vol. 38, pp. 173-185, 1990.

[14] A. D. Yaghjian, “An overview of near-field antenna measurements,” IEEE Transactions on Antennas and Propagation, vol. 34, pp. 30-45, 1986.

[15] A. Sayers, W. Dorsey, K. O’Haver, and J. Valenzi, “Planar near-field measurement of digital phased arrays using near-field scan plane reconstruction,” IEEE Transactions on Antennas and Propagation, vol. 60, pp. 2711-2718, 2012.

[16] D. Bharadia and S. Katti, “Full duplex MIMO radios,” Proceedings of the 11th USENIX Conference on Networked Systems Design and Implementation, pp. 359-372, 2014.

[17] Z. Zhang, K. Long, A. V. Vasilakos, and L. Hanzo, “Full-duplex wireless communications: challenges, solutions, and future research directions,” Proceedings of the IEEE, vol. 104, pp. 1369-1409, 2016.

[18] T. Riihonen, S. Werner, and R. Wichman, “Mitigation of loopback self-interference in full-duplex MIMO relays,” IEEE Transactions on Signal Processing, vol. 59, pp. 5983-5993, 2011.

[19] J. Zhang, W. Chang, and T. Jiang, “Research on modeling and principle verification of full-duplex technology based on phased array,” IEEE Radar Conference (RadarConf20), Florence, Italy, 2020.

[20] D. L. Gerber, “Adaptive transmit beamforming for simultaneous transmit and receive,” Master’s thesis, Massachusetts Institute of Technology, 2011.

[21] K. E. Kolodziej, J. G. McMichael, and B. T. Perry, “Multitap RF canceller for in-band full-duplex wireless communications,” IEEE Transactions on Wireless Communications, vol. 15, pp. 4321-4334, 2016.

[22] B. Liu, X. Chen, J. Tang, A. Zhang, and A. Kishk, “Co- and cross-polarization decoupling structure with polarization rotation property between linearly polarized dipole antennas with application to decoupling of circularly polarized antennas,” IEEE Transactions on Antennas and Propagation, vol. 70, no. 1, pp. 702-707, 2022.

[23] S. Song, Y. Da, B. Qian, X. Huang, X. Chen, Y. Li, and A. A. Kishk, “Dielectric resonator magnetoelectric dipole arrays with low cross polarization, backward radiation, and mutual coupling for MIMO base station applications,” China Communications, in press.

[24] T. Jiang, T. Jiao, and Y. Li, “A low mutual coupling MIMO antenna using periodic multi-layered electromagnetic band gap structures,” Applied Computational Electromagnetics Society (ACES) Journal, vol. 33, no. 3, pp. 305-311, 2018.

[25] S. Luo and Y. Li, “A low mutual coupling antenna array with gain enhancement using metamaterial loading and neutralization line structure,” Applied Computational Electromagnetics Society (ACES) Journal, vol. 34, no. 3, pp. 411-418, 2019.

[26] Y. Wang, X. Chen, X. Liu, J. Yi, J. Chen, and A. Zhang, “Improvement of diversity and capacity of MIMO system using scatterer array,” IEEE Transactions on Antennas and Propagation, vol. 70, no. 1, pp. 789-794, 2022.

[27] E. Aryafar and A. Keshavarz-Haddad, “PAFD: phased array full-duplex,” IEEE Conference on Computer Communications, Honolulu, HI, 2018.

[28] K. E. Kolodziej, J. P. Doane, B. T. Perry, and J. S. Herd, “Adaptive beamforming for multi-function in-band full-duplex applications,” IEEE Wireless Communications, pp. 28-35, 2021.

[29] J. S. Herd and M. D. Conway, “The evolution to modern phased array architectures,” Proceedings of the IEEE, vol. 104, no. 3, pp. 1-11, 2016.

BIOGRAPHIES

images

Jie Zhang received his Ph.D. degree from the School of Information Science and Engineering of Southeast University, Nanjing, China, in 2006. He joined Nanjing Research Institute of Electronics Technology in 2006. His research interests include radar system technology, simultaneous transmitting and receiving, radar waveform design.

images

Hongchao Wu received his B.E. and Ph.D. degrees in Communication Engineering from Southeast University, Nanjing, China, in 1999 and 2006, respectively. He joined Nanjing Research Institute of Electronic Technology in 2006. His research interests include solid-state active phased array antenna and digital array antenna.

ABSTRACT

I. INTRODUCTION

II. COUPLING SELF-INTERFERENCE ELECTROMAGNETIC MODEL OF SIMULTANEOUS TRANSMITTING AND RECEIVING PHASED ARRAY

images

images

III. SYSTEM ARCHITECTURE AND METHOD FOR SIMULTANEOUS TRANSMISSION AND RECEPTION OF PHASED ARRAY COUPLED SELF-INTERFERENCE SIGNAL SUPPRESSION

images

A. Obtain the characteristic parameters of self-interference coupling between the transceiver arrays

B. Phased array modeling and spatial interference suppression optimization

C. Cancellation preprocessing

D. Self-interference cancellation processing in radio frequency domain

images

E. Digital domain interference cancellation processing

IV. PRINCIPLE EXPERIMENTAL EVALUATION

images

images

images

V. CONCLUSION

REFERENCES

BIOGRAPHIES