A Compact Low-profile 5G Millimeter-wave Circularly Polarized Antenna Based on LTCC

Ting Wang1, Jun Wang1, Chenyu Ding2, Zhuowei Miao2, Jie Wang3, and Lei Zhao1

1School of Information and Control Engineering
China University of Mining and Technology, Xuzhou 221116, China
twangmax@163.com, jun-wang@cumt.edu.cn, leizhao@cumt.edu.cn

2State Key Laboratory of Millimeter Waves, School of Information Science and Engineering
Southeast University, Nanjing 211189, China
cyding_aly@seu.eu.cn, zwmiao@seu.edu.cn

3Suzhou Bohai Microsystem Co. Ltd.
Suzhou, China
jwang@bmsltcc.com

Submitted On: February 16, 2023; Accepted On: December 7, 2023

ABSTRACT

In this paper, a circularly polarized millimeter-wave L-shaped dipole antenna based on low temperature cofired ceramic (LTCC) technology is proposed, which realizes compact size and low-profile performance. The designed antenna consists of radiation patches and the grounded coplanar waveguide-substrate integrated waveguide (GCPW-SIW) feeding structure, which connects each other by two via holes. The radiation patches include a pair of L-shaped patches and four parasitic patches. The simulated results show that the proposed antenna operates from 26.5 to 29.5 GHz for |S11|<-10 dB and AR<3 dB with a peak gain of 6.7 dBic. The antenna element size is only 0.58λ0×0.58λ0×0.056λ0, where λ0 is free-space wavelength at the center frequency of 28 GHz. A sample of the antenna is fabricated and measured to verify the proposed design, which has a good agreement with the simulated ones, indicating that the antenna has potential applications for the fifth generation (5G) mm-Wave n257 (26.5 - 29.5 GHz) frequency band communications and satellite communication systems.

Index Terms: 5G millimeter wave (mm-Wave), circularly polarized (CP), low-profile, low temperature cofired ceramic (LTCC), substrate integrated waveguide (SIW).

I. INTRODUCTION

To meet the demands of users for high-capacity and high data transmission rate of the fifth generation (5G) mobile communication, the 5G millimeter-wave (mm-Wave) band is being extensively studied and applied [12]. As one of the 5G commercial millimeter-wave bands, n257 (26.5-29.5 GHz) frequency band is of great practical significance in the research of the antenna.

The traditional processes of manufacturing circular polarization antennas mainly include printed circuit board (PCB) technology and low temperature cofired ceramic (LTCC) technology. With the rapid development of fabrication technology, miniaturization and integration have become a research hotspot. Especially, LTCC technology has become a good candidate for designing miniaturization and integration of electronic components [3].

Recently, different kinds of LTCC and PCB mm-Wave antennas have been reported for various circularly polarized applications [421]. For example, an s-dipole based on PCB is employed to constitute an 8×8 broadband circularly polarized (CP) antenna array, which has an impedance bandwidth of 27.6% and axial ratio bandwidth up to 32.7% [4]. Nevertheless, the antenna size is 0.71λ0×0.71λ0×0.46λ0, which needs to be further reduced. Similarly, a 4×4 magnetoelectric dipole array is devised in [5], which uses sequential rotary feed network to obtain the wide bandwidth. However, it needs to be further miniaturized. Because the LTCC has unique multilayer technology and high dielectric constant performance compared to the PCB process, it can be used to design miniaturization and integration antennas. Accordingly, a 4×4 60 GHz LTCC helical antenna array is proposed, which achieves a bandwidth of 20% with a small plane size [6]. However, its profile and the antenna structure need to be further reduced and simplified. Meanwhile, an antenna-in-package array with relatively simple structure based on LTCC technology with low-profile has been proposed in [7]. Unfortunately, the antenna sacrifices bandwidth to obtain low-profile characteristics. Accordingly, a LTCC low-profile and wide bandwidth helical antenna is shown in [8]. Moreover, a SIW cavity and L-shaped planar probe were combined to form circularly polarized radiation, which realizes high gain performance [9]. However, the axial ratio bandwidth still needs to be enhanced. Therefore, designing a compact, low-profile, and easy to manufacture circularly polarized antenna is a challenging task.

images

Figure 1: (a) 3D view, (b) top view, (c) bottom view of the bottom layer, and (d) side view of the antenna.

Table 1: Dimensions of the antenna (unit: mm)

L W Wsiw L1 W1
6.25 6.25 2.7 1.61 0.7
W2 L3 L4 C1 Lslot
0.25 1.65 1.61 0.2 1.9
S L5 W5 Wmic Gvia
0.2 2.02 0.45 0.29 0.3

In this paper, a circularly polarized L-shaped dipole antenna with four parasitic patches based on LTCC technology is proposed, which realizes compact size and low-profile performance. The antenna operates at 26.5-29.5 GHz with |S11| < -10 dB and AR < 3 dB. The peak gain value within the operating frequency band is 6.7 dBic. A prototype is fabricated and measured to verify the simulated results, which are basically consistent with the simulated ones.

II. DESIGN OF CP ANTENNA

A. Antenna Geometry

Figure 1 (a) presents the geometry of the proposed antenna, which mainly includes two parts: one is radiation patches with six layers LTCC and the other is the GCPW-SIW feeding structure with two layers LTCC. The L-shaped dipole patches at the top layer are connected with the SIW-based rectangular slot through two via holes. Moreover, four patches with square chamfer are placed around the L-shaped patch as parasitic elements to improve the AR bandwidth. It should be noted that an extra via hole is inserted into SIW to improve the impedance matching. Furthermore, an extra structure is added at the end of the antenna to install the microwave connector.

images

Figure 2: The process of the antenna design.

images

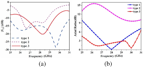
Figure 3: (a) Simulated |S11| of types 1-3 structure and (b) simulated axial ratio of types 1-3 structure.

images

Figure 4: Current distributions of the proposed CP antenna at 28 GHz: (a) t = 0(T), (b) t = T/4, (c) t = T/2, and(d) t = 3T/4.

B. Design Theory of the Proposed Antenna

Figure 2 gives the improvement process of the proposed antenna structure. Type 1 is the initial structure with a thickness of h = 1.2 mm, and two centrosymmetric L-shaped patches are employed to form orthogonal line current for the sake of producing CP radiation. However, the AR bandwidth cannot meet the requirement of 26.5-29.5 GHz, and the profile needs to be further reduced. Hence, our proposed LTCC employs eight layers to attain a lower profile, as shown in the type 2 structure. Concurrently, the performance of the antenna deteriorates, especially the axial ratio performance. Therefore, four parasitic patches with square chamfer are introduced to compensate the degradation results, as shown in type 3 structure.

Figure 3 displays the simulated results of |S11| and axial ratio of types 1 - 3 antennas. The type 1 has excellent impedance bandwidth according to Fig. 3 (a). However, the axial ratio bandwidth of type 1 does not satisfy the desired bandwidth, and the antenna profile is high as displayed in Fig. 3 (b). Therefore, the type 2 antenna is designed to decrease the profile compared to type 1. Nevertheless, the bandwidth of type 2 still cannot meet the requirements of the n257 frequency band, as the reduction of profile affects the performance of the antenna. Hence, to obtain the desired bandwidth, type 3 is proposed, based on type 2, which commendably covers the 26.5-29.5 GHz frequency band whether impedance or axial ratio bandwidth.

In order to explain the operating principle of the proposed antenna, Fig. 4 shows the simulated surface current distribution of the radiation elements at 28 GHz. According to the change of the surface current on the L-shaped dipole, the orientation of the surface current rotates 360 within one period, which reveals that right-handed circular polarization is formed. Moreover, the orientation of the surface current of the additional chamfered parasitic patches changes counter-clockwise in one period, which will form another circular polarization resonance. As a result, the axial bandwidth is expanded to cover the 26.5-29.5 GHz frequency band.

Figures 5 (a) and (b) show the field distributions of the SIW cavity without and with via hole, respectively, which indicates that the via hole disrupts the field distribution in the SIW cavity. Moreover, the via hole is placed at the site of the weak electric field, which is equivalent to that the cavity wall moves inward. Therefore, the operating AR bandwidth frequency shifts to the high frequency and realizes the required n257 frequency band, as shown in Fig. 5 (c).

images

Figure 5: (a) Electric field distribution without via hole, (b) electric field distribution with via hole, and (c) simulated |S11| and axial ratio in both (a) and (b) cases.

images

Figure 6: Fabricated prototype of the CP antenna: (a) Prototype with connectors installed and (b) antenna under test in the anechoic chamber.

images

Figure 7: Simulated and measured |S11| and RHCP gain of the fabrication model.

images

Figure 8: Simulated and measured axial ratio of the fabrication model.

images

Figure 9: Simulated and measured radiation patterns: (a) 27 GHz, (b) 28 GHz, and (c) 29 GHz.

III. SIMULATION RESULTS AND EXPERIMENTAL VERIFICATION

In order to verify the validity of simulated results, a physical model is manufactured and measured. Figures 6 (a) and (b) show the photographs of the fabricated sample based on the LTCC process and the arrangements of the far-field measurement, respectively. It should be noted that an additional structure is added at the end of antenna feeding structure, as shown in Fig. 6 (a), which is convenient for the installation of the microwave connector.

Figure 7 presents the simulated and measured results of |S11| and RHCP gain. It indicates that the simulation and measured impedances bandwidth of the antenna are 25.9-29.5 GHz and 26.3-29.5 GHz for |S11| < -10 dB, which illustrates that the simulation and measured |S11| results have good consistency. In addition, compared to the simulated RHCP gain of the proposed antenna, the measured result has a slight deviation owing to the slight variation in dielectric constant of LTCC. The measured peak gain of the proposed CP antenna is 6.7 dBic within the operating frequency band.

The comparison of axial ratio between measured and simulated results are shown in Fig. 8, which reveals that the simulated axial ratio is less than 3 dB within 26.5-29.5 GHz. However, the measured axial ratio is deteriorated to about 6 dB within 26.5-29.5 GHz, which is caused by the test environment. During the test process of axial ratio, the linear polarization test scheme is adopted due to the lack of a circularly polarized horn antenna. Using the measured horizontal and vertical polarization results, the axial ratio of a circularly polarized antenna can be calculated. Moreover, it should be noted that the measured results of pitch angle deviation may be about 5 degrees residual. Considering the measurement tolerance error, the deviation between the simulation and the test results is within a reasonable range (AR < 4 dB). Furthermore, Fig. 9 shows the simulated and measured co-polarized and cross-polarized radiation patterns of the antenna at 27 GHz, 28 GHz, and 29 GHz. It can be observed that measured results of the primary and cross polarization patterns are basically consistent with the simulated results.

Table 2: Comparison of existing CP mm-Wave antennas

Ref. Process Technology f0(GHz) Antenna Element Size(mm) Thickness*λs(λs=λ0/εr) Impedance Bandwidth Axial Ratio Bandwidth
[19] PCB 28.63 8+8(0.840.84λ0) 0.25 21.83% 5.9%
[22] PCB 60 5.6+5.6(1.12*1.12λ0) 0.22 23.8% 23.4%
[23] PCB 30.5 9.5+9.5(0.990.99λ0) 0.3 27.7% 28.5%
[24] PCB 28.35 12+12(1.131.13λ0) 0.31 >14% 14%
[17] LTCC 35 3.83+3.83(0.45*0.45λ0) 0.24 29.6% >26%
[18] LTCC 60 3.5*4(0.7*0.8λ0) 0.19 16.5% 11.5%
Thiswork LTCC 28 6.25+6.25(0.58+0.58λ0) 0.18 >10% >10%

To further illustrate the features of the proposed antenna, the performance comparison of the proposed CP antenna with the existing CP antennas are given in Table 2. References [19], [22], [23], and [24] present polarized antennas based on PCB technology, which can achieve wide bandwidth. However, their superiority in miniaturization is not outstanding comparing to the other circularly polarized antennas based on LTCC technology proposed in [17] and [18]. Moreover, the profile of the proposed antenna in this paper is lower than the other antenna structures (see Table 2) with the bandwidth exactly covering the required n257 operating frequency band.

IV. CONCLUSION

In this paper, a compact low-profile circularly polarized mm-Wave L-shaped dipole antenna with four parasitic patches is proposed. Four parasitic patches with square chamfer are placed around the centrosymmetric L-shaped patches to improve the axial ratio bandwidth. The designed antenna bandwidth is more than 10%, which can meet the required n257 operation frequency band. Additionally, it has the feature of smaller size and lower profile. The measured results have good agreement with the simulated ones. Hence, the proposed antenna can be an appropriate candidate for the applications of 5G millimeter-wave n257 (26.5 - 29.5 GHz) frequency band communications and satellite communications systems.

ACKNOWLEDGMENT

This work was supported in part by the National Science Foundation of China under Grant 62201575. (Corresponding authors: Jun Wang; Lei Zhao).

REFERENCES

[1] L. Wei, R. Q. Hu, Y. Qian, and G. Wu, “Key elements to enable millimeter wave communications for 5G wireless systems,” IEEE Wireless Commun., vol. 21, no. 6, pp. 136-143, Dec. 2014.

[2] W. Hong, K. Baek, Y. Lee, Y. Kim, and S. Ko, “Study and prototyping of practically large-scale mm-Wave antenna systems for 5G cellular devices,” IEEE Commun. Mag., vol. 52, no. 9, pp. 63-69, Sep. 2014.

[3] U. Ullah, N. Mahyuddin, Z. Arifin, M. Z. Abdullah, and A. Marzuki, “Antenna in LTCC technologies: A review and the current state of the art,” IEEE Antennas and Propagation Magazine, vol. 57, no. 2, pp. 241-260, Apr. 2015.

[4] L. Zhang, K. Wu, S. W. Wong, Y. J. He, P. Chu, W. Y. Li, K. X. Wang, and S. Gao, “Wideband high-efficiency circularly polarized SIW-fed S-dipole array for millimeter-wave applications,” IEEE Trans. Antennas Propag., vol. 68, no. 3, pp. 2422-2427, Mar. 2020.

[5] Z. Gan, Z. Tu, Z. Xie, Q. Chu, and Y. Yao, “Compact wideband circularly polarized microstrip antenna array for 45 GHz application,” IEEE Trans. Antennas Propag., vol. 66, no. 11, pp. 6388-6392, Nov. 2018.

[6] C. Liu, Y. Guo, X. Bao, and S. Xiao, “60-GHz LTCC integrated circularly polarized helical antenna array,” IEEE Trans. Antennas Propag., vol. 60, no. 3, pp. 1329-1335, Mar. 2012.

[7] W. Zhang, Y. P. Zhang, M. Sun, C. Luxey, D. Titz, and F. Ferrero, “A 60-GHz circularly polarized array antenna-in-package in LTCC technology,” IEEE Trans. Antennas Propag., vol. 61, no. 12, pp. 6228-6232, Dec. 2013.

[8] M. Du, J. Xu, X. Ding, J. P. Cao, J. H. Deng, and Y. L. Dong, “A low-profile wideband LTCC integrated circularly polarized helical antenna array for millimeter-wave applications,” Radioengineering, vol. 27, no. 2, pp. 455-462, 2018.

[9] B. Cao, Y. Shi, and W. Feng, “W-band LTCC circularly polarized antenna array with mixed U-type substrate integrated waveguide and ridge gap waveguide feeding networks,” IEEE Antennas and Wireless Propag. Lett., vol. 18, no. 11, pp. 2399-2403, Nov. 2019.

[10] Y. Li, Z. N. Chen, X. Qing, Z. Zhang, J. Xu, and Z. Feng, “Axial ratio bandwidth enhancement of 60-GHz substrate integrated waveguide-fed circularly polarized LTCC antenna array,” IEEE Trans. Antennas Propag., vol. 60, no. 10, pp. 4619-4626, Oct. 2012.

[11] H. T. Chou, S. J. Chou, J. D. S. Deng, C. H. Chang, and Z.-D. Yan, “LTCC-based Antenna-in-Package array for 5G user equipment with dual-polarized endfire radiations at millimeter-wave frequencies,” IEEE Trans. Antennas Propag., vol. 70, no. 4, pp. 3076-3081, Apr. 2022.

[12] M. A. Ahmad and L. J. A. Olule, “Meshed stacked LTCC antenna for space application,” IEEE Access, vol. 10, pp. 29473-29481, 2022.

[13] H. Xu, J. Zhou, K. Zhou, Q. Wu, Z. Yu, and W. Hong, “Planar wideband circularly polarized cavity-backed stacked patch antenna array for millimeter-wave applications,” IEEE Trans. Antennas Propag., vol. 66, no. 10, pp. 5170-5179, Oct. 2018.

[14] A. B. Guntupalli and K. Wu, “60-GHz circularly polarized antenna array made in low-cost fabrication process,” IEEE Antennas Wireless Propag. Lett., vol. 13, pp. 864-867, 2014.

[15] D. Guan, C. Ding, Z. Qian, Y. Zhang, Y. J. Guo, and K. Gong, “Broadband high-gain SIW cavity-backed circular-polarized array antenna,” IEEE Trans. Antennas Propag., vol. 64, no. 4, pp. 1493-1497, Apr. 2016.

[16] Q. Wu, H. Wang, C. Yu, and W. Hong, “Low-profile circularly polarized cavity-backed antennas using SIW techniques,” IEEE Trans. Antennas Propag., vol. 64, no. 7, pp. 2832-2839, July 2016.

[17] M. Du, Y. Dong, J. Xu, and X. Ding, “35-GHz wideband circularly polarized patch array on LTCC,” IEEE Trans. Antennas Propag., vol. 65, no. 6, pp. 3235-3240, June 2017.

[18] H. Sun, Y. Guo, and Z. Wang, “60-GHz circularly polarized U-slot patch antenna array on LTCC,” IEEE Trans. Antennas Propag., vol. 61, no. 1, pp. 430-435, Jan. 2013.

[19] B. Feng, J. Lai, K. L. Chung, T.-Y. Chen, Y. Liu, and C.-Y.-D. Sim, “A compact wideband circularly polarized magneto-electric dipole antenna array for 5G millimeter-wave application,” IEEE Trans. Antennas Propag., vol. 68, no. 9, pp. 6838-6843, Sep. 2020.

[20] J. Xu, W. Hong, Z. H. Jiang, and H. Zhang, “Low-cost millimeter-wave circularly polarized planar integrated magneto-electric dipole and its arrays with low-profile feeding structures,” IEEE Antennas Wireless Propag. Lett., vol. 19, no. 8, pp. 1400-1404, Aug. 2020.

[21] X. Bai, S. Qu, S. Yang, J. Hu, and Z. Nie, “Millimeter-wave circularly polarized tapered-elliptical cavity antenna with wide axial-ratio beam width,” IEEE Trans. Antennas Propag., vol. 64, no. 2, pp. 811-814, Feb. 2016.

[22] X. Ruan, S. W. Qu, Q. Zhu, K. B. Ng, and C. H. Chan, “A complementary circularly polarized antenna for 60-GHz applications,” IEEE Antennas and Wireless Propag. Lett., vol. 16, pp. 1373-1376, 2017.

[23] C. M. Zhu, G. H. Xu, D. W. Ding, J. Wu, W. Wang, Z. X. Huang, and X. L. Wu, “Low-profile wideband millimeter-wave circularly polarized antenna with hexagonal parasitic patches,” IEEE Antennas and Wireless Propag. Lett., vol. 20, no. 9, pp. 1651-1655, Sep. 2021.

[24] J. Wu, Y. J. Cheng, and Y. Fan, “Millimeter-wave wideband high-efficiency circularly polarized planar array antenna,” IEEE Trans. Antennas Propag., vol. 64, no. 2, pp. 535–542,Feb. 2016.

BIOGRAPHIES

images

Ting Wang was born in Xuzhou, China, in 1998. She is currently working toward the master’s degree with China University of Mining and Technology, Xuzhou, China. Her research interest is circularly polarized antenna theory and application.

images

Jun Wang was born in Jiangsu, China. He received the B.Eng. and M.S. degrees from Jiangsu Normal University, Xuzhou, China, in 2013 and 2017, respectively, and the Ph.D. degree in electromagnetic field and microwave technology from Southeast University, Nanjing, in 2021. From 2015 to 2016, he was with the Department of Electronic and Electrical Engineering, Nanyang Technological University of Singapore, as a research associate.

He joined the China University of Mining and Technology, Xuzhou, China, in 2021. He has authored or co-authored over 30 referred journal and conference papers. His current research interests include the design of RF/microwave antennas and components.

images

Chen-Yu Ding received the B.S. degree in electromagnetic fields and wireless technology from Northwestern Polytechnical University, Xi’an, China, in 2020. He is currently pursuing the Ph.D. degree in electromagnetic field and microwave technology at the State Key Laboratory of Millimeter Waves, Southeast University, Nanjing, China., His current research interests include high-gain antenna array, multibeam antennas, and terahertz technology.

images

Zhuo-Wei Miao received the B.S. degree in electronics and information engineering from Nanjing Normal University, Nanjing, China, in 2014, and the Ph.D. degree in electromagnetic field and microwave technology from Southeast University, Nanjing, in 2020. From 2019 to 2020, he was a visiting Ph.D. student with the Department of Electrical and Computer Engineering, National University of Singapore, Singapore.

He is currently a research fellow with the State Key Laboratory of Millimeter Waves, School of Information Science and Engineering, Southeast University. His current research interests include millimeter-wave and terahertz antennas and circuits, terahertz systems, and metamaterials.

images

Jie Wang Deputy General Manager of Suzhou Bohai Entrepreneurial Microsystems Co., LTD. He received degree in electromagnetic field and microwave technology from Southeast University, Nanjing and as a postdoctoral fellow with Department of Electronic Engineering, Chinese University of Hong Kong, and adjunct professor with School of Electronic Information, Soochow University.

His research interests include electromagnetic field numerical calculation, LTCC multilayer circuit numerical calculation and equivalent circuit derivation, LTCC microwave device design, microwave millimeter wave component design based on LTCC, etc. He has published more than 10 papers such as IEEE-MTT, Journal of Electronics, Journal of Infrared and Millimeter Wave, Journal of Radio Wave Science, etc.

images

Lei Zhao received the B.S. degree in mathematics from Jiangsu Normal University, China, in 1997, and the M.S. degree in computational mathematics and the Ph.D. degree in electromagnetic fields and microwave technology from Southeast University, Nanjing, China, in 2004 and 2007, respectively.

He joined the China University of Mining and Technology, Xuzhou, China, in 2019, where he is currently a full professor. From September 2009 to December 2018, he worked with Jiangsu Normal University, Xuzhou, China. From August 2007 to August 2009, he worked with the Department of Electronic Engineering, The Chinese University of Hong Kong, as a research associate. From February 2011 to April 2011, he worked with the Department of Electrical and Computer Engineering, National University of Singapore, as a research fellow. From September 2016 to September 2017, he worked with the Department of Electrical and Computer Engineering, University of Illinois at Urbana-Champaign, Champaign, IL, USA, as a visiting scholar. He has authored or coauthored more than 100 refereed journal and conference papers. His current research interests include spoof surface plasmon polaritons theory and its applications, RF/microwave antenna and filter design, computational electromagnetics, and effects of electromagnetic radiation on the human body.

Dr. Zhao serves as an associate editor for IEEE Access, an associate editor-in-chief for ACES Journal and a reviewer for multiple journals and conferences including the IEEE Trans. on Microwave Theory and Techniques, IEEE Trans. Antennas and Propagation, IEEE Antennas and Wireless Propagation Letters, ACES Journal, and other primary electromagnetics and microwave related journals.

ABSTRACT

I. INTRODUCTION

images

II. DESIGN OF CP ANTENNA

A. Antenna Geometry

images

images

images

B. Design Theory of the Proposed Antenna

images

images

images

images

images

III. SIMULATION RESULTS AND EXPERIMENTAL VERIFICATION

IV. CONCLUSION

ACKNOWLEDGMENT

REFERENCES

BIOGRAPHIES