Architecture and Validation of Wideband Simultaneous Transmit and Receive Phased Array System

Jie Zhang, Hongchao Wu, and Lianqing Yu

Nanjing Research Institute of Electronic Technology
Nanjing 210039, China
zjwj2011@sina.com, babaywind@sina.com, ylqnj@163.com

Submitted On: November 30, 2023; Accepted On: July 22, 2024

ABSTRACT

Because signals of different frequencies exhibit different characteristics after channel coupling, the traditional phased array system only uses phase shifter or antenna beam control to process frames plus amplitude adjustment control, which has the problem of optimizing the parameters of different frequencies to offset the mismatch. Based on the principle of broadband adaptive beamforming, each channel is configured as an adaptive filter with multiple taps to satisfy the precise relationship between interference suppression and frequency. On this basis, combined with the simultaneous application of a multi-element array system, a multi-tap weight optimization method for interference suppression is proposed. At the same time, in order to satisfy the application requirements of the existing phased array system architecture with only one set of controllable and adjustable weights, an adaptive beamforming weight optimization method for phased array system for wideband signals is analyzed and proposed on the basis of simulation analysis and research on the electromagnetic characteristics of the coupled self-interference channel. Through electromagnetic simulation evaluation and principle test verification, a set of weights corresponding to the center frequency of the wideband signal can be used to achieve interference suppression greater than 114 dB in the active transmission domain.

Index Terms: Phased array, self-interference suppression, simultaneous transmit and receive, widebandsignal.

I. INTRODUCTION

Radio systems, including radar, communication, and various electronic warfare support measures, mainly use half-duplex (HD) mode with transmit and receive functions. In order to effectively utilize time, frequency, and spatial resources, with the development of radio hardware systems, especially adaptive signal processing, innovative full-duplex (FD) methods have been proposed to compensate for the shortcomings of HD. Although FD can bring many benefits, a serious problem in its practical implementation is that the transmitter and receiver will generate strong self-interference when operating simultaneously, which will cause serious interference to the receiver and prevent it from receiving stimulating signals from remote transmissions or returning weak signals [1].

The goal of FD technology is to simultaneously transmit and receive at the same frequency band at the same time. In this case, the radio frequency system not only receives the signal of interest, but also receives the transmitted coupling or leakage signal, which becomes the basic problem of simultaneous transmission and reception in radio systems. Therefore, the self-interference signal strength at the receiving end must be sufficiently reduced to ensure that the transmission of the radio system itself will not interfere with its normal reception of the signal of interest. Especially for phased array systems with multiple transceiver units, the self-interference component and amplitude will be significantly higher than traditional radio frequency systems [2, 3].

For the rate improvement problem of communication wireless networks, Chen et al. studied the comprehensive optimization of FD and transmit (Tx) and receive (Rx) phased arrays under the conditions of minimizing beam gain loss and maximizing rate gain [4]. In addition, for broadband interference suppression, Chen et al. used frequency domain equalization (FDE) technology to design and implement a radio frequency canceller with integrated circuit. Venkatakrishnan et al. proposed a four-level array self-interference cancellation including cross-polarization, especially in the 500 MHz range, and achieved an average 25 dB RF cancellation by using a multi-tap filter [5]. Kolodziej et al. proposed an RF canceller architecture with multiple non-uniform pre-weighted taps to improve system isolation by eliminating direct antenna coupling and multipath effects including typical interfering channels [6]. Adaniya studied the problem of wideband interference cancellation, and tested and compared the performance and computational complexity of severalmethods [7].

Through a comprehensive analysis of relevant literature, we can see that, different from the conventional self-interference elimination of single-carrier frequency or narrowband signals, the elimination of wideband self-interference signals requires more degrees of freedom in multi-domain dimensions such as transmission domain and digital domain. Based on previous research work [8], this paper analyzes the transmission domain coupling coefficient characteristics of wide-width self-interference signals. A transmission domain interference suppression model, optimization method and approximate processing method for wideband signal are proposed, and the effect of multi-domain cascade self-interference elimination is evaluated by principle examination.

This paper is structured as follows. Section II introduces the array coupling self-interference cancellation model for wideband signal. The electromagnetic modeling simulation and experimental verification for wideband signal is given in sections III and IV. Section V summarizes the paper and prospects the future work.

II. ANALYSIS OF COUPLING SELF-INTERFERENCE CHARACTERISTICS OF WIDEBAND PHASED ARRAY

According to previous research work [8, 9], the self-interference channel characteristics [H(f)]M×N directly determine the complexity of coupled self-interference and the feasibility of suppression methods. Due to the complex three-dimensional structure of the actual array antenna, the simple near-field model is not strict and accurate to characterize the coupling interference of the array system. In order to better simulate the channel characteristics of the coupling interference between the transmitting unit and the receiving unit in the experimental array, we introduce an array electromagnetic model based on Ansoft HFSS (high-frequency structure simulator). HFSS uses the finite element method to calculate the S-parameter matrix Sf and the full-wave electromagnetic field of any array antenna configuration.

The p-th row and q-th column of the Sf matrix are represented asSf(p,q), (p,q=1,2,,P), which represents the coupling relationship between the p-th and q-th elements in the array. P is the total number of elements in the array. Based on the S-parameter matrix Sf, we define the element H(m,n,f) the of the array in m-th row and in the n-th column of the interference channel characteristic matrix [H]M×N, as:

H(m,n,f)=qnTnSf(m,qn)
(n=1,2,,N;m=1,2,,M) (1)

where qn is the unit number of the sub-array set for transmitting and/or receiving in the entire array, Tn is the unit set corresponding to the transmitting sub-array, N is the number of units of the transmitting sub-array, and M is the number of units of the receiving sub-array. Based on the self-interference coupling model proposed above, we first construct an electromagnetic model and a digital model for the practical array system, conduct design simulation verification through digital methods, and use it for subsequent principle experiment verification and evaluation. In this work, we take the 30(T)×10(R) array antenna as the example, and study the interference characteristics of two modes, i.e. the separate and the same aperture for transmission and reception.

images

Figure 1: Illustrative model and physical array antenna used for interference characteristics analysis: (a) HFSS EM model of the used array antenna (T: Transmitting element, R: Receiving element), (b) practical testing array antenna, and (c) digital model of the array antenna (T: Transmitting element, R: Receiving element).

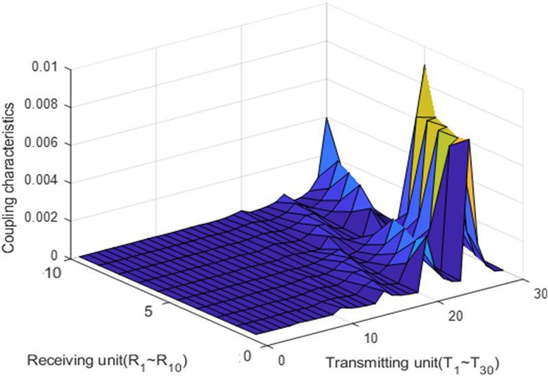
When the separate sub-aperture transmission and reception work simultaneously, the transmission sub-array can be transmitted according to a certain beam-shaping weights, and the receiving sub-array can be simultaneously received according to a certain receiving beam-shaping weights. The arrangement of the phased array antenna in this mode is shown in Fig. 1, and the power of each transmitting component is set to 30 dBm, which can be controlled by the joint weights of amplitude and/or phase. By analyzing the self-interference coupling coefficients characteristics of the 30(T)×10(R) array antenna as shown in Fig. 1, the simulation coupling power at the receiving array elements can be obtained as shown in Fig. 2.

images

Figure 2: Distribution characteristics of the coupling self-interference power for simultaneous transmission and reception with the separate sub-apertures array antenna.

images

images

images

images

Figure 3: Simulation results of coupling interference characteristics of array antenna at different frequencies: (a) 10 GHz, (b) 9.8 GHz, (c) 10.2 GHz, (d) 9 GHz, and (e) 8 GHz.

On the basis of the above analysis of the coupling characteristics of the phased array transmission and reception at a single frequency, in order to evaluate the feasibility of applying wideband signals in the simultaneous transmission and reception of the phased array system, we analyzed the antenna array at different frequencies. The electromagnetic coupling model of 12 GHz, 11 GHz, 10.4 GHz, 10.2 GHz, 10 GHz, 9.8 GHz, 9.6 GHz, 9 GHz, 8 GHz and other different frequencies are studied. The interference characteristics of array coupling are shown in Fig. 3.

images

Figure 4: Variation of (a) self-interference cancellation performance and (b) beam gain performance for different frequencies based on the central frequency coupling characteristics.

From the above analysis and comparison, it can be seen that the coupling interference characteristics of phased array systems at different frequencies are different. In the coupling interference suppression optimization model proposed by us, the optimization method based on single frequency coupling characteristics is not strict. To this end, we further propose the precise beam control of wideband signals by configuring each channel as an adaptive filter with multiple taps. The cancellation performance is analyzed by simulating a set of weight coefficients corresponding to a single frequency coupling feature on a certain bandwidth basis, as shown in Fig. 4. In the phased array system architecture, the approximate optimal suppression of wideband coupled interference signals is realized.

III. PHASED ARRAY SELF-INTERFERENCE COUPLING MODEL OF WIDEBAND SIGNAL

As described above, the self-interference suppression method of the phased array system forms a null zero point at the position of the receiving/transmitting unit by adjusting the transmitting/receiving beamforming weights. In the case of conventional single-point frequency signal applications, each transmitting/receiving unit of the array antenna has only two adjustable quantities of amplitude and phase, and single-point frequency or narrowband signals can use the above methods. However, for broadband signals, signals with different frequency components have different responses to fixed phase shifts or delays, and beamforming of the array will have certain difficulties. For this reason, a wideband signal beamforming optimization model and method is proposed, that is, a multi-tap adaptive filter is used on each channel to solve the problem of broadband signal application. This method has the same principles of transmission and reception. Figure 5 shows an example of broadband signal transmission.

images

Figure 5: Schematic diagram of broadband signal beamforming principle of phased array antenna.

For the coupling interference suppression at a receiving unit position, take the coupling interference suppression of the m-th receiving unit with N transmitters as an example, and the following method is adopted.

For broadband signal applications, each transmitter corresponds to an adaptive filter, and its weight wn=[wn,1,wn,2,,wn,J] acts on the reference input x(k), (n=1,2,,N) represents N transmitters, and J is the number of filter taps. Under the phased array antenna system, the reference input is the same for all transmitters, and the weight of each transmitter adopts different values through optimization and shaping. In any system that uses a transmit filter, the transmit signal from the n-th transmitter is:

tn(k)=wnx(k), (2)

where means convolution. The transmitted signal reaches the receiving unit through coupling transmission, during which it may go through the propagation process of different paths such as reflection, diffraction, and scattering. The entire sets of gain and delay caused by these effects are set as the transfer function vector [hm,n]C×1 from the transmitter to the receiver. Among them, the subscripts n and m represent the channel characteristics from the n-th transmitting unit to the m-th receiving unit, and C represents the order of the coupling interference channel. In a system with N transmitting units, the signal ym(k) at the m-th receiving unit is expressed as:

ym(k)=n=1Nhm,nwnx(k). (3)

Considering the K-bit input signal, the above relation is expressed as a vector:

ym=n=1Nhm,nwnx. (4)

The above-mentioned convolution relationship is expressed by matrix multiplication as:

ym=AmWm, (5)

where Wm is the vector of all weight values of N transmitters to the m-th receiving unit, Am is derived from x=[x(II.),x(2),,x(K)]T, and hm,n. The two matrices are expressed as:

Wm=[w1,1w1,JwN,1wN,J]T(NJ×1), (6)
Am=
[Hankel(Hankel(x)hm,1):   :Hankel(Hankel(x)hm,N)]((K+C+J-2)×NJ), (7)

where Hankel(x) represents the Hankel matrix composed of vector x:

Hankel(x)=
[x[1]00x[2]x[1]00x[C]x[C-1]x[2]x[1]x[K]x[K-1]x[K-C+2]x[K-C+1]00x[K]x[K-1]000x[K]](K+C- 1)×C (8)

Based on the matrix product representation of the received signal, the received signal power is:

pym=1KWmHAmHAmWm. (9)

In order to ensure that the output power remains constant while the transmit array weights are optimized, without loss of generality, the constraint condition of the weights is set to WmHWm=1, then the optimization model is:

argminWm(pym=1KWmHAmHAmWm). (10)
s.t.{WmHWm=1

Inspired by the concept of Rayleigh quotient, the optimal weight vector Wm,opt is the eigenvector corresponding to the smallest eigenvalue of WmHWm. Set Bm=AmHAm, according to the concept of Rayleigh quotient, minR(Bm,Wm)=λmin(Bm), where λmin(Bm) is the minimum eigenvalue of Bm, and the optimal weight vector Wm,opt is the eigenvector corresponding to the minimum eigenvalue of Bm.

IV. PRINCIPLE EXPERIMENT AND TEST EVALUATION

On the basis of the previous work [8, 9], in order to evaluate the performance of the wideband self-interference suppression method, we use an experimental array antenna consisting of 30 transmitting units and 10 receiving units. Passive spatial attenuation in transmission domain and RF domain is combined with active adaptive beamforming, and adaptive recognition filter cancellation method is adopted in digital domain. The test signal is a wideband linear FM wave signal. The transmitted signal of the array antenna is recorded as the reference signal to suppress interference, and the received signal of the receiving unit is recorded as the interference signal to be cancelled. The architecture and schematic diagram of the experimental system are shown in Fig. 6.

images

images

Figure 6: (a) Block diagram of the principle experiment architecture and (b) schematic diagram of interference cancellation principle experiment scene.

images

Figure 7: Experimental results of wideband signal coupling self-interference multi-domain joint cancellationprinciple.

In our staged proof-of-principle experiment, for wideband signals with an instantaneous bandwidth of 50 MHz, the corresponding comprehensive interference suppression is about 29.4 dB, 40.9 dB and 114.5 dB after passive spatial transmission interference suppression, active beamforming optimization interference suppression and digital domain adaptive identification interference cancellation, as shown in Fig. 7.

V. CONCLUSION

On the basis of electromagnetic modeling and digital modeling analysis of the coupling interference characteristics between phased array antenna elements when wideband signals are applied, this paper proposes a self-interference cancellation model and approximation method for wideband signals simultaneously. The cancellation method and its process are processed according to the transmission and coupling characteristics of the RF interference signal, and can be applied to the self-interference cancellation requirements of different frequency bands and different functions.

REFERENCES

[1] J. P. Doane, “Simultaneous transmit and receive with digital phased arrays,” in Proceedings of IEEE International Symposium on Phased Array Systems and Technology, pp. 1-6, 2016.

[2] R. Chen, F. Li, J. Tang, X. Liu, J. Li, and X. Chen, “A diagnosis method for radio frequency channels of wireless devices without cable connections,” IEEE Transactions on Antennas and Propagation, Dec. 2023.

[3] Y. Wang, H. Pei, W. Sha, Y. Huang, and A. Kishk, “MIMO performance enhancement of MIMO arrays using PCS-based near-field optimization technique,” Science China: Information Sciences, vol. 66, no. 6, June 2023.

[4] T. Chen, M. Baraani Dastjerdi, J. Zhou, H. Krishnaswamy, and G. Zussman, “Wideband full-duplex wireless via frequency-domain equalization: Design and experimentation,” in Proc. ACM MobiCom’19, 2019.

[5] S. B. Venkatakrishnan, E. A. Alwan, and J. L. Volakis, “Wideband RF self-interference cancellation circuit for phased array simultaneous transmit and receive systems,” IEEE Access, vol. 6, pp. 3425-3432, 2018.

[6] K. E. Kolodziej, J. G. McMichael, and B. T. Perry, “Multitap RF canceller for in-band full-duplex wireless communications,” IEEE Transactions on Wireless Communications, vol. 15, no. 6, pp. 4321-4334, 2016.

[7] H. L. Adaniya, “Wideband active antenna cancellation,” Master’s thesis, Massachusetts Institute of Technology, 2008.

[8] J. Zhang and H. Wu, “Simultaneous transmit and receive phased array system architecture and prototype comprehensive verification,” Applied Computational Electromagnetics Society (ACES) Journal, vol. 37, no. 12, pp. 1257-1264, May 2023.

[9] J. Zhang and J. Zheng, “Prototype verification of self-interference suppression for constant-amplitude full-duplex phased array with finite phase shift,” Electronics, vol. 11, no. 3, p. 295, 2022.

BIOGRAPHIES

images

Jie Zhang received his Ph.D. degree from the School of Information Science and Engineering of Southeast University in 2006. He joined Nanjing Research Institute of Electronics Technology in 2006. His research interests include radar system technology, simultaneous transmitting and receiving, and radar waveform design.

images

Hongchao Wu received the B.E. and Ph.D. degrees in communication engineering from Southeast University, Nanjing, China, in 1999 and 2006, respectively. He joined Nanjing Research Institute of Electronic Technology in 2006. His research interests include solid-state active phased array antenna and digital array antenna.

images

Lianqing Yu is Senior engineer, mainly engaged in radar system design and information processing. In the past two years, he has mainly engaged in the design and research of Integrated Sensing and Communications (ISAC). He has also used centimeter wave 5G base stations for the first time in China to achieve detection and stable tracking of unmanned aerial vehicles, and has published more than 10 papers.

ABSTRACT

I. INTRODUCTION

II. ANALYSIS OF COUPLING SELF-INTERFERENCE CHARACTERISTICS OF WIDEBAND PHASED ARRAY

III. PHASED ARRAY SELF-INTERFERENCE COUPLING MODEL OF WIDEBAND SIGNAL

IV. PRINCIPLE EXPERIMENT AND TEST EVALUATION

V. CONCLUSION

REFERENCES

BIOGRAPHIES