Techno-economic Analysis of Renewable-based Stand-alone Hybrid Energy Systems Considering Load Growth and Photovoltaic Depreciation Rates

Haipeng Guan1, Yan Ren1,*, Qiuxia Zhao1 and Hesam Parvaneh2,*

1School of Mathematics and Information, Yuncheng University, Yuncheng, Shanxi, China

2Faculty of Electrical Engineering, Shahid Beheshti University, Evin, Tehran, Iran

E-mail: renyan-200@163.com; parvaneh.hesam@yahoo.com

*Corresponding Author

Received 07 March 2021; Accepted 08 March 2021; Publication 17 April 2021

Abstract

The increasing trend in power consumption, mainly due to the rapid population growth, has resulted in grid outages and low-reliability grid connections. Renewable-based hybrid energy systems are one of the emerging alternatives for traditional and low-reliability grid connections. In this paper, a stand-alone hybrid energy system is proposed for a remote residential house. HOMER software is used for the optimisation of the proposed energy system. The main contribution of the paper is focused on considering two influential parameters, such as annual load growth and photovoltaic (PV) degradation rates in the optimal planning of the hybrid energy system. Simulation results indicate that considering influential parameters more realistic results, including system configuration, total net present cost (NPC) and optimal operation of the energy sources are achievable. Total NPC of the system obtained as 70,072 US$, which shows 52,029 US$ growth in comparison to the case neglected annual load growth and PV degradation rates. The optimum configuration benefits from higher penetration of renewable energy sources (RESs). Moreover, according to the comparison made with only-grid system, the proposed hybrid renewable-based energy system saves a large number of emissions. Based on the results, around 292,049.4202 kg emissions have been saved over 25 years of the project.

Keywords: Renewable energy source, hybrid energy system, battery storage system, optimal planning, emission savings.

1 Introduction

1.1 Motivation and Scope of the Study

The number of people without access to electricity is estimated at 1.4 billion, and it is expected that 1.2 billion people may not have access to electrical energy by 2030. Majority of these people are living in low access areas such as rural or cities with very low-reliability connection grids. Sustainable energy is one of the main alternatives for electrifying such areas, which is now considered as a significant driving force in the lives of people, providing comfort and securing an adequate quality of life (Ehnberg et al. 2020). Sustainable energy is also counted as an indicator for the development of welfare and financial and commercial autonomy of each country (Cai et al. 2020; Rad et al. 2020). Population growth and the need for energy has accelerated the proliferation of renewable energy sources (RESs) (Yousefi et al. 2017). As an efficient solution for authorities to decrease the energy cost, the integration of RESs has become popular to supply the electricity demand of residents in these areas. RESs also play an important role in improving the people’s quality of life who are resident in areas with low access to electricity (Goel and Sharma 2017).

In Iran, electricity consumption is four times higher than the world average consumption, which is highly dependent on fossil fuels (Hosseini et al. 2013). Due to the rapid growth of electrical energy demand in Iran (Moshiri 2015), power systems will face several power shortages in the near future. As reported in (Fallahi 2019), due to the environmental issues such as global warming, the water volume of country’s dams are decreased significantly; hence, hydropower plants would not be able to supply the demand of consumers especially in summer. To this end, the government of Iran has decided to increase the utilisation of RESs such as photovoltaic (PV) and wind turbine (WT) systems through the use of incentives and RESs facilities. Two main incentives are low-interest loans and electricity sell-back tariff, which encourage the private sector to invest in the utilisation of RESs (Gorjian et al. 2019).

1.2 Literature Review

Optimal sizing of the electrical components as well as adopting an energy management strategy are necessary to decrease the cost of the system and restricting its negative impacts (Faraji et al. 2020). The energy management strategy is usually integrated with optimisation to guarantee the continuity of loads supply and to reduce the cost of electricity generation (Olatomiwa et al. 2016). In literature, many techno-economic studies of hybrid energy systems are available, which have employed efficient energy management strategies to optimize the capacity of components and cost of the system (Kalappan et al. 2019; Mishra et al. 2016; Jahangir and Khatibi 2019; Abdul-Wahab et al. 2020). According to (Rad et al. 2020; Sinha and Chandel 2014), HOMER (Hybrid Optimization of Multiple Energy Resources) software is one of the leading and reliable software in the field of energy systems optimisation, which provides sufficient speed and accuracy of results. In a recent study (Singh et al. 2016), researchers have compared optimisation results of HOMER software with the metaheuristic algorithms such as particle swarms optimisation (PSO) and artificial bee colony (ABC). They concluded that the simulation results of metaheuristic algorithms lead to the same system configuration as HOMER software.

Several studies are conducted for optimising stand-alone energy systems using HOMER software. In a recent study (Abnavi et al. 2019), authors proposed a hybrid energy system based on PV, WT, diesel generator (DG), and battery storage system (BSS) in the south of Iran. According to their assessments, DG decreases system cost of energy (COE); however, carbon emission produced by DG is one of the deficiencies of the proposed system. Besides, the effectiveness of the proposed system is dependent on the fuel price. Authors of (Abnavi et al. 2019) verified that utilising DGs in hybrid energy systems increases carbon emission rates notably; however, due to high installation cost of grid transmission lines in remote areas, utilising DGs may be cost-effective. In another study (Vendoti, Muralidhar, and Kiranmayi 2020), the authors proposed an off-grid PV/WT/biogas/biomass/fuel cell/BSS system for energising a cluster of villages in India. The main purpose of the study was analysing the optimum configuration of a hybrid energy system out of various configurations to fulfil the village electricity demand requirement reliably, sustainably and, continuously. According to the results, a combination of PV/WT/biogas/biomass/fuel cell/BSS is the most feasible system. The authors used historical load demand neglecting annual load growth rate. As a main component of the energy system, the PV system plays an important role in the optimal operation of the energy system. However, the authors ignored to consider PV degradation rate in the simulation. This would deviate optimisation results from the actual results in long-term planning. In similar research (Singh et al. 2021), the authors proposed an economic model including different sources of electric generation for a district in India where adequate electricity supply is not available. They found that the combination of PV/DG/BSS is the most economical configuration. It can be seen that environmental potentials of each district affect the configuration of the system. As illustrated in the village energy profiles, wind potentials of the district are lower than the solar potentials, which makes the PV system ssuperior electricity generation technology. Also, total NPC and COE of the system is achieved as 510,329 US$ and 1.294 US$/kWh. Since the authors did not consider two influential parameters, i.e. annual load growth and PV degradation rates, optimisation results including total NPC and optimal capacity of components may not be in accordance to the actual values considering a realistic annual load growth and PV degradation rates. In (Olatomiwa, Mekhilef, Huda, and Ohunakin 2015), a hybrid energy system based on PV/WT/BSS/DG/converter is investigated for rural electrification of six Nigerian geo-political zones. It was found that the hybrid PV/DG/BSS configuration is the most efficient solution to the optimisation problem regarding the economic and technical performance of the system. On the contrary, DG-only system has the worst financial results with COE of 1.075 US$/kWh and 58,362 kg of CO2 emission per year. Moreover, WT is not economically feasible due to the poor wind energy potential in all geo-political zones. Two types of energy systems, namely, hybrid renewable-based energy system and DG-only energy system, have been compared in (Olatomiwa et al. 2015). The study has been conducted in a rural area in Nigeria. Optimisation results indicated the advantages of hybrid renewable-based energy system over DG-only energy system. The total amount of produced emissions, as well as NPC of the system, is reduced. In (Hossain et al. 2017), optimisation of a large resort centrally located in the South China Sea, Malaysia has been conducted. Similar to previous studies (Olatomiwa et al. 2015; Olatomiwa et al. 2015), it was found that hybrid renewable-based energy system decreases the cost of the system and emission production by the DG system. However, none of the mentioned studies above considered annual load growth and PV degradation rates in their simulations. It is clear that different results for NPC and capacity of the component could be achieved under consideration of two influential parameters, i.e. annual load growth and PV degradation rates. In another study (Abbaszadeh et al. 2020), Abbaszadeh et al. investigated the modelling of a stand-alone hybrid energy system including PV, WT, and gas generator for providing electrical load demand of a residential complex in Tehran, Iran. This study concluded that utilising WTs in hybrid energy systems diminish fuel consumptions as well as emission produced by gas generators. Nevertheless, the net present cost (NPC) of the system would increase simultaneously. Other studies are also available in the literature that investigated the performance of grid-connected hybrid energy systems in different regions of Iran. In (Baneshi and Hadianfard 2016), the authors investigated the feasibility of hybrid DG/WT/PV/BSS systems for non-residential large energy consumers in Shiraz. They stated that grid-connected hybrid energy systems produce carbon emission more than off-grid hybrid energy systems. This is mainly due to grid transmission emissions. On the other side, grid-connected energy systems are more profitable than off-grid systems. In (Sadat et al. 2020), authors analysed grid-connected hybrid energy systems based on PV, WT, and BSS in eight climate zones of Iran. They considered incentives and electricity pricing proposed by the Ministry of Energy (MOE) of Iran. According to the optimisation results, utilising BSS in grid-connected operation mode is not economically feasible. They stated that even under higher incentives rates, it is not economical to implement BSS.

1.3 Contributions

Even though many studies conducted investigations into optimal planning of stand-alone hybrid energy systems in Iran, the majority of them neglected to consider load growth and PV depreciation rates in their simulations. According to (P. Azadi 2017), the demand for electrical energy is rising due to the population growth in Iran. Therefore, to conduct an accurate techno-economic analysis, it is essential to consider the load growth rate in simulations. Moreover, PV modules typically degrade each year depending on environmental conditions (Dhimish and Alrashidi 2020); hence, considering PV module degradation rate will increase the accuracy of the optimisation results.

In this paper, by considering load growth and PV module annual degradation rate, a renewable-based stand-alone hybrid energy system is proposed based on PV, WT, BSS, and converter for a region with low-access to electricity in Tehran, Iran. Three case studies are conducted to analyse the effectiveness of the proposed method. In the first case study, optimal system configuration is presented neglecting load growth and PV degradation rates. In the second case study, these two critical system parameters are taken into account to show the meaningful differences in the optimisation results. Finally, to emphasise the emission savings of the proposed renewable-based hybrid system, a comparison has been made with the traditional grid-only system in the third case study.

1.4 Organisation of the Study

The rest of the paper is organised in the following way. In Section 2, the structure of the proposed hybrid energy system, including mathematical modelling of the components and objective function is described. In Section 3, all essential input data of the components and decision parameters are provided. In Section 4, case studies are introduced, and optimisation results are discussed. Also, a comparison has been made with previous studies. Section 5 concludes the paper.

2 Structure of Stand-alone Hybrid Energy System

The aim of this study is to analyse the effects of load growth and PV degradation rates on the optimisation results, which have been neglected in many recent studies. Figure 1 shows the structure of the proposed stand-alone hybrid energy system. Different electrical components are used in the structure of the system, including PV, WT, BSS, and bi-directional converter.

images

Figure 1 The architecture of the proposed stand-alone hybrid energy system.

2.1 Objective Function (OF)

Optimal energy system configuration would be obtained by minimising life-cycle cost of the energy system. Figure 2 indicates the process of the optimisation by HOMER. Annual cost of the system is calculated as (1) (Sadat et al. 2020).

OF=Min(CNPC.CRF(i,Rproj)) (1)

CNPC is total net present cost (NPC) of the system. Equation (2) shows the considered system costs, including capital cost, O&M cost, replacement cost, respectively.

CNPC=jCcap+CO&M+Crep (2)

CRF(i,Rproj) is recovery factor which is calculated as Equation (3). In this equation, f is the real discount rate (%), and N is the project lifetime (yr).

CRF(i,Rproj)=f(1+f)N(1+f)N-1 (3)

images

Figure 2 Flowchart of the optimisation process in HOMER.

2.2 PV Unit Model

PV systems are used for generating electricity by transforming energy from the sun into a flow of electrons using the photovoltaic effect. Due to the great potential of solar energy of Iran, the PV system is used in the proposed hybrid energy system. PV modules usually degrade each year based on the type of technology. Therefore, the annual PV degradation rate is considered in this study to have an accurate assessment of the performance of the system. To calculate the output power of the PV unit on i-th day at hour t, the following equation is used in this study (Faraji et al. 2019).

PPVi,t=ηm×ηconv×Am×Gri,t×(1-βr(Tci,t-Tr)) (4)

Where, ηm and ηconv are the PV module and the converter efficiencies. Am is the surface of the PV module (m2), Gri,t describes total solar radiation (W/m2), Tci,t is the PV cell temperature, Tr represents reference temperature, and βr indicates the thermal factor. The output energy of the PV unit is described in Equation (5). In this equation, Δt presents the time interval of the simulation.

EPVi,t=PPVi,t×Δt (5)

2.3 WT Unit Model

WT systems are used for converting wind power to electrical power (Faraji et al. 2020). Several wind farms have been built by MOE of Iran, which indicate the importance of wind power plants for Iranian authorities. In this paper, small scale WT is used in the structure of the proposed hybrid energy system. The following equations are used for modelling the WT unit (Shahinzadeh et al. 2016):

PWTt ={a×(Vt)3-b×PRVciVVrPRVrVVco0VciVVr (6)
EWTi,t =PWTt×AWT×ηWT (7)

In (6), Vt represents the wind speed; a and b show parameters of the WT; PR is rated power of WT; Vci, Vco and, Vr present cut-in, cut-out and rated wind speed of the WT system respectively. In (7), ηWT and AWT indicate the efficiency and swept area of WT, respectively.

2.4 BSS Unit Model

BSS is used as a backup energy source in the stand-alone hybrid energy system. In other words, BSS is charged during the abundant generation of RESs and is discharged when RESs are not able to provide sufficient power for consumers’ usage (Faraji et al. 2020). In this study, BSS plays an important role in minimising the capacity shortage by the consumer. In many studies such as (Sadat et al. 2020), it has been shown that utilisation of BSSs is not economically feasible in grid-connected mode. This is mainly due to the minimum interaction of the BSS in grid-connected mode. BSS output energy is calculated according to Equation (8) (Faraji et al. 2019).

EBSSi,t=VBSS×CBSS×(SOCi,t-1-SOCi,t) (8)

Where, VBSS is nominal BSS voltage; CBSS shows nominal BSS capacity (Ah); SOCi,t indicates the state of charge (SOC) of BSS on i-th day at hour t.

2.5 Converter Unit Model

Bi-directional converters are used for converting ac/dc and dc/ac currents in hybrid energy systems. More information about converters is available in (Shahbazi and Khorsandi 2017). The output power of converter is achieved by considering the converter efficiency in input power of converter, as shown in (9):

Econv,outi,t=Econv,ini,t×ηconv (9)

3 System Inputs

3.1 Site Location

Site location of the understudy energy system is shown in Figure 3. The site is located in the north of Tehran, Iran. The site has sufficient space for installing RESs and other system components. The reliability of grid transmission is low in this location; hence, a stand-alone hybrid energy system is considered for further analyses.

images

Figure 3 Site location of understudy hybrid energy system.

3.2 Electrical Load Data and Annual Load Growth

Figure 4 shows the considered load demand for a year (Sadat et al. 2020). As can be seen, peak load occurs in summer months (e.g. June, July, August). This is because of the hot weather and the need for cooling appliances in summer. According to assessments by Ghorat et al., an increase of 7% per year in load is optimistically expected in next years (Ghorat et al. 2015). Therefore, we have considered 7% load growth per year in the planning horizon accordingly.

images

Figure 4 Yearly electricity load data.

3.3 Weather Data

It is possible to import weather data from the HOMER software environment. Therefore, NASA Surface Meteorology available in HOMER software is used for obtaining weather data such as solar irradiance, temperature, and wind speed (Faraji et al. 2019). Figure 5 shows the imported weather data for the understudy location. It can be observed that the level of daily temperature, as well as solar irradiance, increase in the summer months of the year. Wind speed has a similar trend like daily temperature during the year. However, the average value of wind speed increases with a gentle slope compared to temperature.

images

Figure 5 Weather data used for simulations (a) solar irradiance; (b) temperature; (c) wind speed.

3.4 System Economic and Technical Data

One of the essential steps in conducting simulations by HOMER software is importing technical and economic data of electrical components and other system parameters such as interest and inflation rates. Table 1 shows all the necessary technical and economic data used in simulations. The mentioned technical and economic data in Table 1 is imported from a recent study (Sadat et al. 2020). Besides, average five years inflation and interest rates, as well as project lifetime, are considered as 16.18%, 18%, and 25 years, respectively (Sadat et al. 2020). In addition, the annual capacity shortage is considered 10% according to consumer preference. PV degradation rate is also considered as 1%/year (Jordan et al. 2016).

Table 1 Technical and economic data for hybrid system equipment (Sadat et al. 2020)

Equipment Specification
PV
Temperature Coefficient -0.380
Operation Temperature 45C
Efficiency 16.25 %
Lifetime 25 yrs
Capital Cost 350 $/kW
Replacement Cost 350 $/kW
Operation & Maintenance 10 $/yr
Degradation 1 %/year
WT
Rated power 1 kW
Rated wind speed 12.5 m/s
Start-up wind speed 2.5 m/s
Rated voltage 24/48 V
Capital Cost 725 $/kW
Replacement Cost 725 $/kW
Operation & Maintenance 10 $/yr
BSS
Nominal voltage 12 V
Quantity 20
Nominal capacity 1 kW
Initial state of charge 100 %
Minimum state of charge 20 %
Lifetime 10 yrs
Capital Cost 124 $/qty
Replacement Cost 124 $/qty
Operation & Maintenance 10 $/yr
Converter
Efficiency 95 %
Lifetime 15 yrs
Capital Cost 137.50 $/kW
Replacement Cost 137.50 $/kW
Operation & Maintenance 10 $/kW

4 Results and Discussion

In order to investigate the effects of load growth and PV degradation rates on the optimisation results of the understudy hybrid energy system, three case studies are introduced as follows.

• Case 1: optimal planning of the hybrid energy system without considering load growth and PV degradation rates.

• Case 2: optimal planning of the hybrid energy system considering load growth and PV degradation rates.

• Case 3: only-grid system considering the load growth rate.

Cases 1 and 2 emphasise on the techno-economic aspects of the understudy hybrid energy system. However, Case 3 focuses on environmental issues such as carbon emission production due to transmission expansion.

4.1 Case 1

In this case study, the proposed hybrid energy system is optimised by neglecting annual load growth and PV degradation rates. Table 2 shows optimisation results based on technical and economic inputs. As can be seen, configuration 1 has the least total NPC (18,043 $) and is chosen as the optimum system configuration by HOMER software. The optimum energy system includes WT (5 kW), BSS (10 quantities) and the converter (5 kW). The third configuration integrates both PV and WT units; however, it is not resulted in the optimum system configuration due to the higher initial cost of the system. Nevertheless, the capacity shortage of the third configuration is less than the other configurations. This is due to the higher renewable penetration of integrated PV/WT units.

Table 2 Technical and economic data for hybrid system equipment

PV WT BSS Converter COE NPC Initial cost Capacity
Config. (kW) (qty) (qty) (kW) (US$/kW) (US$) (US$) shortage (%)
Config. 1 0 5 10 5 0.125 18,043 7,062 8.86
Config. 2 10 0 20 5 0.131 19,080 8,612 5.41
Config. 3 5 5 10 5 0.153 23,067 8,875 1.34

According to Figure 6(a), more electricity is generated by WT unit during the summer months. This is due to the higher wind speed in summer. In addition to WT unit, the BSS also plays an important role in supplying consumer’s load demand. Based on Figure 6(b), the BSS is charged during the hours with surplus power by the WT system and is discharged in periods with a lower output power of the WT system. In this regard, the BSS has more interactions when the total generated power by WT is not sufficient for supplying consumer’s load demand. Therefore, the integration of BSS minimises the consumer’s unmet load when the WT is not able to provide the load demand adequately.

images

Figure 6 Optimisation results for (a) WT unit output power; (b) BSS state of charge during a year.

4.2 Case 2

In the previous case study, a typical optimisation is performed to find the optimum configuration based on the minimum total NPC of the system. The approach was used in many recent studies, such as (Sadat et al. 2020; Rad et al. 2020). In the current case study, two influential parameters, such as load growth and PV degradation rates, are considered. Simulations are conducted by considering 7 %/yr and 1 %/yr rates for load growth and PV degradation rates. Table 3 shows the details of the optimisation results for the understudy hybrid energy system. As can be observed, the optimal system in this case study is comprised of PV/WT/BSS and converter, which is ordinary due to the increase of load consumption rate. Generally, the optimal capacity of components is calculated regarding the consumer’s load demand during the optimisation horizon (25 years). Therefore, the overall capacity of components and accordingly, the initial cost of the system is increased to supply the consumer’s load demand according to the capacity shortage. It can be observed that due to the higher penetration of RESs, no capacity shortage has occurred for any of the system configurations. More importantly, total NPC of the optimal hybrid energy system configuration is achieved as 70,070 US$, which is significantly higher than the previous case study, where load growth and PV degradation rates were neglected.

Table 3 Technical and economic data for hybrid system equipment

PV WT BSS Converter COE NPC Initial cost Capacity
Config. (kW) (qty) (qty) (kW) (US$/kW) (US$) (US$) shortage (%)
Config. 1 15 15 50 10 0.194 70,072 27,837 0
Config. 2 25 10 60 10 0.197 70,916 29,387 0
Config. 3 15 15 60 10 0.200 72,500 29,387 0

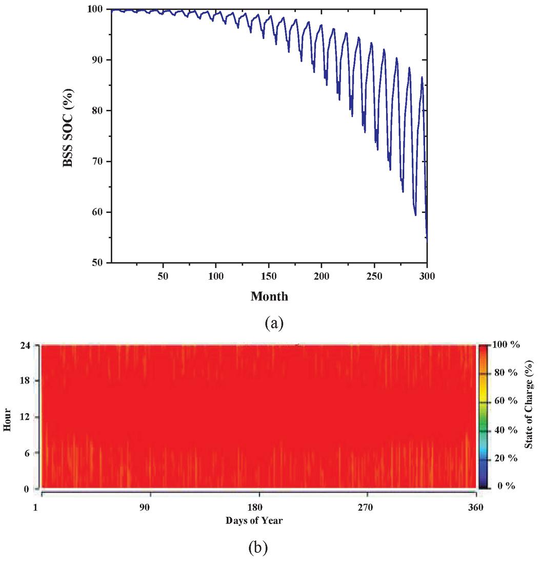
As mentioned above, PV degradation cost has been considered in this case study. Figure 7 shows multiyear optimisation results for different variables such as the output power of the PV unit, electrical load demand and unmet electrical load demand over the 300 months of the optimisation period. As expected, the output power PV unit is decreased over the years by considering the corresponding degradation rate. On the other hand, the yearly load demand has been significantly increased under the defined load growth rate. As illustrated in Figure 7(c), nonlinear growth in yearly load demand has resulted in the occurrence of unmet load demand from 16th year to the end of the optimisation year. The utilisation of the BSS as an emerging source of energy minimises the unmet load. According to Figure 8(a), the BSS participation in providing curtailed load demand is significant as we approach the last ten years. The reason is in lower production of the PV unit in those years; however, BSS does not participate in the provision of load demand at the initial years. Figure 8(b) shows the BSS state of charge (SOC) over the first optimisation year. As can be seen, adequate electricity generation by RESs, especially PV system, has resulted in minimum participation of the BSS in the daily operation. According to Figure 8(b), the BSS is charged mainly from 11:00 to 16:00. It is also discharged when the generated electricity by the PV system is reduced, especially from 24:00 to 9:00.

Considering annual load growth and PV degradation rates would give more actual results as described above. Total NPC and the cost of energy (COE) of the system are increased. Also, the optimum configuration confronted with significant changes compared to Case 1. This shows the importance of considering annual load growth and PV degradation rates in the optimisation process, which effectively changes results.

images

Figure 7 Monthly optimisation results of (a) PV output power; (b) Electrical load demand; (c) Unmet electrical load demand.

images

Figure 8 BSS state of charge over (a) the planning horizon (25 years); (b) the first year of the planning.

4.3 Case 3

In this case study, the environmental merits of the proposed hybrid RESs-based system in Case 2 are analysed. RESs such as PV and WT units are known as zero-carbon energy sources. The proliferation of RESs, despite other techno-economic benefits, decreases carbon emission production by conventional power plants. To understand how much emission is saved by utilising RESs-based hybrid energy system, this case study introduced. In this regard, an only-grid energy system is established for further investigation. Grid emissions are calculated by considering pollutants such as carbon dioxide (CO2), sulfur dioxide (SO2), and nitrogen oxides (NOx) with their corresponding values as 632 g/kWh, 2.74 g/kWh, 1.34 g/kWh, respectively. The values of pollutants belong to Iranian grid emission, as described in the recent study (Faraji et al. 2019).

The architecture of the only-grid system is shown in Figure 9(a), which is consisted of the utility grid and consumer’s load demand. As mentioned before, the consumer is connected to a low-reliability grid, which results in grid outages over a year. Figure 9(b) shows grid outages over a year, which indicates the poor accessibility to the grid.

images

Figure 9 (a) architecture of only-grid energy system; (b) grid outages over a year.

Multiyear emission productions by the only-grid system are illustrated in Figure 10. According to the results, a large number of emissions are produced over the years. A nonlinear increase in emission production can be seen, which drastically affects global warming. The total amounts of produced CO2, SO2, and NOx emissions are calculated as 290176.1314 kg, 1258.0420 kg, and 615.2468 kg, respectively. RESs are used as one of the most effective solutions to overcome the concerns about global warming. RESs have received considerable attention in recent years. According to the results, 292,049.4202 kg emissions are saved by utilisation of RESs over 25 years of the project.

images

Figure 10 Multiyear emissions production by only-grid system (a) CO2 emissions; (b) SO2 emissions; (c) NOx emissions.

The optimum hybrid energy system proposed in the second case study is the most appropriate energy system. The proposed PV/WT/BSS energy system resulted in technical, economic and environmental merits. Since the annual load growth and PV degradation rates have been neglected in Case 1, optimisation results are not based on the actual state of the system. Therefore, more reliable results are provided considering optimum system configuration in the second case study.

Optimisation results of the proposed method of this study could be compared with those of other studies in order to emphasise the importance of considering annual load growth and PV degradation rates. In this regard, the authors of (Sadat et al. 2020) conducted a techno-economic analyse of the grid-connected hybrid energy system in ten cities of Iran, including Tehran. They found the PV-based system as the optimum system configuration. Moreover, they concluded that the utilisation of BSS is not economic in grid-connected operation mode. In our study, however, we found that by considering annual load growth and PV degradation rates, the capacity of components and penetration of RESs increase significantly. Also, utilisation of RESs in stand-alone operation mode was economically feasible, which is consistent with recent studies in (Singh et al. 2021; Hossain et al. 2017). Multiyear grid emission production analysis also indicated the merits of stand-alone energy systems in grid emission savings. Align with (Baneshi and Hadianfard 2016); this study found that by considering the annual load growth rate, a nonlinear increase can be seen in grid emission production. However, Baneshi et al. did not consider the annual load growth rate to observe nonlinear emission production in their study, and the severe impacts of nonlinear emission productions were not highlighted as well.

5 Conclusions

In this study, a stand-alone hybrid energy system based on RESs has been proposed. Following results have been achieved according to the simulations:

• By neglecting annual load growth and PV degradation rates, optimum system configuration obtained based on WT/BSS and converter. The total NPC and COE of the system achieved as 18,043 US$ and 0.125 US$/kW, respectively. The capacity shortage was also significant in this condition (8.86%).

• Regarding both load growth and PV degradation rates led to several realistic results. The capacity of components and total NPC are increased, considering the annual load growth rate. By considering 7 %/yr load growth rate, NPC and COE of the system obtained as 70,072 US$ and 0.194 US$/kW, respectively. Also, renewable penetration increased and consequently resulted in 0% capacity shortage. Another result that claimed attention was the collaboration of the BSS in energy supplying of the system. Multiyear results show that BSS has lower collaboration in initial years because of higher penetration of RESs in these years. However, due to the consideration of the degradation rate of the PV system, BSS contributes more in the last ten years and supplies electrical load when the generated power is deficient.

• Comparing only-grid system with hybrid RESs-based energy system showed the importance of RESs in today’s energy systems. A large number of grid emissions produced (292,049.4202 kg) over 25 years of the project. Therefore, utilising RESs in hybrid energy systems would be an efficient way to deal with global warming.

Acknowledgement

This work belongs to the project “application of blockchain technology in urban power grid (NO.XK-2018030), Key Disciplines Research Programme of Yuncheng University”.

References

Abbaszadeh, Mohammad Amin, Masoud Jedari Ghourichaei, and Farzad Mohammadkhani. 2020. “Thermo-economic feasibility of a hybrid wind turbine/PV/gas generator energy system for application in a residential complex in Tehran, Iran.” Environmental Progress & Sustainable Energy n/a (n/a):e13396. doi: 10.1002/ep.13396.

Abdul-Wahab, Sabah, Yassine Charabi, Abdul Majeed Al-Mahruqi, and Isra Osman. 2020. “Is it the right time now to replace the diesel system with the natural gas system at Al Duqm in the Sultanate of Oman?” International Journal of Ambient Energy:1–9. doi: 10.1080/01430750.2020.1730957.

Abnavi, Mohammadreza Dehghan, Niyousha Mohammadshafie, Marc A. Rosen, Amir Dabbaghian, and Farivar Fazelpour. 2019. “Techno-economic feasibility analysis of stand-alone hybrid wind/photovoltaic/ diesel/battery system for the electrification of remote rural areas: Case study Persian Gulf Coast-Iran.” Environmental Progress & Sustainable Energy 38(5):13172. doi: 10.1002/ep.13172.

Baneshi, Mehdi, and Farhad Hadianfard. 2016. “Techno-economic feasibility of hybrid diesel/PV/wind/battery electricity generation systems for non-residential large electricity consumers under southern Iran climate conditions.” Energy Conversion and Management 127:233–44. doi: https://doi.org/10.1016/j.enconman.2016.09.008.

Cai, Wei, Xing Li, Akbar Maleki, Fathollah Pourfayaz, Marc A. Rosen, Mohammad Alhuyi Nazari, and Dieu Tien Bui. 2020. “Optimal sizing and location based on economic parameters for an off-grid application of a hybrid system with photovoltaic, battery and diesel technology.” Energy 201:117480. doi: https://doi.org/10.1016/j.energy.2020.117480.

Dhimish, Mahmoud, and Abdullah Alrashidi. 2020. “Photovoltaic Degradation Rate Affected by Different Weather Conditions: A Case Study Based on PV Systems in the UK and Australia.” Electronics 9(4). doi: 10.3390/electronics9040650.

Ehnberg, Jimmy, Helene Ahlborg, and Elias Hartvigsson. 2020. “Approach for flexible and adaptive distribution and transformation design in rural electrification and its implications.” Energy for Sustainable Development 54:101–110. doi: https://doi.org/10.1016/j.esd.2019.10.002.

Fallahi, E. “Iran electricity issue: should we expect blackouts again?”, Accessed 13 June, 2020.

Faraji, J., A. Ketabi, H. Hashemi-Dezaki, M. Shafie-Khah, and J. P. S. Catal o. 2020. “Optimal Day-Ahead Scheduling and Operation of the Prosumer by Considering Corrective Actions Based on Very Short-Term Load Forecasting.” IEEE Access 8:83561–83582. doi: 10.1109/ACCESS.2020.2991482.

Faraji, Jamal, Ahmadreza Abazari, Masoud Babaei, S. M. Muyeen, and Mohamed Benbouzid. 2020. “Day-Ahead Optimisation of Prosumer Considering Battery Depreciation and Weather Prediction for Renewable Energy Sources.” Applied Sciences 10(8). doi: 10.3390/app10082774.

Faraji, Jamal, Masoud Babaei, Navid Bayati, and Maryam A.Hejazi. 2019. “A Comparative Study between Traditional Backup Generator Systems and Renewable Energy Based Microgrids for Power Resilience Enhancement of a Local Clinic.” Electronics 8(12). doi: 10.3390/electronics8121485.

Faraji, Jamal, Abbas Ketabi, and Hamed Hashemi-Dezaki. 2020. “Optimisation of the scheduling and operation of prosumers considering the loss of life costs of battery storage systems.” Journal of Energy Storage 31:101655. doi: https://doi.org/10.1016/j.est.2020.101655.

Ghorat, Mohsen, Behrooz Zaker, and Gevork B. Gharehpetian. 2015. Advanced Technologies for Iran Future Power System.

Goel, Sonali, and Renu Sharma. 2017. “Performance evaluation of stand alone, grid connected and hybrid renewable energy systems for rural application: A comparative review.” Renewable and Sustainable Energy Reviews 78:1378–1389. doi: https://doi.org/10.1016/j.rser.2017.05.200.

Gorjian, Shiva, Babak Nemat Zadeh, Ludger Eltrop, Redmond R. Shamshiri, and Yasaman Amanlou. 2019. “Solar photovoltaic power generation in Iran: Development, policies, and barriers.” Renewable and Sustainable Energy Reviews 106:110–123. doi: https://doi.org/10.1016/j.rser.2019.02.025.

Hossain, Monowar, Saad Mekhilef, and Lanre Olatomiwa. 2017. “Performance evaluation of a stand-alone PV-wind-diesel-battery hybrid system feasible for a large resort center in South China Sea, Malaysia.” Sustainable Cities and Society 28:358–366. doi: https://doi.org/10.1016/j.scs.2016.10.008.

Hosseini, Seyed Ehsan, Amin Mahmoudzadeh Andwari, Mazlan Abdul Wahid, and Ghobad Bagheri. 2013. “A review on green energy potentials in Iran.” Renewable and Sustainable Energy Reviews 27:533–545. doi: https://doi.org/10.1016/j.rser.2013.07.015.

Jahangir, Mohammad Hossein, and Ali Khatibi. 2019. “Using solar energy to meet thermal demand in smart buildings due to different climate conditions: cases of Iran.” International Journal of Ambient Energy:1–13. doi: 10.1080/01430750.2019.1670260.

Jordan, Dirk C., Sarah R. Kurtz, Kaitlyn VanSant, and Jeff Newmiller. 2016. “Compendium of photovoltaic degradation rates.” Progress in Photovoltaics: Research and Applications 24(7):978–989. doi: 10.1002/pip.2744.

Kalappan, Balachander, A. Amudha, and K. Keerthivasan. 2019. “Techno-economic study of hybrid renewable energy system of Metropolitan Cities in India.” International Journal of Ambient Energy:1–5. doi: 10.1080/01430750.2019.1708791.

Mishra, Sambeet, C. K. Panigrahi, and D. P. Kothari. 2016. “Design and simulation of a solar–wind–biogas hybrid system architecture using HOMER in India.” International Journal of Ambient Energy 37(2):184–191. doi: 10.1080/01430750.2014.915886.

Moshiri, Saeed. 2015. “The effects of the energy price reform on households consumption in Iran.” Energy Policy 79:177–188. doi: https://doi.org/10.1016/j.enpol.2015.01.012.

Olatomiwa, Lanre, Saad Mekhilef, A. S. N. Huda, and Olayinka S. Ohunakin. 2015. “Economic evaluation of hybrid energy systems for rural electrification in six geo-political zones of Nigeria.” Renewable Energy 83:435–446. doi: https://doi.org/10.1016/j.renene.2015.04.057.

Olatomiwa, Lanre, Saad Mekhilef, A. S. N. Huda, and Kamilu Sanusi. 2015. “Techno-economic analysis of hybrid PV–diesel–battery and PV–wind–diesel–battery power systems for mobile BTS: the way forward for rural development.” Energy Science & Engineering 3(4):271–285. doi: 10.1002/ese3.71.

Olatomiwa, Lanre, Saad Mekhilef, M. S. Ismail, and M. Moghavvemi. 2016. “Energy management strategies in hybrid renewable energy systems: A review.” Renewable and Sustainable Energy Reviews 62:821–835. doi: https://doi.org/10.1016/j.rser.2016.05.040.

P. Azadi, A. N. Sarmadi, A. Mahmoudzadeh, T. Shirvani. 2017. “The Outlook for Natural Gas, Electricity, and Renewable Energy in Iran.” In. Stanford Iran 2040 Project.

Rad, Mohammad Amin Vaziri, Roghaye Ghasempour, Parisa Rahdan, Soroush Mousavi, and Mehrdad Arastounia. 2020. “Techno-economic analysis of a hybrid power system based on the cost-effective hydrogen production method for rural electrification, a case study in Iran.” Energy 190:116421. doi: https://doi.org/10.1016/j.energy.2019.116421.

Sadat, Seyyed Ali, Jamal Faraji, Masoud Babaei, and Abbas Ketabi. 2020. “Techno-economic comparative study of hybrid microgrids in eight climate zones of Iran.” Energy Science & Engineering n/a (n/a). doi: 10.1002/ese3.720.

Shahbazi, M., and A. Khorsandi. 2017. “Chapter 10 – Power Electronic Converters in Microgrid Applications.” In Microgrid, edited by Magdi S. Mahmoud, 281-309. Butterworth-Heinemann.

Shahinzadeh, H., M. Moazzami, S. H. Fathi, and G. B. Gharehpetian. 2016. Optimal sizing and energy management of a grid-connected microgrid using HOMER software. Paper presented at the 2016 Smart Grids Conference (SGC), 20–21 Dec. 2016.

Singh, Arpita, Omveer Singh, and Ritwik Tripathi. 2021. Modelling of a Micro-grid for Bali Village Using HOMER Software. Paper presented at the Innovations in Electrical and Electronic Engineering, Singapore, 2021//.

Singh, Shakti, Mukesh Singh, and Subhash Chandra Kaushik. 2016. “Feasibility study of an islanded microgrid in rural area consisting of PV, wind, biomass and battery energy storage system.” Energy Conversion and Management 128:178-90. doi: https://doi.org/10.1016/j.enconman.2016.09.046.

Sinha, Sunanda, and S. S. Chandel. 2014. “Review of software tools for hybrid renewable energy systems.” Renewable and Sustainable Energy Reviews 32:192-205. doi: https://doi.org/10.1016/j.rser.2014.01.035.

Vendoti, Suresh, M. Muralidhar, and R. Kiranmayi. 2020. “Techno-economic analysis of off-grid solar/wind/biogas/biomass/fuel cell/battery system for electrification in a cluster of villages by HOMER software.” Environment, Development and Sustainability. doi: 10.1007/s10668-019-00583-2.

Yousefi, Hossein, Mohammad Hasan Ghodusinejad, and Alibakhsh Kasaeian. 2017. “Multi-objective optimal component sizing of a hybrid ICE+PV/T driven CCHP microgrid.” Applied Thermal Engineering 122:126–138. doi: https://doi.org/10.1016/j.applthermaleng.2017.05.017.

Biographies

Haipeng Guan is affiliated with School of Mathematics and Information, Yuncheng University, Yuncheng, Shanxi, China. His research interests are techno-economic analysis, energy systems analysis, microgrids, microeconomics and economic planning.

Yan Ren is affiliated with School of Mathematics and Information, Yuncheng University, Yuncheng, Shanxi, Chin. His research interests are micro energy grids, techno-economic analysis, energy systems analysis, energy policy and economic long-term planning.

Qiuxia Zhao is affiliated with School of Mathematics and Information, Yuncheng University, Yuncheng, Shanxi, Chin. His research interests are micro energy grids, techno-economic analysis, renewable energy sources, energy policy and economic long-term planning.

Hesam Parvaneh is affiliated with Faculty of Electrical Engineering, Shahid Beheshti University, Tehran, Iran. He is also designer and supervisor in south of Kerman electric power distribution company. His research interests are distribution system, power electronic, optimization, renewable energy, dynamic of power system.

Abstract

1 Introduction

1.1 Motivation and Scope of the Study

1.2 Literature Review

1.3 Contributions

1.4 Organisation of the Study

2 Structure of Stand-alone Hybrid Energy System

images

2.1 Objective Function (OF)

images

2.2 PV Unit Model

2.3 WT Unit Model

2.4 BSS Unit Model

2.5 Converter Unit Model

3 System Inputs

3.1 Site Location

images

3.2 Electrical Load Data and Annual Load Growth

images

3.3 Weather Data

images

3.4 System Economic and Technical Data

4 Results and Discussion

4.1 Case 1

images

4.2 Case 2

images

images

4.3 Case 3

images

images

5 Conclusions

Acknowledgement

References

Biographies