A Critical Review on Thermo-Hydraulic Performance of Wire Screen Matrix Packed Solar Air Heaters

Prashant Verma1, Abhishek Saxena2,* and L. Varshney1

1Department of Mechanical Engineering, College of Technology, G.B. Pant University of Agriculture & Technology, Pantnagar 263 145, Uttarakhand, India

2Department of Mechanical Engineering, Moradabad Institute of Technology, Moradabad 244001, India

E-mail: culturebeat94@yahoo.com

*Corresponding Author

Received 08 May 2020; Accepted 22 February 2021; Publication 12 April 2021

Abstract

Solar air heaters (SAHs) have an important role in applications such as space heating and industrial drying worldwide. The packing of SAH bed not only increases the heat transfer area but also increases the pumping power losses thereby limiting the thermo-hydraulic performance. In the present study, efforts have been made for a critical assessment of the literature dealing with the impact of collector bed and operating parameters over thermal and thermo-hydraulic performance for different configurations of wire screen matrix packed SAH. The porosity of bed and mass flow rate of the air have a major influence on the thermo-hydraulic performance of wire screen matrix packed SAH. It is found that the enhancement in the volumetric heat transfer coefficient due to a decrease in bed porosity is obtained at the expense of increase in pumping power which ultimately affects the thermo-hydraulic performance of wire screen matrix packed SAH. In general it is observed that porosity is an important parameter that affects the thermo-hydraulic performance. It is seen that matrix having porosity 0.937 yields thermo-hydraulic performance of 68% at mass flow rate 0.023 kg/s where as for the same mass flow rate porosity of 0.887 results thermo-hydraulic performance of only 42%.

Keywords: Air heater, wire screen matrix, thermal efficiency, thermo-hydraulic performance.

1 Introduction

Energy is an essential part of the modern-day civilization and per capita energy consumption being an indicator of standard of living in the society, so there has been a steep increase in the energy demand in recent years which necessitates the increased usage of unconventional energy sources. The energy reserves available in the form of fossil fuels (crude oil, coal, nuclear, etc.) are limited and are likely to be exhausted in the years to come. There is a need for alternative energy sources which is renewable in nature like wind, solar, biomass, geothermal, etc. Out of various forms of renewable energy, the energy from sun is the most promising alternative energy resource due to its inherent advantage of easy and free availability and having non-polluting nature. Solar collectors convert the incident solar radiation into thermal energy which in turn is absorbed by the heat transfer fluid for end application. Solar water heaters and solar air heaters (SAHs) are extensively used devices in day today applications, where SAH is an effective alternative for low to moderate temperature applications and is also free from the problem of corrosion in contrast to solar water heaters. In comparison to water based collectors, the turbulence mechanism in SAH is more effective and it involves lesser maintenance cost due to absence of corrosion problems [1, 2].

Available literature and patent reports show that SAHs can be utilized for a variety of end applications ranging from drying vegetables, crops, fruits, seeds, process heating, and timber seasoning, etc. [3–9]. The basic disadvantage of conventional SAHs is their poor heat transfer capability owing to the low specific heat of the ambient air and considerable heat energy loss to the immediate surroundings. The thermal energy transfer rate can be enhanced by promoting turbulence in the heat transfer region. This disturbance can be accomplished by using various packing elements such as granular carbon and desert sand [10], hollow spheres [11], crushed glass [12], iron and aluminum chips [13], pebbles [14] and the wire screens [15–34].

Efficiency enhancement technique used in SAH includes the use of packed bed, extended geometries or corrugated surfaces as fins which increases the heat transfer area and the value of convective heat transfer coefficient (hc) due to increased turbulence at the surface and this technique is known as introducing artificial roughness over the absorber plate of solar collector [35–42]. The fabrication of a SAH with artificial roughness on large scale is economically not a viable alternative thus packed bed SAH is an effective design modification. This provides a high ratio of heat transfer to volume, high hc and energy absorption in deep region of matrix. Reduction in top layer temperature reduces the thermal losses to yield higher efficiency which gives wire screen matrix packed solar air heaters (WMPSAH) an edge in terms of thermal performance over conventional design of SAH.

Among the various packed bed SAH arrangements the WMPSAHs is an effective design to improve the thermal performance of conventional SAH, as it is easy to conceptualize, fabricate and analyze in comparison with other packed bed SAH with different packing elements. It has been observed that although many review papers are there but none has specifically focused on thermo-hydraulic performance (THP) of wire screen packed SAH. Compilation of the system and operating parameters and the effect of these parameters on the thermal and THP of SAH is considered in the present work. An effort has been made to analyze these parameters of WMPSAH and the effect of thermal and thermo-hydraulic performance has also been studied under different conditions.

2 Design Configuration of SAH

Conventionally used designs of SAH are often single pass SAH (SPSAH), SAHs duct packed with porous absorbing material, double pass SAH (DPSAH) with parallel or counter flow mode of airflow and double pass packed SAH in one of the duct with parallel or counter flow mode of airflow. All such types of SAH configurations have been discussed in the next section.

2.1 Conventional or Single Pass SAH

A conventional SAH primarily consists of a flat surface usually a blackened metal plate called the absorber plate of high absorptivity (α) for the absorption of incoming solar radiations, as shown in Figure 1. The heat transfer fluid receives thermal energy from the heated absorber plate, which is elevated at higher temperatures due to the passing of solar radiations through the glass cover and blockage of emitted infrared radiations from the absorber plate. The higher the transmittance (τ) of the glass cover the more radiation is captured by the absorber plate and transmitted energy is absorbed depending on the absorptivity (α) of the blackened absorber plate. A SPSAH duct when packed with porous absorbing materials such as wire screen matrix made up of galvanized iron, mild steel, stainless steel, copper and aluminum shows enhancement in thermal performance as compared to the conventional SAH [2].

images

Figure 1 Schematic of conventional SAH.

A WMPSAH is shown in Figure 2 which has a wire mesh screen inserted in the airflow path of the duct. The wire screen matrix provides a much larger volume to achieve a high ratio of heat transfer area to volume. The basic designs of WMPSAH that have been modified and investigated by some researchers have been listed in Table 1.

Table 1 System and operating specifications for different WMPSAHs

Bed Parameters Efficiency (%)

Type of Type of L W D P (Matrix Operating (ηth = Thermal)
Researchers Study SAH (m) (m) (mm) porosity) Parameters (ηeff = Effective)
Sharma et al. [16] Experimental SPWMPSAH 1.5 0.44 25 0.875 - 0.953 = 0.0159 – 0.0318 (kg/s m2) ηth=38-61
Ahmad et al. [17] Experimental SPWMPSAH 1.49 0.59 35 0.823 - 0.968 = 0.0138 – 0.0252 (kg/s m2) ηeff=42.2-47.8
Varshney and Saini [18] Experimental SPWMPSAH 2.39 - 25 0.887 - 0.958 = 0.01-0.03 (kg/s) -
Thakur et al. [19] Experimental SPWMPSAH 2.4 0.4 25 0.667 - 0.880 Rep = 182 - 1168 -
Paul and Saini[20] Theoretical SPWMPSAH NA NA NA 0.888 - 0.9633 NA ηeff=69.16-79.68
Mittal and Varshney [21] Theoretical SPWMPSAH 2.39 0.41 25 0.887 - 0.958 = 0.005 – 0.05 (kg/s) ηeff=38-68
Prasad etal. [22] Experimental SPWMPSAH 1.65 0.4 25 0.599 - 0.816 = 0.0159 – 0.0347 (kg/s) ηth=45.5-68.5
Ramanietal. [23] Theoretical and experimental DPWMPSAH 2.1 0.54 21 0.893 - 0.994 = 0.0139-0.062 (kg/s) ηeff=39.1-66.8
Aldabbagh et al. [24] Experimental SPWMPSAH and DPWMPSAH 1.5 1.0 - > 0.85 = 0.012 – 0.038(kg/s) ηth=45.93-83.65
Dhiman et al. [26] Theoretical and experimental DPWMPSAH 2.2 0.45 25 0.913 – 0.963 = 0.0116 – 0.0386(kg/s) ηth=55-83 ηeff=60-85
Chouksey and Sharma[27] Theoretical SPWMPSAH 1.475 0.44 8 - 45 0.883 – 0.953 = 0.0159 – 0.0318 (kg/s m2) ηth=47.51-64.58
Nowzari et al. [30] Experimental SPWMPSAH and DPWMPSAH 1.5 1.0 30 0.83 = 0.011 - 0.032 (kg/s) ηth=49.98-53.67
Verma and Varshney[31] Theoretical SPWMPSAH 1.0–7.0 0.11–1.11 10–45 0.599-0.958 = 0.01–0.05 (kg/s) ηeff=50-76
Sharma et al. [32] Theoretical SPWMPSAH 1.475 0.44 8–45 0.875–0.953 = 0.01034–0.02068 (kg/s) ηeff=47-55
Velmurugan and kalaivanan [33] Theoretical and experimental DPWMPSAH 2 0.46 25 0.9953 = 0.01– 0.04 (kg/s) ηthmax=76.46
Roy and Hoque [34] Experimental DPWMPSAH 1.6 0.85 25 NA = 0.0116– 0.0251 (kg/s) ηthmax=82.2
SPWMPSAH: Single pass wire screen matrix packed SAH, DPWMPSAH: Double pass wire screen matrix packed SAH.

images

Figure 2 Schematic of matrix type collector.

2.2 Double Pass SAH

Conventional SAHs consists of mainly a duct for air flow and a blackened absorber plate covered with a transparent glass of high transmissivity (τ) and low absorptivity (α). Thermal insulation of low thermal conductivity is introduced to reduce the heat energy losses from the outer surface of SAH from backside and edges. Voluminous investigators constructed the experimental set up to assess the effect of refinement done in the primary components of a SAH. The design of a SAH can be expanded to enhance the overall performance employing double pass airways that bifurcate the airflow streamline, thereby increasing the effective heat absorbing area and results in the reduction of thermal losses to the immediate surroundings. The different air passes configurations that are primarily in use are parallel, counter flow and recycle air pass.

images

Figure 3 Parallel flow, DPSAH.

A conventional parallel flow DPSAH without any packing medium is shown in Figure 3 in which partial air flow occurs above the absorber plate and glass cover whereas remaining air flows between the backside insulation and absorber plate. A numerous theoretical as well as experimental studies [43–46 and 47–49] have established the enhancement in performance of DPSAH over SPSAH. Experimental results [15] for porous DPSAH in serpentine shape packed bed solar air heater having matrix porosity of 0.93 gives the thermal and THP of about 80% and 74%, respectively, which is higher by 18% and 17% as compared to SPSAH respectively. Singh et al. [48] conducted experimental analysis of wire screen packed DPSAH in parallel flow mode and reported the maximum thermal and THP of 93% and 80% at the mass flow rate value of 0.03 kg/s and 0.023 kg/s respectively.

images

Figure 4 Counter flow DPSAH.

In Double pass counter flow arrangement the air is first introduced below the absorber plate and after extracting the heat energy at lower side of absorber plate it is redirected in the opposite direction above the absorber plate. This helps in recovery of additional thermal energy which otherwise would have been lost to the surroundings. Thus design of counter flow DPSAH allows more heat extraction and this configuration performs better as compared to parallel flow arrangement. SAH with counter flow arrangement as depicted in Figure 4 has been one of the tempting configurations to enhance the overall thermal performance of a DPSAH [49].

Roy and Hoque [34] have studied experimentally the effect of mass flow rate on the thermal performance of counter flow DPSAH and found that the thermal efficiency increases as the mass flow rate of air increases and the maximum thermal efficiency observed to be 82.2% for mass flow rate of 0.0251 kg/s, however no investigation is carried out on the THP of SAH. Sopian et al. [46] developed a theoretical model of a counter flow DPSAH using steel wool as porous absorbing material and reported that the thermal efficiency of collector increases with the increase in insolation and is higher as compared to conventional SPSAH.

The double pass concept has been proposed by Satcunanathan and Deonarine [50, 51] to reduce the heat losses from the upper portion of SAH and a DPSAH exhibits higher thermal efficiency as compared to a conventional single pass SAH. Nowzari et al. [30] used the wire screen matrix to a recent configuration and mixed the part of hot exit air with the fresh incoming air with the help of a blower which results in heat transfer enhancement due to forced convection. Ho et al. [52] investigated experimentally and theoretically a counter flow DPSAH under recycle mode to enhance the convective heat transfer coefficient employing wire screen matrix in lower duct space of the collector and observed the enhancement in thermal performance of SAH.

Packing one of the passages of parallel flow or counter flow DPSAH arrangement with the porous absorbing material such as wire screen matrix (see Figures 5 and 6 respectively) increases available surface area for heat transfer. Thus helps in higher thermal efficiency (ηth) with respect to double pass counter flow SAH without wire screen mesh and conventional SAH. In addition to it, due to porous packing material, the incident solar radiation is absorbed by the stacked layers of the wire screen. In case of WMPSAH, radiation is gradually absorbed by the subsequent layers of wire mesh and a part of the solar radiation is received by the absorber plate hence both the absorber plate as well as layers of wire screen acts as a compact unit for absorption of solar radiation which gets distributed throughout the collector depth.

images

Figure 5 Double pass parallel flow SAH packed with wire screen matrix.

Velmurugan and Kalaivanan [33] have investigated experimentally and analytically the energy and exergy performance of SPSAH, DPSAH, roughened plate DPSAH and double pass WMPSAH in counter flow mode for varied air mass flow rate of 0.01 kg/s to 0.04 kg/s. It has been observed that double pass WMPSAH is economically viable, and its maximum thermal efficiency is 76.46% corresponding to a mass flow rate of 0.04 kg/s as compared to the other three configurations under similar conditions, due to turbulence and higher effective heat transfer area since the wire mesh absorbs the solar radiation in depth. It is also observed that the THP or effective efficiency is high at a low mass flow rate (m = 0.01 kg/s) and decreases as the mass flow rate increases. The higher value of air mass flow rate causes an increase in frictional losses and consequently higher pressure drop which is reported 34.6 N/m2 for double pass WMPSAH at a mass flow rate of 0.04 kg/s. Dhiman and Singh [53] have analytically analyzed the THP of double pass packed bed SAH under two different external recycle modes by using wire mesh screen as an absorber and reported a 6.6% improvement in the efficiency of SAH.

images

Figure 6 Double pass counter flow SAH packed with wire screen matrix.

3 Thermal and Thermo-hydraulic Performance Analysis of WMPSAH

Performance of a flat plate solar collector was first investigated by Hottel and Wortz [54] and it was considered that the rate of effective heat gain is proportional to the rate of solar energy absorption minus the rate of heat loss to the surroundings. A relationship is proposed for estimating the rate of useful thermal energy gain (qu) of collector operating under steady state conditions as;

qu=I(τα)-UL(tp-ta) (1)

The term (τα) represents the transmittance-absorbance product, which accounts for the typical synergy of the optical characteristics of the absorber plate and top glass cover. Bliss [55] proposed a new parameter F called collector efficiency factor as follows;

qu=F[I(τα)-UL(tf-ta)] (2)

Bliss [51] practically modified Equation (1) as:

qu=FR[I(τα)-UL(ti-ta)] (3)

Where FR is the collector heat removal factor which was obtained by Hottel and Whillier [56] as:

FR=(GCPUL)[1-exp(-FUL/GCP)] (4)

Solar collector efficiency ηth has been expressed as:

ηth=quI (5)

From Equations (1)–(3) and (5), the following relationships are obtained:

ηth =[(τα)-UL(tp-taI)] (6)
ηth =F[(τα)-UL(tf-taI)] (7)
ηth =FR[(τα)-UL(ti-taI)] (8)

Equations (6)–(8) are well known as Hottel-Whillier and Bliss (HWB) equations. The following equations have been recommended by Biondi et al. [57] for evaluating the efficiency of solar heater drawing ambient air where Fo is termed as heat removal factor;

ηth =Fo[(τα)-UL(to-tiI)] (9)
Fo =(GCPUL)[exp(FULGCP)-1] (10)

The overall heat loss coefficient UL is estimated as the sum of top Ut, bottom Ub and side loss coefficients Ue

UL=Ut+Ub+Ue (11)

The top loss coefficient (Ut) is given by the following correlations available in literature.

An empirical correlation has been suggested by Klein [58] for estimating the top loss coefficient of absorber plate temperature up to 200C.

Ut =[N(CT¯P)[(T¯P-Ta)(N+ft)]e+1hw]-1
+σ(T¯P2+Ta2)(T¯P+Ta)(εP+0.00591Nhw)-1+[(2N+ft-1+0.133εP)/εc]-N(12)
ft =(1+0.089hw-0.1166hwεP)(1+0.07866N)
e =0.43(1-100/Tp)
C =520(1-0.000051s2)for 0=s=70

For 70=s=90, use s=70

A top loss coefficient Ut as suggested by Agarwal and Larson [59]

Ut =[N(CT¯P)[(T¯P-Ta)(N+ft)]0.33+1hw]-1
+σ(T¯P2+Ta2)(T¯P+Ta)[εp+0.05N(1-εc)]-1+[(2N+ft-1)/εc]-N (13)

Where,

ft =(1-0.04hw+0.005hw2)(1+0.091N)
C =250[1-0.0044(s-90)

Malhotra et al. [60] have suggested the following correlation to consider the effect of tilt angle of collector and gap spacing:

Ut =[N(204.3T¯P)[Ls3coss(T¯P-Ta)(N+ft)]0.252Ls-1+1hw]-1
+σ(T¯P2+Ta2)(T¯P+Ta)[εp+0.0425N(1-εp)]-1+[(2N+ft-1)/εc]-N (14)
ft =(9hw-30hw2)(Ta/316.9)(1+0.91N)

Bottom loss coefficient Ubis given by:

Ub=[δkins+1hb]-1 (15)

The wires mesh screen porosity, P, given by Chang [61] as:

P=1-πndw22ptD(1+dw2pt2)1/2 (16)

The effective heat transfer area per unit volume of the bed av is given by;

av=Heattransferarea(A)Volumeofbed=4AfL(1-P)dw(AcD) (17)

The hydraulic radius (rh) as given by Varshney and Saini [18] is;

rh=Pdw4(1-P) (18)

It has been used traditionally as the characteristic length by numerous investigators [62–65].

Mass velocity of air for Go for packed bed SAH is given as;

Go=mAfP (19)

Packed bed Reynolds number (Rep) is expressed as;

Rep=4rhGoμ (20)

The amount of heat transfer rate, Q to the air flowing through the duct is obtained by;

Q=mCp(to-ti) (21)

Where, to and ti are the exit and inlet air temperatures.

The value of hc amid the wire screen matrix and airflow stream is estimated by;

hc=QA(tp-tf) (22)

Where, the gross average wire mesh screen (tp) is based on temperature computed along the depth and length of the packed bed collector and tf represents the average air temperature. After estimation of average value of hc given by Equation (22), the Colburn Jh factor and Stanton number Stp [18] can be evaluated using the relations:

Stp =hcGoCp (23)
Jh =StpPr2/3 (24)

The value of friction factor fp can be found from the pressure drop ΔP by the following expression;

fp=rh(ΔP/L)ρu2/2 (25)

Velocity of air in the duct u is given as;

u=Go/ρ.

The thermal efficiency of SAH is estimated by;

ηth=mCp(to-ti)IAc (26)

Where (to-ti)I is termed as temperature rise parameter

It is seen that at higher values of mass flow rates the rate of increase in pumping power is high whereas the rate of thermal energy gain is almost constant. Hence there is an optimum thermal energy gain (Q) up to a particular value of mass flow rate of air. The net energy gain is obtained by subtracting the pumping power losses (Pm) from the thermal energy gain. It is observed that the net energy gain increases and reaches maximum up to a certain value of mass flow rate and then decreases all of a sudden. There exists an optimum value of THP or effective efficiency for a given wire screen matrix that substantiates that the mass flow rate of air is an important parameter which affects the effective efficiency or THP of WMPSAH. It signifies that the thermal efficiency of a WMPSAH does not truly reflect its actual performance. The packing of the duct increases the pressure drop throughout the packed duct space there by increasing the pumping power losses that needs to be taken into account to obtain the effective efficiency or thermo-hydraulic performance (THP) for an energy efficient design. A conversion factor C has been recommended by Cortes and Piacentini [66] to account for the transmission and conversion losses in estimation of THP or effective efficiency of packed bed SAH.

ηeff=Q-PmCIAc (27)

3.1 Effect of System and Operating Parameters on Thermal and THP of WMPSAH

The system and operating parameters which have been taken into account for different configurations of single and double pass WMPSAHs are summarized in Table 1 for quick reference. It has been found that the thermal performance of SAH is dependent on bed and operating parameters and energy transfer is more effective from bed matrix to the air for bed having a high value of surface conductance and effective volume thermal capacity [16]. It has also been reported that the thermal performance is strongly dependent on wire screen geometry and operating parameters of the SAH. Chouksey and Sharma [27] have carried out a theoretical examination to analyze the impact of operating and system specifications on temperature rise and thermal efficiency of single pass WMPSAH through a computer program by validating the model with the results of Sharma et al. [16].

3.1.1 Effect of operating parameters on thermal performance of WMPSAH

Ahmad et al. [17] have experimentally studied iron wire screen mesh packed SAH packed with varying geometrical specifications arranged in cross flow fashion. It has been observed that the THP of packed bed solar air heater largely depends on the system and operating conditions and to get an optimum THP the SAH is required to be operated at lower values of incident solar radiation and higher value of temperature rise specification. It has been reported that there is an adverse effect over THP of WMPSAH for higher ratio of bed depth to matrix size and it increases with mass flow rate of air, becomes maximum and later on decreases with further increase in air flow rate.

Ramani et al. [23] have carried out a study on wire screen packed DPSAH with counter flow arrangement in second passage as a significant and effective design for enhancing the heat transfer rate which exhibits around 20–25% higher thermal performance in comparison to DPSAH without porous absorbing material and it is noticed that SAH needs to be operated at lower value of mass flow rate Aldabbagh et al. [24] observed that the thermal performance of collector increases and temperature rise decreases as the mass flow rate of air increases. The thermal efficiency of double pass WMPSAH is higher than the single pass WMPSAH by 34–45%. The maximum thermal efficiency is obtained 45.93% and 83.65% for single pass WMPSAH and double pass WMPSAH respectively, for a mass flow rate of 0.038 kg/s however, pumping power is not taken into account hence the effective efficiency of WMPSAH is not evaluated.

Dhiman et al. [26] observed that the thermal efficiency of counter flow packed bed DPSAH is found 11–17% more than the parallel flow DPSAH and maximum THP has been obtained for mass flow rate of 0.03 kg/s for both the configurations. It has been found that the THP of counter flow WMPSAH is more in comparison to parallel flow WMPSAH up to air mass flow rate of 0.03 kg/s and above that parallel flow configuration of WMPSAH exhibits better effective efficiency. It has been recommended that parallel flow WMPSAH should be operated at higher value of mass flow rate and lower porosity range while counter flow WMPSAH at lower value of mass flow rate and higher porosity to obtain better THP.

Omajaro and Aldabbagh [29] have carried out an experimental study of single and DPSAH using wire screen matrix as an absorber plate and found that there is an appreciable increase in thermal performance of WMPSAH as the air mass flow rate of air increases from 0.012 kg/s to 0.038 kg/s and thermal efficiency of DPSAH has been observed more by 7 to 19.4% as compared to SPSAH.

3.1.2 Effect of system parameters on thermal performance of WMPSAH

Thermal conductivity of the wire screen matrix affects the thermal performance of WMPSAH and the use of copper screen matrices reported to deliver better performance as compared to brass and iron matrices [17]. Varshney and Saini [18] have investigated the THP for WMPSAH and based on the experimental data indicated that there exists a relationship between heat energy transfer and friction factor values which rely to a great extent on the wire screen geometry.

Thakur et al. [19] have conducted an experimental investigation by decreasing the value of porosity of bed and observed that there is a considerable amount of enhancement of heat energy transfer, which strongly depends on the system specifications of WMPSAH. Interdependence between relations has been developed for a specified range of Reynolds number and low porosity. It has also been noticed that a decrease in porosity results in an increase in the value of the volumetric heat transfer coefficient (hv).

Paul and Saini [20] have developed a mathematical model to ascertain the lowest cost incurred per unit amount of energy delivered for a particular combination of system and operating values like number of wire screens (n), pitch to wire screen diameter ratio (pt/dw) and matrix porosity (P). The range of system parameters as well as heat energy transfer and friction factor correlations is according to that considered by Varshney and Saini [18]. A software program in ‘C’ computer language has been developed to determine optimum bed area based on energy requirements.

A mathematical model has been developed and analyzed by Mittal and Varshney [21] to predict effective efficiency and concluded that there is an optimum value of effective efficiency corresponding to a specific screen matrix and it deteriorates at lower values of temperature rise parameter because higher values of mass flow rates owes to greater friction loss and hence more pumping power. Prasad et al. [22] have conducted an experimental investigation for eight sets of matrices having a relatively low porosity range. It has been found that the bed having the lowest value of wire screen matrix porosity i.e. 0.599 exhibits better thermal performance since lower porosity value owes greater value of specific area density and higher hv which results in a reduction of thermal energy losses from collector bed to the surroundings.

Aldabbagh et al. [24] have experimentally studied the thermal performance of a single pass and double pass WMPSAH. The wire screen matrix packed SAH has no absorber plate instead there were ten matrices in which the last matrix acts as an absorber which consequently reduces the cost of the system. The variation in temperature rise parameter of air and thermal efficiency of SAH due to variation in air mass flow rate across the duct has been analyzed for the range of values 0.012 - 0.038 kg/s. The Design of the system is similar to that proposed by Mohammad [25] except the gap in between the wire mesh screen which resulted in the high value of matrix porosity.

Dhiman et al. [26] have carried out a theoretical and experimental study over the THP of parallel as well as counter flow double pass WMPSAH. The proposed mathematical model has been validated to the experimental results and it has been noticed that the theoretical values are much higher in comparison to the experimental results of parallel flow and counter flow WMPSAH owing to the uncertainties involved in the calculation of various heat transfer coefficients. It has been observed that the decrease in bed porosity results in enhancement of the thermal performance of WMPSAH because of the enhancement in heat energy transfer area and consequently increases the volumetric heat transfer coefficient (hv).

El-khawajah et al. [28] have experimentally analyzed the performance of DPSAH with number of fins attached by replacing the absorber plate with wire screen matrix for counter flow configuration and reported the maximum thermal efficiency of WMPSAH in the range of 75–85.9%. It has been observed that there is an improvement in thermal efficiency due to variation in gap difference between the glasses and lower gap leads to its enhancement [29].

The thermal performance of four different arrangements of the SAH has been carried out experimentally by Nowzari et al. [30]. Among these arrangements two of the arrangements consist of analyzing the single and DPSAHs by packing the bed with normal glazing material whereas the remaining two configurations include testing of single and DPSAHs with wire matrix packed bed and fractionally perforated cover in which holes made on one cover has the center to center distance of 3 cm (10 D) and on the other cover it is 6 cm (20D) where D is the hole diameter of 0.3 cm. The thermal efficiency of DPSAH is found to be 5–22.7% more than the SPSAH for the same mass flow rate.

The average efficiency of SPSAH and DPSAH with 10 D perforated cover are 46.40% and 54.76%, respectively, for mass flow rate of 0.032 kg/s. At the same mass flow rate the average efficiency of single and double pass air heaters with normal glazing is 49.36% and 51.70%, respectively. It has been observed that the use of a wire screen matrix in place of absorber leads to a reduction in the cost of SAH. It is also found that the maximum thermal efficiency of the SPSAH and DPSAH with normal glazing is 55.52% and 60.18%, respectively, while the DPSAH has 60.49% and 57.60% with 10D and 20D perforated covers, respectively.

Verma and Varshney [31] have also analyzed the effect of system specifications on THP of a WMPSAH through a mathematical model developed in C++ for estimation of effective efficiency and it has been observed that optimum THP of WMPSAH is obtained for a certain value of system conditions and there exists a particular value of duct length, width and depth corresponding to air mass flow rate and for the range of solar radiation 500–1000 W/m2 THP is high for greater values of insolation at different airflow rates because of the increase in heat energy capture in comparison to heat energy loss.

The THP of single pass WMPSAH has been analyzed for low porosity (0.599–0.729) and high porosity matrices (0.887–0.958) for similar conditions (L = 1.65 m, W = 0.4 m, D = 25 mm, I = 700 W/m2 and ti=ta=35C) and it has been found that the optimum THP of high porosity and low porosity matrices is obtained for mass flow rate range from 0.015 kg/s to 0.02 kg/s and 0.007 kg/s to 0.012 kg/s respectively. It was also reported that the maximum THP of high porosity matrices was 26% higher as compared to low porosity matrices. Sharma et al. [32] have investigated the thermal performance of WMPSAH and found that there exists an optimum value of bed depth corresponding to a particular wire screen matrix.

The optimum thermal performance of a SAH depends on the latitude angle of the location at which the solar collector is installed. The angle of inclination of the collector is kept to trap the maximum amount of solar energy. Generally the inclination angles for winter and summer operations are kept φ+(10-15) and φ-(10-15) respectively, where φ is the latitude of the location [67]. Thermal energy losses from the SAH can be reduced by increasing the number of glass covers but it decreases the overall transmittance absorption product (τα), so one glass cover is enough for absorber with selective surface whereas in case of non-selective absorber surface two glass covers are recommended. However, for solar air collectors which operate at higher temperature use of multiple glass covers is more fruitful. Samdarshi and Mullick [68] proposed equations for estimation of top loss of a solar collector with the number of glazing for variable operating conditions.

The effect of bed dimensions and gap space of SAH over the outlet temperature of the air passing through duct by packing it with sand, granite, and water has been analyzed by Aboul-Enein [69] and it has been observed that the increase in length and width of SAH increases the mean temperature of flowing air. Bicer et al. experimentally studied the thermal performance of a novel SAH by employing copper wool on its absorber plate to enhance the surface area of copper plate. The air mass flow rate is in the range of 0.035 to 0.044 kg/s. The results show that there is an increase in outlet temperature by 8–14% due to packing of copper wool but it increases the pressure loss by 40%. The thermal efficiency is found as 34–83% where as THP of SAH is obtained as 24–70% [70].

4 Discussions

Based on the available literature it has been observed that the thermal and THP of WMPSAH depends on the design and operating conditions. The system specifications of a WMPSAH include the number, emissivity and orientation of glass covers, selectivity of absorber plate, thermal conductivity of wire screen and its specifications like wire screen diameter (dw), wire mesh pitch (pt), number of wire screen (n),the bed dimensions i.e. depth (D), length (L) and width (W) of bed. The operating conditions which strongly affect the overall thermal performance of WMPSAH are mass flow rate of air through the collector passage, temperature rise parameter and to a slight extent the insolation [46]. The variations in the value of these parameters have a pronounced effect over the overall thermal performance of SAH.

images

Figure 7 Effect of air mass flow rate on thermal efficiency.

Porosity which depends on wire screen matrix geometry has a pronounced effect on the heat energy transfer and friction factor and there is a decrease in THP of SAH as the porosity of the bed matrix decreases due to an increase in mass flow rate of air which in turn increases the turbulence and friction loss [16–18] so an optimum value of effective efficiency exists for a particular wire screen matrix [21]. Moreover, by decreasing the value of porosity of matrix, there is a considerable amount of enhancement of heat transfer as a decrease in porosity tends to enhance the value of volumetric heat transfer coefficient [19, 26]. The bed with minimum porosity of 0.599 gives better thermal performance since lower porosity value has a greater value of specific area density and volumetric heat transfer coefficient which results in the reduction of thermal energy losses from bed to the surroundings [22]. The counter flow WMPSAH requires to be operated at lower values of mass flow rate and greater value of bed porosity for better THP, however parallel flow WMPSAH needs higher air mass flow rate and lower porosity for higher THP [26].

As discussed in previous sections the best-fit line has been plotted by considering the work carried out by different researchers [16, 17, 24, and 27] that exhibit the variation in thermal efficiency for different range of air mass flow rates for high porosity range of matrices having porosity more than 0.85. The operating parameter which has a prominent impact on the overall thermal performance of a WMPSAH is air mass flow rate and the thermal efficiency of WMPSAH increases with an increase in the mass flow rate of air (see Figure 7). Table 2 gives the maximum thermal efficiency value which has been attained corresponding to a particular mass flow rate.

Table 2 Maximum thermal efficiency value reported by various researchers

Mass Flow Rate Thermal
P (Matrix for Maximum Thermal Efficiency
Researchers Porosity) Efficiency (kg/s) (ηth) (%)
Sharma et al. [16] 0.953 = 0.02 51
Ahmad et al. [17] 0.968 = 0.022 53
Aldagbagh et al. [24] (P > 0.85) = 0.038 45.93
Chouksey and Sharma [27] 0.953 = 0.02 47
Prasad et al. [22] 0.599 = 0.022 68.5

images

Figure 8 Effect of air mass flow rate on effective efficiency.

However the increase in air mass flow rate does not necessarily ensure that there is an enhancement in actual thermal performance of SAH since after a certain value of air mass flow rate value there is a drop in outlet temperature of air and increment in pressure drop across the collector which gives rise to increase in pumping power losses [71]. This pumping power consumed also needs to be taken into account for estimation of effective efficiency which is also termed as THP of WMPSAH. It is clear from Figure 8 that an optimum value of effective efficiency exists for a particular wire screen matrix for a range of values of air mass flow rate considered [17, 21, 31], so the enhancement in THP is for a relatively narrow mass flow range. Table 3 has been compiled for quick reference of mass flow rate range for optimum value of effective efficiency or THP of single pass WMPSAH. It is found that matrix having porosity 0.937 yields THP of 68% at mass flow rate 0.023 kg/s where as for the same mass flow rate porosity of 0.887 results THP of only 42%.

Table 3 Range of mass flow rate for optimum THP

Mass Flow Rate Effective
P (Matrix Range for Optimun THP or Efficiency
Researchers Porosity) Effective Efficiency (ηeff) (%)
Ahmad et al. [17] 0.968 = 0.0138-0.0252 (kg/s m2) 42.2–45.6
Mittal and Varshney [21] 0.937 = 0.02-0.023 (kg/s) 68
0.837 42
Ramani et al. [23] 0.893 - 0.994 = 0.0139–0.062 (kg/s) 39.1–66.8
Verma and Varshney [31] 0.716 = 0.007–0.012 (kg/s) 50
0.905 = 0.015–0.02 (kg/s) 76
Sharma et al. [32] 0.875–0.953 = 0.01034–0.02068 (kg/s) 47–55

images

Figure 9 Effect of temperature rise parameter on thermal efficiency.

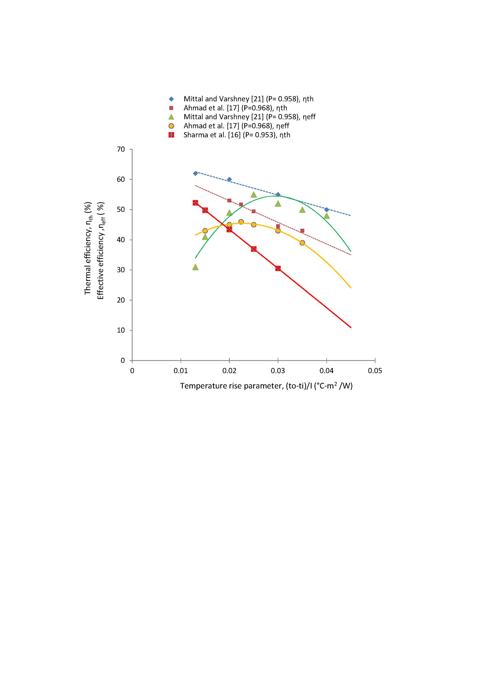
Figure 9 shows a plot between the temperature rise of air through the duct and thermal efficiency of WMPSAH for high porosity matrix (>0.9) by various investigators [16, 17, 20, 21] which clearly shows that the thermal efficiency is higher for lower value of temperature rise parameter. As the mass flow rate of air increases it causes a decrease in temperature rise parameter where as at a relatively lower value of air mass flow rate there is comparatively higher value of temperature rise parameter.

It has been observed (Figure 10) that effective efficiency of WMPSAH decreases with the decrease in air temperature rise parameter, considering that for a lower value of temperature rise parameter i.e. for higher air mass flow rate values there are significant frictional losses and hence more pumping power is required to pump the air across the duct which adversely affects the THP of WMPSAH. Hence there is an optimum range of temperature rise parameter for which there is an optimum value of effective efficiency for particular bed porosity.

images

Figure 10 Effect of temperature rise parameter on thermal and effective efficiency.

5 Conclusion

It is observed that the overall performance i.e. thermal and THP of WMPSAH depends up to a great extent on the geometrical specifications of packing wire screen matrix and the air mass flow rate. Porosity of the wire screen matrix which depends on the wire screen diameter (dw), the number of screens (n) and transverse pitch (pt) has a remarkable influence over the THP. The THP parameter of solar air heater deteriorates with the reduction in porosity of bed owing to increased turbulence and high frictional losses in the bed hence there occurs an optimum value of effective efficiency which corresponds to a particular wire mesh matrix corresponding to a fixed mass flow rate value. The optimum THP for single pass WMPSAH has been reported at the air mass flow rate range vicinity of 0.02 kg/s for high porosity matrices by various investigators. It is found that matrix having porosity 0.937 yields THP of 68% at mass flow rate 0.023 kg/s where as for the same mass flow rate porosity of 0.887 results THP of only 42%.

The THP of WMPSAH decreases drastically at low values of temperature rise specification of air as more power to pump air is required at higher mass flow rate values. The present review of the literature carried by several researchers suggests that the THP of WMPSAH is also governed by the specific system size (i.e., length, depth, and width etc.) of the solar collector at a particular value of air mass flow rate and there is an enhancement in the thermal performance of WMPSAH by using a matrix of higher thermal conductivity. It can be concluded that as compared to thermal energy gain the THP of WMPSAH is more sensitive to the variations in system and operating parameters. The overall thermal performance of the double pass WMPSAH is higher than the single pass WMPSAH at a certain value of mass flow rate of air. Double pass parallel flow WMPSAH configuration exhibits better effective efficiency at lower porosity and higher mass flow rate value of air whereas counter flow WMPSAH should run at higher porosity and lower value of air mass flow rate for better THP.

Nomenclature

Ac collector plate area, m2
Af frontal area of collector bed, m2
Afi airflow in
Afo airflow out
av heat transfer area per unit volume of bed, W/(m3-K)
C conversion factor
Cp specific heat of air, J/(kg-K)
D depth of bed, m
dw wire diameter of screen, m
fp friction factor in packed bed
F collector efficiency factor
FR collector heat removal factor referred to outlet temperature
Fo collector heat removal factor
G air mass flow rate per unit collector area, kg/(s-m2)
Go mass velocity of air, kg/(s-m2)
hb convective heat transfer coefficient between bottom insulation and environment, W/(m2-K)
hc convection heat transfer coefficient between air and matrices, W/(m2-K)
hv volumetric heat transfer coefficient, W/(m3-K)
hw wind heat transfer coefficient, W/(m2-K)
I intensity of solar radiation, W/m2
Jh Colburn J-factor (=StpPr2/3)
kins thermal conductivity of insulation, W/(m-K)
L length of collector bed, m
Ls air gap spacing between absorber plate and glass cover, (m)
m mass flow rate of air, kg/s
n number of layers of screens
N Number of glass covers
P Porosity
Pm Mechanical Power, W
Pr Prandtl number
pt Transverse pitch of wire mesh
ΔP pressure drop in the duct, N/m2
qu useful heat gain per unit collector area, W/m2
Q heat transfer rate, W
rh hydraulic radius, m
Rep Packed bed Reynolds number
rh hydraulic radius (=Pdw/4(1-P)), m
Stp Stanton number (=hc/(CpGo))
ta ambient temperature, C
tf Average fluid temperature, C
ti air inlet temperature, C
to air outlet temperature, C
tp temperature of packing material, C
Ue side loss coefficient, W/(m2-K)
Ut top loss coefficient, W/(m2-K)
UL overall heat loss coefficient, W/(m2-K)
u velocity of air in the duct, m/s
W Width of collector bed, m

Greek symbols

ηeff effective efficiency of collector
ηth thermal efficiency of collector
εc emissivity of cover
εp emissivity of back plate
μ dynamic viscosity of fluid, N-s/m2
ρ density of air, kg/m3
τ transmissivity of cover glass
Φ Inclination angle
α absorbtivity
δ Insulation thickness

Abbreviations

SAH solar air heater
WMPSAH wire screen matrix packed solar air heater
THP thermo-hydraulic performance
SPSAH single pass solar air heater
DPSAH double pass solar air heater

Conflict area of interest – we have no conflict area of interest to disclose.

References

[1] K. Rajarajeswari, A. Sreekumar, ‘Matrix solar air heaters – a review’, Renewable and Sustainable Energy Reviews, 57, 704–712, 2016.

[2] A.A. Razak, Z.A.A. Majid, W.H. Azmi, M.H. Ruslan, S.h. Choobchiane, G. Najafi, and K. Sopian, ‘Review on matrix thermal absorber designs for solar air collector’, Renewable and Sustainable Energy Reviews, 64, 682–693, 2016.

[3] M.V. Swami, T.A. Autee, T.R. Anil, ‘Experimental analysis of solar fish dryer using phase change material, Journal of Energy Storage’, 20, 310–15, 2018.

[4] A.E. Kabeel, H. MofreHamed, Z.M. Omara, A.W. Kandeal, ‘Solar air heaters: design configurations, improvement methods and applications – a detailed review’, Renewable and Sustainable Energy Reviews, 70, 1189–1120, 2017.

[5] A. Saxena, and N. Agarwal, ‘A review of recent patents on solar air heaters’, Recent Patents on Engineering, 9, 2–20, 2015.

[6] J.A. Duffie, and W.A. Beckman, ‘Solar engineering of thermal processes’, John Wiley & Sons, New York, 1991.

[7] A. Saxena, Varun, and A.A. El-Sebaii, ‘A thermodynamic review of solar air heaters’, Renewable and Sustainable Energy Reviews, 43, 863–890, 2015.

[8] T. Koyuncu, A technical note on – ‘Performance of various designs of solar air heaters for crop drying applications’, Renewable Energy, 31, 1073–1088, 2006.

[9] A. Saxena, and G. Srivastava, ‘Design and thermal performance evaluation of a novel solar air heater’, Renewable Energy, 77, 501–511, 2015.

[10] A. Saxena, N. Agarwal, and G. Srivastava, ‘Design and performance of a solar air heater with long term heat storage’, Int. J. Heat and Mass Trans, 60, 8–16, 2013.

[11] R.K. Swartman, and O. Ogunlade, ‘An investigation on packed-bed collectors’, Solar Energy, 10, 106–110, 1966.

[12] R.K. Collier, ‘The characterization of crushed glass as a transpired air heating solar collector material’, Proc. Int. Solar Energy Society (ISES), Atlanta, p. 264–268, 1979.

[13] J.P. Chiou, M.M. El-Wakil, and J.A Duffie, ‘A slit-and-expanded aluminium foil matrix solar collector’, Solar Energy, 9, 73–80, 1965.

[14] C.B. Mishra and S.P. Sharma, ‘Performance study of air-heated packed-bed solar energy collectors’, Int. J. Energy, 6, 153–157, 1981.

[15] S. Singh, ‘Experimental and numerical investigations of a single and double pass porous serpentine wavy wire mesh packed bed solar air heater’, Renewable Energy, 145, 1361–1387, 2020.

[16] S.P. Sharma, J.S. Saini, and H.K. Varma, ‘Thermal performance of packed bed solar air heaters’, Solar Energy, 47(2), 59–67, 1991.

[17] A. Ahmad, J.S. Saini, H.K. Verma, ‘Thermohydraulic performance of packed bed solar air heater’, Energy Conversion Management, 37(2), 205–214, 1996.

[18] L. Varshney, and J.S. Saini, ‘Heat transfer and friction factor correlations for rectangular solar air heater duct packed with wire mesh screen matrices’, Solar Energy, 62(4), 255–262, 1998.

[19] N.S. Thakur, J.S. Saini, and S.C. Solanki, ‘Heat transfer and friction factor correlations for packed bed solar air heater for a low porosity system’, Solar Energy, 74(3), 319–329, 2003.

[20] B. Paul, and J.S. Saini, ‘Optimization of bed parameters for packed-bed solar energy collection system’, Renewable Energy, 29, 1863–1876, 2004.

[21] M.K. Mittal and L. Varshney, ‘Optimal thermohydraulic performance of a wire meshed packed solar air heater’, Solar Energy, 80, 1112–1120, 2006.

[22] S.B. Prasad, J.S. Saini and K.M. Singh, ‘Investigation of heat transfer and friction characteristics of packed bed solar air heater using wire mesh as packing material’, Solar Energy, 83, 773–783, 2009.

[23] B.M. Ramani, A.D. Gupta, and R. Kumar, ‘Performance of a double pass solar air collector’, Solar Energy, 84, 1929–1937, 2010.

[24] L.B.Y. Aldabbagh, F. Egelioglu, M. Ilkan, ‘Single and double pass solar air heaters with wire mesh as packing bed’, Energy, 35, 3783–3787, 2010.

[25] A.A. Mohamad, ‘High efficiency solar air heaters’, Solar Energy, 60, 71–76, 1977.

[26] P. Dhiman, N.S. Thakur, and S.R. Chauhan, ‘Thermal and thermohydraulic performance of counter and parallel flow packed bed solar air heaters’, Renewable Energy, 46, 259–268, 2012.

[27] V.K. Chouksey, and S.P. Sharma, ‘Investigations on thermal performance characteristics of wire screen packed bed solar air heater’, Solar Energy, 132, 591–605, 2016.

[28] M.F. El-khawajah, L.B.Y. Aldabbagh, and F. Egelioglu, ‘The effect of using transverse fins on a double pass flow solar air heater using wire mesh as an absorber’, Solar Energy, 85, 1479–1487, 2011.

[29] A.P. Omajaro, and L.B.Y. Aldabbagh, ‘Experimental performance of single and double pass solar air heater with fins and steel wire mesh as absorber’, Applied Energy, 87, 3759–3765, 2010.

[30] R. Nowzari, L.B.Y. Aldabbagh, and F. Egelioglu, ‘Single and double pass solar air heaters with partially perforated cover and packed mesh’, Energy, 73, 694–702, 2014.

[31] P. Verma, and L. Varshney, ‘Parametric investigation on thermo-hydraulic performance of wire screen matrix packed solar air heater’, Sustainable Energy Technologies and Assessments, 10, 40–52, 2015.

[32] S.P. Sharma, V.K. Chauksey, A. Kumar, A.K. Behura, R. Kumar, and A. Kumar, ‘Wire screen matrices packed bed solar air heater performance-an exergetic and energetic approach’, Journal for Advanced Research in Applied Sciences, 4(4), 90–108, 2017.

[33] P. Velmurugan, R. Kalaivanan, ‘Energy and exergy analysis of solar air heaters with varied geometries’, Arab J Sci Eng, Springer, 2015.

[34] A. Roy, and M.E. Hoque, ‘Performance analysis of double pass solar air heater with packed bed porous media in Rajshahi’, AIP Conference Proceedings 1851, 020010, 2017.

[35] J.C. Han, and Y.M. Zang, ‘High performance heat transfer ducts with parallel broken and V-shaped broken ribs’, Int. J. Heat Mass Transfer, 35, 513–523, 1992.

[36] M.K. Sahu, and R.K. Prasad, ‘Thermohydraulic performance analysis of an arc shape wire roughened solar air heater’, Renewable Energy, 108, 598–614, 2017.

[37] A.D. Gupta, and L. Varshney, ‘Performance prediction for solar air heater having rectangular sectioned tapered rib roughness using CFD’, Thermal Science and Engineering Progress, 4, 122–132, 2017.

[38] E. Vengadesan, R. Senthil, A review on recent developments in thermal performance enhancement methods of flat plate solar air collector, Renewable and Sustainable Energy Reviews, 134, 110315, 2020.

[39] A.R. Jaurker, J.S. Saini, and B.K. Gandhi, ‘Heat transfer and friction characteristics of rectangular solar air heater duct using rib-grooved artificial roughness’, Solar Energy, 80, 895–907, 2006.

[40] R.P. Saini, and J. Verma, ‘Heat transfer and friction factor correlations for a duct having dimple-shape artificial roughness for solar air heaters’, Energy, 33, 1277–1287, 2008.

[41] M.K. Mittal, Varun, R.P. Saini, and S.K. Singal, ‘Effective efficiency of solar air heaters having different types of roughness elements on the absorber plate’, Energy, 32, 739–745, 2007.

[42] M.K. Gupta, and S.C. Kaushik, ‘Performance evaluation of solar air heater for various artificial roughness geometries based on energy, effective and exergy efficiencies’, Renewable Energy, 465–476, 2009.

[43] R. Jha, C. Choudhary, H.P. Garg, and Z. Zaidi, ‘Performance prediction of a solar heated house’, Energy Conversion Management, 33, 263–273, 1992.

[44] R.S. Pawar, M.G. Takwale, and V.G. Bhide, ‘Evaluation of the performance of the solar air heater’, Energy Conversion Management, 35, 699–708, 1994.

[45] A.A. Hegazy, ‘Thermohydraulic performance of air heating solar collectors with variable width, flat absorber plates’, Energy Conversion Management, 41, 1361–1378, 2000.

[46] K. Sopian, M.A Alghoul, M.E. Alfegi, M.Y. Sulaiman, E.A. Musa, ‘Evaluation of thermal efficiency of double-pass solar collector with porous-nonporous media’, Renew Energy, 34, 640–645, 2009.

[47] P. Dhiman, N.S. Thakur, A. Kumar, S. Singh, ‘An analytical model to predict the thermal performance of a novel parallel flow packed bed solar air heater’, Applied Energy, 88, 2157–2167, 2011.

[48] S. Singh, L. Dhruw, S. Chander, ‘Experimental investigation of a double pass converging finned wire mesh packed bed solar air heater’, Journal of Energy Storage, 21, 713–723, 2019.

[49] T. Alam, and M.H. Kim, ‘Performance improvement of double-pass solar air heater – a state of art of review, Renewable and Sustainable Energy Reviews’, 79, 779–793, 2017.

[50] S. Satcunanathan, and S. Deonarine,‘A two-pass solar air heater’, Solar Energy, 15, 41–49, 1973.

[51] S. Satcunanathan, P. Prasad, ‘The thermal performance of the two pass, two glass cover solar air heater’, Trans ASME. J Sol Energy Eng, 105, 254–258, 1983.

[52] C.D. Ho, C.S. Lin, Y.C, Chuang, C.C. Chao, ‘Performance of wire mesh packed double-pass solar air heaters with external recycle’, Renew Energy, 57, 479–489, 2013.

[53] P. Dhiman, and S. Singh, ‘Recyclic double pass packed bed solar air heaters’, Int J Thermal Science, 87, 215–227, 2015.

[54] H.C. Hottel, and B.B. Woertz, ‘The performance of flat plate solar heat collectors’, Transaction ASME, 64, 91–104, 1942.

[55] R.W. Bliss, ‘The derivation of several plate efficiency factor useful in design of flat plate solar heat collectors’, Solar Energy, 3(4), 55–64, 1959.

[56] H.C. Hottel, and A. Whillier, ‘Evaluation of flat plate collector performance’, Trans. Conference on the use of Solar Energy, University of Arizona Press, 2(1), 74–104, 1955.

[57] P. Biondi, L. Cicala, G. Farina, ‘Performance analysis of solar air heaters of conventional design’, Solar Energy, 41(1), 101–107, 1988.

[58] S.A. Klein, ‘Calculation of flat plate collector loss coefficients’, Solar Energy, 17, 79–80, 1975.

[59] V.K. Agarwal, D.C. Larson, ‘Calculation of top loss coefficient of a flat plate collector’, Solar Energy, 27(1), 69–71, 1981.

[60] A. Malhotra, H.P. Garg, A. Palit, ‘Heat loss calculation of flat plate solar collectors’, The J Therm Engg, 2(2), 59–62, 1981.

[61] W.S.Chang, ‘Porosity and effective thermal conductivity of wire screens’, ASME J. Heat Transfer, 112, 5–9, 1990.

[62] J.E. Coppage, A.L. London, ‘Heat transfer and flow friction characteristics of porous media’, Chemical Engg. Prog., 52, 57–63, 1956.

[63] L.S. Tong, A.L. London, ‘Heat transfer and flow friction characteristics of cover screen and cross rod matrices’, Trans ASME, 79, 1558–1570, 1957.

[64] W.M. Kays, and A.L. London, ‘Compact heat exchangers’, McGraw Hill, 1964.

[65] S. Whitaker, ‘Forced convection heat transfer correlation for flow in pipes, past flat pipes, single cylinders, single spheres, and for flow in packed beds and tube bundles’, AIChE. J., 18, 361–371, 1972.

[66] A. Cortes, R. Piacentini, ‘Improvement of Efficiency of a bare solar collector by means of turbulence promoter’, Applied Energy, 36(4), 253–261, 1990.

[67] S.P. Sukhatme, J.K. Nayak, ‘Solar energy, principles of thermal collection and storage’, 3rd Edition, Tata McGraw Hill, New Delhi, 2009.

[68] S.K. Samdarshi, S.C. Mullick, ‘Analytically equation for the top heat loss factor of a flat plate collector with double glazing’, Trans. of ASME JSolar Energy Engineering, 13, 117–121, 1991.

[69] S. Aboul-Enein, A.A. El-Sebaii, M.R.I. Ramadan, H.G. El-Gohary, ‘Parametric study of a solar air heater with and without thermal storage for solar drying applications’, Renewable Energy, 505–522, 2000.

[70] A. Biçer, A. G. Devecioğlu, V. Oruç, Z. Tuncer. Experimental investigation of a solar air heater with copper wool on the absorber plate, International Journal of Green Energy, 17:15, 979–989, 2020.

[71] M. A. Aravindh, A. Sreekumar, ‘Efficiency enhancement in solar air heaters by modification of absorber plate – a review, Int J Green Energy, 2016.

Biographies

images

Prashant Verma is working as an Assistant Professor in Department of Mechanical Engineering, G.B. Pant University of Agriculture & Technology, Pantnagar (India). He is awarded Ph.D. from G.B. Pant University of Agriculture & Technology, Pantnagar (India) in the field of Solar Energy. His research area includes Solar Energy, Energy Conversion & Heat Transfer. He has published several research papers in various international journals. He is a member of Institution of Engineers & life member of ISTE.

images

Abhishek Saxena is an Associate Professor in Mechanical Engineering Department in Moradabad Institute of Technology, Moradabad (India). He obtained his Ph.D. from Himalayan University, Arunachal Pradesh (India) in Mechanical Engineering. His research area is Solar Thermal Applications, Heat Transfer and Environmental Pollution. He has published several research papers/chapters in various journals/books of repute. He is a member of ISES (Germany) and SESI (India). He is serving many research journals of Solar Energy & Thermal Science as an Editor/Reviewer/Author.

images

L. Varshney is Professor and Head in the Department of Mechanical Engineering at G.B. Pant University of Agriculture and Technology, Pantnagar (India). He is working in the department since 1986. He received his B. Tech degree in Mechanical Engineering and M. Tech degree in Thermal Engineering from Aligarh University. He was awarded University medal in M. Tech programme. He was awarded Ph.D. in the field of Solar Energy from IIT, Roorkee. He is a fellow of the Institution of Engineers (India) and life member of Solar Energy Society of India, Indian Society of Heat & Mass Transfer and Renewable Energy Society of India. His fields of research interest are Energy/Solar Energy.

Abstract

1 Introduction

2 Design Configuration of SAH

2.1 Conventional or Single Pass SAH

images

images

2.2 Double Pass SAH

images

images

images

images

3 Thermal and Thermo-hydraulic Performance Analysis of WMPSAH

3.1 Effect of System and Operating Parameters on Thermal and THP of WMPSAH

3.1.1 Effect of operating parameters on thermal performance of WMPSAH

4 Discussions

images

images

images

images

5 Conclusion

Nomenclature

References

Biographies