Research on Distribution Substation Topology Identification Methods

Hu Weidong1,*, Zhao Bo1 and Chen Jie2

1Automatization Engineering College, Beijing Information Science & Technology University, Haidian 100192, Beijing, China
2China Electric Power Research Institute, Haidian 100192, Beijing, China
E-mail: huweidong5563@163.com
*Corresponding Author

Received 10 November 2023; Accepted 09 January 2024

Abstract

With the advancement of digital transformation in distribution substations, a large number of smart devices are being integrated into substations. Addressing the challenges of automatic topology recognition and the issue of unstable recognition accuracy in distribution substations has become crucial. This paper proposes a substation topology recognition method based on an improved matrix approach and the Minimum Conditional Probability of Packet Loss Theorem. The improved matrix approach is utilized to calculate the topological signals, enabling automatic bottom-up topology recognition within the substation. The application of the Minimum Conditional Probability of Packet Loss Theorem in processing topological data significantly enhances the accuracy of substation topology recognition, reducing the impact of external factors on recognition accuracy. Experimental validation demonstrates that the proposed method is highly feasible and exhibits fault tolerance, indicating practical engineering applications.

Keywords: Digital substation, improved matrix method, packet loss rate conditional probability minimization theorem, automatic topology recognition.

1 Introduction

Under the guidance of the national “double carbon” goal, Increasing renewable energy integration in power systems is an important way of decarbonising carbon emissions. the ever-increasing deployment of distributed generation (DG) is considered effective in reducing carbon emissions and power loss [4], such as wind power, photovoltaics, and pumped storage, account for an increasing proportion of the energy supply side [4]. The operation and control of distribution systems face new challenges [4].

As the foundation of the operation and control research of distribution systems, topology structure heavily relies on the collection of node information. The traditional distribution station area station topological identification methods include characteristic load access method [4], characteristic current waveform injection method [5] and line impedance analysis method [6], and etc. The limitation of these identification methods is that they all require installation of topological feature identification devices. If new lines are added to the system grid, the system topology is likely to be abnormal due to human errors. Fortunately, with the development of the smart grid, massive operation data are continuously generated, which provide a basis to achieve the actual topol parameters [7].

A new generation of intelligent distribution station area has designed a new information acquisition system [7]. Based on intelligent devices and adopting a layered design, the collection of substation information is more accurate, which also provides assistance for topology recognition research in substations. In recent years, many scholars have carried out research on the new generation topology identification technology of distribution station area [9]. Reference [10] adopts a distributed identification approach, which accelerates the efficiency of topology recognition. However, when the network structure is complex, the required number of terminal devices is too large, leading to poor economic benefits. Reference [11] utilizes pulse current signals for topology recognition. In this method, pulse current signals are generated by thyristors at the terminals. Thyristors are susceptible to damage and can pose a risk of short-circuit power outages. Reference [12] employs high-frequency signals for topology recognition. However, high-frequency signals between adjacent substations exhibit characteristics of inter-substation communication, which can impact the accuracy of recognition results.

In response to these issues, without adding additional topology recognition hardware devices, this article uses existing intelligent meters, intelligent switches, and intelligent terminals for data exchange [13] to propose a digital distribution station area topology automatic recognition method. This method not only obtains real-time topology information of the station area, but also reduces dependence on the main station in the station area, improving economic benefits; At the same time, it solves the problem of unstable accuracy of topology recognition results in the distribution station area.

2 Topology Identification Based on Improved Matrix Method

2.1 Improved Matrix Method

It is known that traditional matrix methods include incidence matrix and adjacency matrix, incidence matrix represent the connection relationship between nodes and branches [14].

If the topology has n nodes and m branches, expressed as n × m matrix by incidence matrix (S), and element Sij is defined as follows:

sij=[-1, 0,+1] (1)

Eg:+1 indicates that the direction of connection between i and j is positive, -1 indicates that the direction of connection between i and j is negative, and 0 indicates that i and j are not connected.

The adjacency matrix expresses the link relationship between nodes [15]. If the topology contains n nodes, it is expressed as n × n matrix by adjacency matrix (A), the diagonal element is constant 1, and the element aij is defined as follows:

sij=[0, 1] (2)

Eg:1 is connected to i and j, and 0 is not connected to i and j.

From the above two matrices, the concept of improved matrix method proposed in this paper is introduced. The improved matrix method is to describe the signal transmission between nodes in the topological diagram, the topological signal transmission is directed transmission, the lower node sends the signal, and the upper node receives the signal of the lower node and sends it to the upper node together with its own signal. For a graph with n nodes, it can be represented by a matrix Z of order n × n. The matrix Z = [Zij] is a Boolean matrix in which the elements are only 0 and 1, the elements of the diagonal are defined as: Z=ij1, and the other Zij elements are defined as follows: Z=ij1, there is signal transmission between node i and node j; Z=ij0, there is no signal transmission between node i and node j.

Zij=[0, 1] (3)

Eg: 1 is the signal transmission between i and j, the direction is j to i, and 0 is no signal transmission between i and j.

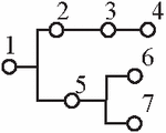
Figure 1 shows that the topology has 7 nodes and 6 connecting lines, that is, the signal transmission direction is from bottom to top.

images

Figure 1 Topology example diagram.

The improved matrix is used to describe the topology, and the resulting matrix Z is:

Z=[1111111011100000110000001000000011100000100000001] (4)

where Z=341 indicates that there is signal transmission between node 3 and node 4, and the signal transmission direction is node 4 to node 3. It can be seen that the improved matrix contains topology and topological signal transmission direction information. Therefore, based on the improved matrix, the topological model of the distribution station area is established, which not only obtains the topology of the station area, but also obtains the signal transmission direction.

2.2 Digitized Distribution Station Area Matrix Model

The digital distribution station area integrates advanced sensing technology, communication technology, computing and control mechanisms, etc. aiming to provide power users with more reliable, safe, economic, effective and friendly power services [18]. Figure 2 shows the typical topology of the digital distribution station area, in which the distribution box is a first-level branch node, the branch box is a second-level branch node, and the user meter is a tree topology of the end node [16].

images

Figure 2 Typical topology structure of digital distribution station area.

As can be seen from Figure 2, there are a total of 5 nodes in the topology diagram (only the principle is analyzed in here, and the distribution cabinet and branch box are each regarded as one node), and an n × n order matrix P is established according to the signal transmission rules of the distribution station area.

P={blockarray}lccccc1&2&3&X&A&{block}[ccccc]l1&0&0&0&0&10&1&0&0&0&20&0&1&0&0&31&1&1&1&1&X0&1&1&0&1&A (5)

Make use of summation functions f(Pi)=j=1N(Pij) for Sum each row of the matrix, and the summation result is f(P1) = 1, f(P2) = 1, f(P3) = 1, f(PX) = 5, f(PA) = 3, and the sum result of each row is sorted from large to small after the summation is completed, and obtained the matrix P1.

P1={blockarray}lcccccX&A&1&2&3&{block}[ccccc]l1&1&1&1&1&X0&1&0&1&1&A0&0&1&0&0&10&0&0&1&0&20&0&0&0&1&3 (6)

Find the column where the 1 element in the row where the row sum is equal to 1 in P1, sort the corresponding row coordinates from top to bottom in the column where the 1 element is located, and link the row coordinates to obtain 3 branch topologies that L1, L2, and L3, L1: X-A-3; L2:X-A-2; L3:X-1; The three branch roads were combined to calculate the overall station area structure.

3 Distribution Station Area Topology Model BASED on Packet Loss Rate Conditional Probability Minimum Theorem

3.1 Mathematical Models

The power distribution automation system is composed of the backbone layer and the access layer. The backbone layer refers to the communication networks between the distribution automation main station and the distribution automation substation; and the access layer refers to the communication networks between the distribution automation substation and the intelligent distribution terminals [18].

images

Figure 3 Tree topology structure diagram.

In the process of topology identification, a tree-shaped topology is formed through signal transmission [19]. As shown in Figure 3, each circle represents a node, each node corresponds to the topological intelligent devices in the station area, all nodes can send and receive signals, the signal is sent up in sequence, the lower node sends the signal to its parent node, the parent node packages the signal of the lower node and sends its own signal to its parent node, and uploads it to the K node step by step (K represents the highest parent node), and finally identifies the completed topology. In the identification process, when the signal transmission of the parent node of a node is successful, the conditional probability of packet loss of the node is the smallest, which is called the packet loss rate conditional probability minimum theorem, and a topology recognition algorithm is designed based on this theorem under the condition of signal interference.

In the signal transmission, Z=i{1,0} indicates whether the data sent by node i successfully reaches node K, Z=i1 indicates that the signal data of node i is successfully transmitted to node K, and Z=i0 indicates that the signal data of node i is lost during transmission. In the process of topology recognition, characteristic signals can be sent periodically, and each periodic K node can know which node signal data transmission is successful. After N cycles, the N-round data are obtained, and these observations constitute a 0–1 sequence, and the signal transmission of node a in the m-round is represented by Zi(m) = {1,0}, 1 m N, which reflects whether the m-round data of node i reaches K.

3.2 Packet Loss Rate Conditional Probability Minimum Theorem

In the N-round observation data, the probability of successful transmission from node i to node K is Pi.

Pi=m=1NZi(m)N (7)

Suppose that the conditional probability of data loss at node a is represented by P(i|j) under the condition of successful data transmission of node j, and the specific formula is as follows:

P(i|j)=P{Zi=0|Zj=1} (8)

By studying the influence of P(i|j) of different node positions, the following theorem is obtained.

If i and j are not parent nodes, P(i|j)=P(i|S(i,j)), S(i,j) is the nearest public parent node of i and j;

The parent nodes Gm(i) and Gn(i) of any two i nodes, if m< n, the inequality P(i|Gm(i))P(i|Gn(i)) holds.

Theorem derivation process:

(1) Whether the signal data of the child node is transmitted to the K node is expressed by Z = 0,1, and the number of occurrences of Z = 0 or Z = 1 in N periods is expressed by R[Z].

P(i|j) =R[Zi=0,Zj=1]R[Zj=1] (9)
P(i|S(i,j)) =R[Zi=0,ZS(i,j)=1]R[ZS(i,j)=1] (10)

wherein:

R[Zi=0,ZS(i,j)=1] =R[Zi=0,Zj=1,ZS(i,j)=1]
+R[Zi=0,Zj=0,ZS(i,j)=1] (11)
R[ZS(i,j)=1] =R[Zj=0,ZS(i,j)=1]
+R[Zj=1,ZS(i,j)=1] (12)

During the topology identification process, the signal is transmitted step by step, so there are:

R[Zi=0,Zj=1,ZS(i,j)=1] =R[Zi=0,Zj=1] (13)
R[Zj=1,ZS(i,j)=1] =R[Zj=1] (14)

Substituting Equations (3.2)–(14) into Equation (10) yields:

P(i|S(i,j))=R[Zi=0,Zj=1]+R[Zi=0,Zj=0,ZS(i,j)=1]R[Zi=0,ZS(j,j)=1]+R[Zj=1] (15)
R[Zi=0,Zj=0,ZS(i,j)=1]R[Zi=0,ZS(i,j)=1]=R[Zi=0,Zj=0,ZS(i,j)=1]R[ZS(i,j)=1]R[Zi=0,ZS(i,j)=1]R[ZS(i,j)=1]=P(Zi=0,Zj=0|ZS(i,j)=1)P(Zi=0|ZS(i,j)=1) (16)

wherein:

P(Zi=0,Zj=0|ZS(i,j)=1) indicates the probability of transmission failure of nodes i and j when the signal of the node S(i,j) is successfully transmitted to node K, and the path of transmission failure of nodes i and j is irrelevant according to the topology diagram, so:

P(Zi=0,Zj=0|ZS(i,j)=1) =P(Zi=0,|ZS(i,j)=1)
×P(Zj=0|ZS(i,j)=1) (17)

Substituting Equation (3.2) into Equation (16) yields:

P(i|j)=P(i|S(i,j)) (18)

(2) P(i|Gm(i)) represents that the probability of transmission failure of node i under the condition of successful transmission of node Gm(i) is denoted as η(i,Gm(i)), and the cause of failure occurs in the line from node i to node Gm(i), from which it can be obtained:

P(i|Gm(i)) =1-η(i,Gm(i)) (19)
P(i|Gn(i)) =1-η(i,Gn(i)) (20)

The path of i to Gn(i) is composed of the path of i to Gm(i) and the path of Gm(i) to Gn(i), so:

η(i,Gn(i))=η(i,Gm(i))×η(Gm(i),Gn(i))<η(i,Gm(i)) (21)

Substituting Equation (21) into Equations (19) and (20) yields:

P(i|Gm(i))>P(i|Gn(i)) (22)

3.3 Topological Derivation

In the process of feature signal transmission, if a node has feature signal interference, the feature signal of the node and its sub-nodes cannot be received by the upper-layer node. In N epochs, if there is a round of Zj(m) = 0 and Zi(m) = 1, then the j node is not the parent node of the i node, so the set of possible parent nodes of the i node can be filtered out, denoted as F(i). The resulting F(i) may include multiple parent nodes. In order to find the nearest parent node, when the signal of node x in F(i) is successfully transmitted, the conditional probability that the data of i does not reach K P(i = 0|x = 1) is not reached, and according to the packet loss rate conditional probability minimum theorem, the node set L(i) with the smallest P(i = 0|x = 1) is calculated, and L(i) includes the sibling node and the nearest parent node of node i. Therefore, the node with the largest signal transmission success rate in L(i) is the parent node of i. In this way, the parent node of each node is rolled out step by step, so as to obtain the topology of the entire station area.

4 Experimental Analysis

4.1 Topology Recognition Experiment of Station Area Based on Improved Matrix Method

4.1.1 Topology station area test system

In this paper, the experiment is carried out based on the digital low-voltage distribution station area test system of the Chinese Academy of Electric Power Sciences. Figure 5 shows the line structure of the station area from the low-voltage transformer to the user side.

images

Figure 4 Digital low-voltage distribution station area wiring diagram.

The distribution station area includes smart terminals, smart plastic shells, smart meters and other smart devices. The smart meter has the function of sending characteristic signals, the smart switch has the function of sending and receiving the characteristic signal, and the intelligent terminal in the district has the ability of edge computing [20]; Smart meters and smart switches send characteristic signals, and the characteristic signals are uploaded step by step along the power line, and finally the intelligent terminal completes the collection and calculation of characteristic signal data, so as to realize the automatic identification of the topological relationship of the station area.

4.1.2 Experimental verification and analysis

According to the topology model in Chapter 2, the intelligent terminal performs algorithm analysis on the data to generate a topology file, which uploads the topology file to the master station system, and the master system graphically transforms the topology file, and the final result is shown in Figure 5.

images

Figure 5 Experimental topology diagram of the platform area.

After checking the test results, the topological relationship is consistent with the actual topology, but during the experiment, signal interference or intelligent device failure will cause the topology accuracy to be unstable, and the topology accuracy is recorded after 300 rounds of experiments, as shown in Figure 6. As can be seen from the figure, the accuracy of topology recognition fluctuates greatly in the actual environment.

images

Figure 6 Topological accuracy based on improved matrix method.

4.2 Topology Experiment of the Station Area Based on Packet Loss Rate Conditional Probability Minimum Theorem

In order to solve the problem that the topology accuracy fluctuates greatly due to environmental interference in the application of the improved matrix method in the actual station area, the accuracy of the topology is improved by using the packet loss rate conditional probability minimum theorem. In order to verify the effectiveness of the algorithm, the above 300 rounds of experimental results were optimized, as shown in Figure 7. It is compared with the unoptimized results, as shown in Figure 8.

images

Figure 7 Topology accuracy after optimization.

images

Figure 8 Comparison of topology accuracy before and after optimization.

From Figure 8, it can be concluded that the accuracy of the optimized topology recognition quickly reaches 100%, and there has been no fluctuation, which shows that the algorithm can accurately deduce the topology of the station area with less experimental data under environmental interference, which can greatly weaken the influence of various objective factors such as signal interference and equipment damage on the topological accuracy, and greatly improve the reliability of the topology results of the station area.

5 Conclusion

In this paper, an automatic topology identification system is designed based on the matrix improvement algorithm and the packet loss rate conditional probability minimum theorem, which uses the data interaction between intelligent devices to complete the local topology identification, which greatly shares the pressure on the master station. The topology experimental results are optimized by using the packet loss rate conditional probability minimum theorem, which increases the fault tolerance rate and improves the accuracy of topology recognition in the station area.

With the continuous development of intelligent stations, the number of topology nodes increases, and the probability of packet loss between nodes also increases. The packet loss rate conditional probability minimum theorem algorithm has stricter data requirements, and it is more difficult to quickly improve the accuracy of topology recognition. In the later stage, it can be considered to further improve the topology recognition algorithm of the station area to reduce the interference of external factors. The optimization algorithm can also be improved to quickly improve the topology accuracy with less experimental data.

References

[1] Wu D, Su J, Chen Z, et al. Effects of Distributed Generation on Carbon Emission Reduction of Distribution Network[J]. Distributed Generation and Alternative Energy Journal, 2023, 39(1):57–82.

[2] Ma Z, Wang Z, Zhang Y. A bionic-intelligent scheduling algorithm for distributed power generation system[J]. Distributed Generation and Alternative Energy Journal, 2022, 37(2):215–236.

[3] Z Zhang, C Kang, Challenges and prospects for constructing the new -type power system towards a carbon neutrality future[J]. Proceedings of the CSEE, 2022, 42(8):2806–2819.

[4] Y Liu, Low voltage topology test determination method and low voltage single line diagram demand analysis under the background of distribution information integration[J]. Technology Innovation and Application, 2014(29):184–185.

[5] P Fang, S Xu, C Shen, et al., Research on productization of real-time topology generation platform for low voltage power grid[J]. Technology Innovation and Application, 2019(36): 63–65.

[6] Y Ba, A method for topology and line impedance identification of low-voltage grid in distribution area: China, CN201910857146.0[P]. 2020-01-03.

[7] Kashyap, Yang, CW, et al., (2015). Automated fault location and isolation in distribution grids with distributed control and unreliable communication. IEEE T IND ELECTRON, 2015, 62(4)(–), 2612–2619.

[8] Wang Z, Jiao Z, Liu L, et al. Design and research of power information acquisition system for smart grid[J]. Distributed Generation and Alternative Energy Journal, 2022, 37(2):185–198.

[9] Z Wu, H Long, C Chen, Line Aging Assessment in Distribution Network Based on Topology Verification and Parameter Estimation[J]. Journal of Modern Power Systems and Clean Energy, 10 [2023-11-06]. DOI: 10.35833/MPCE.2021.000165.

[10] Z Xu, Application analysis of area users identify apparatus[J]. Metrology & Measurement Technique, 2009, 36(11): 26–28.

[11] Y Cai, J LI, J Meng, et al., Power line carrier OFDM technology application in low voltage courts meter detection[J]. China Electric Power, 2015(2): 33–35.

[12] J Huang, Q Meng, S Wu, et al., Operation state evaluation of distribution network based on attribute mathematics[J]. Electric Power, 2019, 52(2):104–110, 118.

[13] F He, J Chen, Q Li, et al., Application and development of internet of things in smart grid[J]. Power System Protection and Control, 2020, 48(3):58–69.

[14] X Meng, Li Yao, J Lin, As-sessment of black -start schemes for power grid based on relational matrix analysis[J]. Advanced Technology of Electrical Engineering and Energy, 2007, 26(4):65–70.

[15] Y Zhou, B Zhou, Y Xing, Graphical power network topology analysis based on adjacency matrix[J]. Power System Protection and Control, 2009, 37(17):49–52, 56.

[16] J Zhong, X Xiong, Y He, et al., Plug-and-play and topology identification method for intelligent terminals in station area[J]. Automation of Electric Power Systems, 2021, 45(10):166–173.

[17] Zhu H, Li Z, Chen S, et al. Application of demand-side technology in power system intelligent regulation[J]. Distributed Generation and Alternative Energy Journal, 2022, 37(2):145–158.

[18] W Liu, Y Lu, M Yang, et al., (2022). Differentiated local controls for distributed generators in active distribution networks considering cyber failures. International Journal of Electrical Power & Energy Systems, 135(11), 107569.

[19] X Xu, Z Ma, A novel algorithm for fault location in a distribution network based on topology division[J]. Electric Power, 2012, 45(5): 20–24.

[20] Y Wu, Distributed topology identification and application method of smart distribution network [J]. Power System Protection and Control, 2019, 47(16):136–142.

Biography

images

Hu Weidong received the bachelor’s degree in Electronic Information Engineering from North China Institute of Science and Technology in 2021, He is currently studying as a graduate student at the Automatization Engineering College of Beijing Information Science & Technology University. His research direction is analysis of digital distribution areas.

Abstract

1 Introduction

2 Topology Identification Based on Improved Matrix Method

2.1 Improved Matrix Method

images

2.2 Digitized Distribution Station Area Matrix Model

images

3 Distribution Station Area Topology Model BASED on Packet Loss Rate Conditional Probability Minimum Theorem

3.1 Mathematical Models

images

3.2 Packet Loss Rate Conditional Probability Minimum Theorem

3.3 Topological Derivation

4 Experimental Analysis

4.1 Topology Recognition Experiment of Station Area Based on Improved Matrix Method

4.1.1 Topology station area test system

images

4.1.2 Experimental verification and analysis

images

images

4.2 Topology Experiment of the Station Area Based on Packet Loss Rate Conditional Probability Minimum Theorem

images

images

5 Conclusion

References

Biography