A Novel Differential Quadrature Galerkin Method for Dynamic and Stability Behaviour of Bi-directional Functionally Graded Porous Micro Beams

Ahmed Saimi*, Ismail Bensaid, Besma Khouani, Med Yassin Mazari, Ihab Eddine Houalef and Abdelmadjid Cheikh

IS2M Laboratory, Faculty of Technology, Mechanical Engineering Department, University Abou Bekr Belkaid, Tlemcen, Algeria
E-mail: ahmedsaimi@hotmail.fr
*Corresponding Author

Received 30 June 2023; Accepted 30 September 2023; Publication 03 November 2023

Abstract

The free vibration and buckling behaviours of 2D-FG porous microbeams are explored in this paper utilizing the Quasi-3D beam deformation theory based on the modified couple stress theory and a Differential Quadrature Galerkin Method (DQGM) systematically, as a combination of the Differential Quadrature Method (DQM) and the semi-analytical Galerkin method, which has used to reduce computational cost for problems in dynamics. The governing equations are obtained using the Lagrange’s principle. The mass and stiffness matrices are calculated using the weighting coefficient matrices given by the differential quadrature (DQ) and Gauss-Lobatto quadrature rules. The matrices are expressed in a similar form to that of the Differential Quadrature Method by introducing an interpolation basis on the element boundary of the Galerkin method. The sampling points are determined by the Gauss-Lobatto node method. The influence of the thickness-to-material length scale parameter (MLSP) on the nondimensional natural frequencies and nondimensional critical buckling loads of 2D-FG porous microbeams are investigated, along with the effects of the boundary condition, aspect ratio and gradient index. The results are validated with literature to establish the accuracy of the procedure described. This work will provide a numerical basis for the design of FG microstructures in the field of micromechanics. These results can be applied to the engineering design of porous FG microstructures.

Keywords: DQGM, 2D-FG microbeam, porosity, couple stress, vibration and buckling.

1 Introduction

Rapid development of new material components has become necessary due to the expanding manufacturing demands in the aerospace, automotive and marine industries. By enlarging the range of the advanced materials that industrial scientists may create to satisfy the demands of mechanical characteristics such as enhanced stiffness and low density, etc. Researchers were attracted to the functionally graded materials (FGMs) to improve their performance and characteristics in the required directions as compared to conventional homogeneous materials. By adjusting the material characteristics of FGM during production, which will withstand exposure to severe environmental conditions, desired advanced mechanical properties may be attained. This is why industrialists and researchers are interested in examining how FGM construction functions when considering static, buckling and dynamic loads.

As it is known in structural engineering, most of structural components such as beams, plates and shells are generally thick and the presence of shear deformations is unavoidable. Researchers frequently refer to the first-order shear deformable beam theory (FSBT), higher-order shear deformable beam theory (HSBT), and shear and normal deformable beam theory also known as quasi-3D theory are well-used by researchers. The FSBT is the most straightforward model, but it requires a shear correction factor since it does not satisfy the zero traction boundary criteria at the top and bottom surfaces of the beam [1, 2]. As a result, the HSBT theories were proposed, which improved the transverse shear stress distribution and consequently eliminating the requirement for a shear correction factor (SCF) [3]. However, the normal strain or stretch effects which becomes very important and should be considered for thick typical FGBs, is not taken into account by HSBT theories. As a result, quasi-3D theories [4, 5] that consider the shear and stretching effects are generated using the assumption of higher order variation of both axial and transverse displacements. Conventional FGBs (or 1D-FGBs) designed by varying material characteristics just in one direction sometimes may not meet necessary requirements, such as the temperature, hygrothermal and stress distributions in two or three directions for specific advanced construction such aircraft vehicles and shuttles [6]. To address this shortcoming of the traditional FGBs, researchers have recently focused their attention on a novel type of FGB with material properties that vary in two or three dimensions. In [7], a method based on the Element Free Galerkin method is provided for the simulation and optimization of the vibration response of bidirectional functionally graded beams. Semi-analytical elasticity solutions for the bending and thermal deformations of BDFGBs with varying end conditions are obtained by employing the state-space based differential quadrature approach in [8]. [9] investigated the flexure behaviour of the two directions FG sandwich beams using a quasi-3D theory and a Meshless approach. [10] explored the vibrational responses of 2D-FG Timoshenko beams excited by a moving concentrated load based on combination between finite element and Newmark method. Using the Galerkin approach, the bending vibration of bi-directionally exponentially orthotropic plates supported on the Pasternak elastic foundation were inspected by [11]. More recently, [12] studied the effect of variable axial loads (VALs) on the maximum frequencies and buckling loads of bi-directional functionally graded beam. The beam was modelled by Reddy type higher shear deformation model and Ritz procedure was used to solve the system of governing equations related to the provided problem. [13] this paper proposes a new nonlocal higher-order hyperbolic shear deformation beam theory (HSBT) for the static bending and vibration of nanoscale-beams. [14] in this article, static deflection and buckling of functionally graded (FG) nanoscale beams made of porous material are carried out based on the nonlocal Timoshenko beam model which captures the small scale influences. [15] forced vibration analysis of a cracked functionally graded microbeam is investigated by using modified couple stress theory with damping effect. [16] in this study, static bending of an edge cracked cantilever nanobeam composed of functionally graded material (FGM) subjected to transversal point load at the free end of the beam is investigated based on modified couple stress theory. [17] in this work, dynamic behaviour of functionally graded (FG) porous nano-beams is studied based on nonlocal nth-order shear deformation theory which takes into the effect of shear deformation without considering shear correction factors. [18] the bending, stability (buckling) and vibration response of nano sized beams is presented in this study based on the Eringen’s nonlocal elasticity theory in conjunction with the Euler-Bernoulli beam theory. [19] this paper presents a new nonlocal Hyperbolic Shear Deformation Beam Theory (HSDBT) for the free vibration of porous Functionally Graded (FG) nanobeams. [20] this study explores the linear and nonlinear solutions of sigmoid functionally graded material (S-FGM) nanoplate with porous effects. [21] this paper presents sets of explicit analytical equations that compute the static displacements of nanobeams by adopting the nonlocal elasticity theory of Eringen within the framework of Euler Bernoulli and Timoshenko beam theories. [22] investigated the dynamic and buckling response of bidirectional graded material beams (BDFB) with transverse cracks. [23] this work explores the free vibratory behaviour of imperfect BD-FG microbeams with a crack using the Quasi-3D shear and normal deformation beam concept, MCST, and DQFEM. [24] the study aims to investigate the dynamic response of a tapered rotor shaft system made of ceramic-metal materials using the differential quadrature finite elements method (DQFEM). The purpose of the investigation is to identify natural frequencies for modelling and analysis of the structure. [25] employs the h-p hybrid finite element method to perform dynamic analysis of a symmetrical on-board rotor on mobile dimensionally stable supports.

Recently, materials with a porous structure have attracted the attention of several researchers because of their special mechanical characteristics. The presence of porosity can affect the functionally graded materials and have a great advantage like good protection from temperature, good insulation of sound and a very good absorption of energy and electromagnetic waves. In the literature, one can find various researches on porous structures. Among the first works in this field, we find the works of [26], who worked on the impact of the presence of porosities in functionally graded materials realized by a process of sequential infiltration in several stages. They determined that it is important to consider the porosity effect when designing and studying the behaviour of FGM structures. In another study, [27] investigated the nonlinear and linear dynamic responses of FGM beams made of porous materials and taking in consideration the fixed boundary supports. [28] presented an analysis on the buckling of a circular shaped plate made of porous metallic foam material. [29] made a study on the elastic buckling and the static bending of porous beams made of metal foam via the theory of Timoshenko’s beam. In their work [30], they also studied the non-linear free vibrations of a porous foam metal sandwich beam. [31] did a work on the free vibration of thick rectangular plates made of porous metal foam using the unified Carrera formulation. [32] examined the post-buckling behaviour of metal foam nanobeams with imperfect geometry. [14] investigated the static deflection and buckling of functionally graded (FG) nanoscale beams in porous material and are made based on the nonlocal Timoshenko beam model that captures small-scale influences. [33] investigated the stability and dynamic behaviour of porous cell plates with uniform and non-uniform porosity variations using first-order shear deformation theory. [34] investigated the thermomechanical performance of porous FG beams subjected to various thermal loads with two distinct porosity distributions using the improved four-variable shear-strain beam theory. With new technological advancements, extreme requirements based on the use of micro/nano electromechanical systems (MEMS/NEMS) such as actuators, thin films, sensors, probes, etc. have been raised by different industries [35]. However, experiments indicate that the mechanical behaviour of micro/nano elements cannot be studied by classical continuum theories (CCT), due to their limitations in capturing the scaling effect. More reliable prediction can be obtained using higher order continuum theories (HOCT) in which additional hardware parameters and scales are required [36]. In order to study the size effect in micro and nano structures, in the literature, several have proposed non-classical theories of continuum mechanics. Among these theories is the work of [37] who presented a high order non-local strain-gradient and elasticity theory that take in to account high order stress gradients and the non -locality of the deformation gradient. The theory of strain gradient elasticity was introduced by the work of [38], hence the density of potential energy depends on the first and second gradients of the deformation. [39] made an observation on the effect of the size of the structure when it is reduced to the micro/nano scale, from the experimental results, which allowed the application of the order equilibrium conditions to strain gradient elasticity theory and the number of independent elastic length scale parameters is reduced from five to three, [39] suggested a Modified Stress Gradient Theory (MSGT), from which a new upper-order measurements were used to characterise stress gradient behaviours. This theory proposes that the strain energy density is dependent on the symmetric strain, deviatoric stretch gradient and symmetric rotation gradient tensors, and also the dilation gradient vector. Within the framework of the modified deformation gradient theory, several researchers have studied the behaviours of vibration, buckling and bending of micro-structures, such as [4043]. In the scientific research literature, some researchers have studied the mechanical characteristics of microbeams. For example, [44] analysed free vibration and static bending of microbeams with functional gradient material using modified torque stress theory and the theory of higher order beam. Based on theory of amended torque stress, the effect of temperature on the free vibrations and the buckling of microbeams has been treated by [45]. Using the theory of non-local elasticity and the theory of Timoshenko’s beam, [46] have investigated the bending of isotropic microbeams. furthermore [47] analysed a porous microbeam model for vibration analysis based on modified stress gradient theory and sinusoidal beam theory via the method Analytics from Navier’s. Most of the above works have used analytical or experimental methods in their studies. And also, some have used numerical methods such as the generalized differential quadrature method [48]. There is also the work of [49] who investigate free vibration analysis of functionally graded porous microplates with shear and normal deformation via the classical finite element method. [50] investigated the vibrational and critical circular speed characteristics of a functionally graded (FG) rotary micro-disk using a nonlocal continuum model called the modified couple stress (MCS) model. For deriving and solving non-classical final relations, the generalized differential quadrature (GDQ) approach and variational method are used. [51] studied the stability of cantilevered curved microtubules in axons using various size elements and the generalized differential quadrature method to solve equations. Recently a new combination between the hierarchical finite element method and the generalized differential quadrature method was applied for the study of the dynamic response of an onboard rotor [52], this method was used for the first time in the work of [53] for the applications to vibrations and bending of Mindlin plates with curvilinear domains. [54] presented a dynamic finite elements procedure capable of analysing the dynamic behaviour of perforated Timoshenko microbeams in thermal environment and subjected to moving mass for the first time. [55] investigated the behaviour of the nonlinear flexural free vibration micro beams with reinforcement of graphene platelets via the classical finite element method coupled with trigonometric shear flexible beam model. [56] investigated a comparative study of various formulations with a weak form of quadrature element method. [57] used a quasi-3D theory for free vibration analysis of FG microbeams to investigate the effect of porosity distribution form. Based on the uneven porosity distribution of the porous FG materials, [49] used the classical finite element approach to investigate the size-dependent natural frequencies of functional gradient shear (FG) and normal deformable porous square microplates. [58] examined the size-dependent free vibration of porous nanoplates resting on a Kerr foundation in a hygrothermal environment. The material properties of functionally graded (FG) porous nanoplates are supposed to change continuously in the thickness direction, with three different porosity patterns, according to the modified power-law model. [59] combined a classical finite element method and the transverse shear-normal deformable beam theory (TSNDBT) for the dynamics and stability analysis of bidirectional FG microbeam with 2D porosity and variable material length scale. [60] studied the vibration behaviour of 2D-FG nano and microbeams made of porous materials, via the generalized differential quadrature method (GDQM) based on Timoshenko beam. [61] studied the buckling behaviour of 2D-FG nano and microbeams made of porous materials, via the generalized differential quadrature method (GDQM) based on Euler Bernoulli beam.

What can be seen from the works cited above and others existing in the literature is that studies on beams in graded materials are the basis of numerical resolution methods such as finite element, isogeometric, DQM and analytical like Ritz and Navier method with limitations. Furthermore, no research has been conducted in the literature yet that involves the free vibration analysis of BDFG microbeams by using a semi-numerical procedure to solve the governing equations of motions more efficiently, such as the named Differential Quadrature Galerkin method (DQGM), which combines the efficiency of quadrature for integration and calculation speed and the semi-analytical part which provides the precision of the obtained results and the variable boundary conditions. Hence, this paper is devoted to investigating the free vibration and buckling responses of bi-directional FG porous microbeams in combination with quasi-3D beam theory by employing a robust semi-analytical procedure named Differential Quadrature Galerkin Method (DQGM) as a combination of the Differential Quadrature Method (DQM) and the semi-analytical Galerkin method, which has used to reduce computational cost for problems in engineering design. The material characteristics of the FG beam change according to a power law along both thickness and axial axes. The Lagrange’s principle is used to generate the governing equations. The mass, geometric and stiffness matrices are calculated using the weighting coefficient matrices given by the differential quadrature (DQ) and Gauss-Lobatto quadrature rules. The matrices are expressed in a similar form to that of the Differential Quadrature Method by introducing an interpolation basis on the element boundary of the Galerkin method. The sampling points are determined by the Gauss-Lobatto node method. The collected results are compared to the existing results in the literature to check the accuracy of the presented method. The influence of FG beam material gradient indices, length to thickness ratios, boundary conditions, and other characteristics on the frequency and buckling load of BDFG beams are thoroughly examined and analysed.

2 Formulation and Theories

2.1 Model of Porous 2D-FG Microbeam

In this work, we consider a bidirectionally porous functionally graded material micro-beam with the following geometric properties: a length L, a width b, and a thickness h, as shown in Figure 1.

images

Figure 1 Geometry of porous bidirectional FG microbeam.

Assume that the FG porous microbeam is composed of a mixture of metal on the bottom surface z=-h/2, and ceramic on the top surface z=h/2. Moreover, the material parameters are assumed to vary continuously along the thickness and length directions. It also includes the influence of porosities in the production process of functionally graded porous materials. The porosity distribution in the FG microbeam is assumed across the thickness direction, according to the porosity with even distribution. The distributions of the material properties of the FG porous microbeam take the form according to the following equations:

solideFGM:P(z) =(Pc-Pm)(zh+12)kz(xL)kx+Pm (1)
Even:P(z) =(Pc-Pm)(zh+12)kz(xL)kx+Pm-α02(Pc+Pm) (2)

Where Pm, Pc, indicate materials properties such as the young’s modulus, mass density, Poisson’s ratio, and VMLSP. The indices c and m indicate ceramic and metal respectively. kz,kx are the power-law volume fraction index that defines the FG material variation characterization through the thickness and the length of the microbeam. The coefficient α0(α01) is the volume fraction of the porosity distribution to determine the porosity void size.

2.2 Strain Gradient Elasticity Theory

According to the Modified Couple Stress Theory (MCST) of [62], the strain, kinetic, and potential energies will be employed to develop the governing equations of the porous microbeam:

U=120LA(σijεij+mijsχijs)dAdx (3)

Hence εij, and χijs represents respectively the strain tensor, and the rotationally symmetric gradient tensor which are defined by the following equations, a subscripted comma is used to denote the derivative with respect to the followed variable.

εij=12(ui,j+uj,i) (4)
χijs=12(θi,j+θj,i) (5)
θi=12eijkuk,j (6)

Where ui, θi are the components of displacement vector, the components of rotation vectors, the Kronecker delta and the permutation symbols, respectively.

σij=λεmmδij+2μεij (7)
mijs=2μl22χijs (8)

σ is are the classical stress tensor, and ms is the higher order strain tensors.

The independent parameters of symmetrical rotational gradients-related material length scale are represented by l.

μ=E2(1+ν) (9)
λ=Eν(1-ν2) (10)

Hence μ and λ are the Lame constants, and ν is the Poisson’s ratio.

2.3 Kinematics Formulation

Based on a Quasi-3D beam theory, the displacement field at any arbitrary location on the microbeam is assumed to be stated as follows in the current work [63]:

{u1(x,z,t)=u(x,t)-zdwbdx+f1(z)dwsdxu2(x,z,t)=0u3(x,z,t)=wb(x,t)+ws(x,t)+f2(z)wz(x,t) (11)

According to this theory, the transverse displacement is divided into three parts wb, ws and wz.

Where u, wb, ws and wz are respectively, the displacement in the plane in the directions x-, the bending, shear and normal components of the transverse displacement of the points on the neutral axis of the beam. Our choice of functions is determined based on shear function given by Reddy Equation (12) knowing that f2(z)=1+df1dz(z):

f1(z)=-4z33h3 (12)

By introducing Equation (11) into Equation (4), we obtain the non-zero deformation torsor components:

{ε11=dudx-zd2wbdx2+f1d2wsdx2ε33=df2dzwzγ13=(1+df1dz)dwsdx+f2dwzdx (13)

By replacing Equation (13) in (7) we obtain the strain tensor:

{σ11=(E1-ν2)ε11+(Eν1-ν2)ε33σ13=(E1-ν2)(1-ν2)γ13σ33=(Eν1-ν2)ε11+(E1-ν2)ε33 (14)

Introducing Equation (11) into (6) gives:

{θ1=0θ2=12(-2dwbdx-(1-df1dz)dwsdx-f2dwzdx)θ3=0 (15)

The components non-zero of rotationally symmetrical gradient tensor χs are obtained by replacing Equation (15) in Equation (5):

{χ23s=χ32s=14(d2f1dz2dwsdx-df2dzdwzdx)χ12s=χ21s=14(-2d2wbdx2-(1-df1dz)d2wsdx2-f2d2wzdx2) (16)

Replacing Equation (16) in Equation (8) gives the non-zero higher order constraints mijs such as:

{m23s=m32s=E(1+ν)l22χ23sm12s=m21s=E(1+ν)l22χ12s (17)

The substitution of Equations (11)–(17) in Equation (3):

U =120L(J1(dudx)2-2J2dudxd2wbdx2+2J3dudxd2wsdx2
-2J4d2wbdx2d2wsdx2+J5(d2wbdx2)2+J6(d2wsdx2)2
+J7wz2+2J8dudxwz-2J9d2wbdx2wz+2J9d2wsdx2wz
+J11(dwsdx)2+2J12dwsdxdwzdx+J13(dwzdx)2
+12J14(d2wbdx2)2+12J15d2wbdx2d2wsdx2+18J16(d2wsdx2)2
+14J17d2wsdx2d2wzdx2+12J18d2wbdx2d2wzdx2+18J19(d2wzdx2)2
+18J20(dwsdx)2+18J21(dwzdx)2-14J22dwsdxdwzdx)dx (18)

With:

{{I1:7}=b-h2h2(E1-ν2)(1,z,f1,zf1,z2,f12,(df2dz)2)dz{I8:10}=b-h2h2(Eν1-ν2)df2dz(1,z,f1)dz{I11:13}=b-h2h2(E2(1+ν))((1+df1dz)2,f2(1+df1dz),f22)dz{J14:22}=b-h2h2(E(1+ν)l2(1,(1-df1dz),(1-df1dz)2,f2(1-df1dz),f2,f22,(d2f1dz2)2,(df2dz)2,d2f1dz2df2dz))dz (19)

The potential energy is given as follow:

V=-120LN0[(dwbdx)2+(dwsdx)2+2dwbdxdwsdx]dx (20)

The Kinetic Energy can be written as:

T=120lAρ[u˙12+u˙22+u˙32]dAdx (21)

By replacing Equation (11) in Equation (21) we obtain the final form of the kinetic energy:

T =120l[J1(u˙2+w˙b2+w˙s2+2w˙bw˙s)-2J2u˙dw˙bdx+2J3u˙dw˙sdx
-2J4dw˙bdxdw˙sdx+J5(dw˙bdx)2+J6(dw˙sdx)2
+J7w˙z2+2J8(w˙bw˙z+w˙sw˙z)]dx (22)

Hence the mass moments of inertia are given by:

{J1,J2,J3,J4,J5,J6,J7,J8}
  =b-h2h2ρ(1,z,f1,zf1,z2,f12,f22,f2)dz (23)

2.4 Differential Quadrature Galerkin Formulation

The derivative of a function at a point is approximated by a weighted linear sum of field variables along a line through the spot using established DQ criteria. Any other complete basis, besides to Lagrange functions, can be utilized to formulate DQ rules [52, 64, 65].

As a result, the order n derivative of a field variable g(x) at a discrete location xi can be represented as:

ng(x,t)xn|xi=j=1NAij(n)g(xj,t)(i=1,2,3,,N) (24)

With Aij(n) is the weighting coefficient related to the derivative of order n, and the weighting coefficient is obtained by the following.

If n=1, then

Aij(1)=M(xi)(xi-xj)M(xj)ij,i,j=1,2,,NAii(1)=-j=1,jinAij(1)i=1,2,,N (25)

With

M(xi) =k=1,kiN(xi-xk) (26)
M(xj) =k=1,kiN(xj-xk)

If n>1, the second and higher order derivatives, the weighting coefficients are determined using the following simple recurrence relation:

Aij(n)=n(Aij(1)*Aii(n-1)-Aij(n-1)(xi-xj))ij,i,j=1,2,,N,n>1Aii(n)=-j=1,jiNAij(n)i=1,2,,N (27)

The Gauss-Lobatto quadrature rules theory can be found in the mathematical literature; The Gauss-Lobatto quadrature rule with a degree of accuracy. (2n-3) for the function g(x) defined in [-1, 1] is:

-11f(x)dx=j=1NCjg(xj) (28)

With the weighting coefficient Cj of the Gauss-Lobatto integration is given by:

C1=CN=2N(N-1),Cj=2N(N-1)[PN-1(xj)]2(j1,N) (29)

xj is the (j-1) zero of the first order derivative of PN-1(x). We will utilize the recursion formula as Equations (30) and (31) to solve the roots of Legendre polynomials; it is simple to find thousands of roots this way.

PN+1(x)=2N+1N+1xPN(x)-NN+1PN-1(x) (30)

With P0(x)=1, P1(x)=x. The n-order derivation of Legendre polynomials can be determined by the following equation:

PN+1(n)(x)=xPN(n)(x)+(N+n)PN(n)(x) (31)

In order to obtain a denser population near the boundaries, the sample points are selected according to the Gauss-Lobatto grid distribution of nodes.

xj=-cos(j-1N-1π) (32)

The Gauss-Lobatto nodes are solved with the Newton-Raphson iteration method.

xiT+1=xiT-F(xiT)-1F(xiT),iT=0,1, (33)
x=[x2,x3,,xN-1]T (34)
F(x)=[f(x2),f(x3),,f(xN-1)]T (35)
F(x)=[f(xj)xi](N-2)×(N-2) (36)
f(xj)=k-1,kjN1xj-xkj=2,3,,N-1 (37)
f(xj)xi={-k=1,kjN1(xj-xk)2,(i=j)1(xj-xi)2,(ij) (38)

The value of x at the iTth iteration step is denoted by k. This approach is less affected by the starting value. As beginning values, the values given by Equation (32) are employed.

In this section we aim to illustrate the use of DQGM through the microbeam.

According to the Galerkin method, the displacement functions u(x,t), wb,s,z(x,t) are assumed respecting the boundary conditions as follows:

{u[x(ξ)]=m=1N[UmdXmdt]ejωtwb[x(ξ)]=m=1N[BmXm]ejωtws[x(ξ)]=m=1N[SmXm]ejωtwz[x(ξ)]=m=1N[ZmXm]ejωt (39)

With Xm is the shape functions at m mode as given by Equation (2.4). The number N of sampling points is equal to m maximum number of shape modes. Where r,p, and q are index coefficients for different boundary conditions BCs. The values of r,p, and q are given for each boundary condition by Table 1.

Xm=(-1)rsin(p+1)(mπx(ξ)L)(cos((2m-r)iπx(ξ)2L)-1)q

Table 1 Boundary conditions

Boundary Conditions S-S C-S C-C C-F
r 0 0 0 1
p 0 0 1 -1
q 0 1 0 1

The local coordinates are related to the dimensionless coordinates by the relation:

x=Le2(ξ+1)avec-1ξ1 (41)

The displacement vectors of the element are noted as follows:

{U¯T=[U1U2UN]ejωtWb¯T=[B1B2BN]ejωtWs¯T=[S1S2SN]ejωtWz¯T=[Z1S2SN]ejωt (42)

So, the equations of u[x(ξ)] and wb,s,z[x(ξ)] became:

{u(ξ)=[Nu]TU¯wb(ξ)=[Nw]TW¯bws(ξ)=[Nw]TW¯swz(ξ)=[Nw]TW¯z (43)

Therefore

T =[dX1(ξ)dtdX2(ξ)dtdX3(ξ)dtdX4(ξ)dtdXN(ξ)dt] (44)
[Nw]T =[X1(ξ)X2(ξ)X3(ξ)X4(ξ)XN(ξ)]

The Gauss-Lobatto node calculation ξj, j=1,2,,N. Defines the following displacement vectors:

{u¯T=[u(ξ1)u(ξ2)u(ξN)]w¯bT=[wb(ξ1)wb(ξ2)wb(ξN)]w¯sT=[ws(ξ1)ws(ξ2)ws(ξN)]w¯zT=[wz(ξ1)wz(ξ2)wz(ξN)] (45)

By replacing the Gauss-Lobatto nodes in Equation (45), we obtain the transfer matrices G, as follows:

{u¯T=GuU¯w¯b=GbW¯bw¯s=GsW¯sw¯z=GzW¯z (46)

Were

{Gu=[[Nu](ξ1)[Nu](ξ2)[Nu](ξN)]TGb=[[Nw](ξ1)[Nw](ξ2)[Nw](ξN)]TGs=[[Nw](ξ1)[Nw](ξ2)[Nw](ξN)]TGz=[[Nw](ξ1)[Nw](ξ2)[Nw](ξN)]T (47)

All knot distribution shapes for differencing and squaring are [-1, 1]. Therefore, in order to apply them in practice, the following modifications must be made to the differentiation and quadrature matrices,

C¯=L2C,A¯(1)=2LA(1),A¯(2)=4L2A(2) (48)

Where L is the length of the beam.

Equations (24)–(48) can be used to substitute energy Equations (2.3), (20), (2.3) and Lagrange’s equations to get the governing equations of motion.

[[[K]11[K]12[K]13[K]14[K]22[K]23[K]24[K]33[K]34sym[K]44]-ω2[[M]11[M]12[M]13[0][M]22[M]23[M]24[M]33[M]34sym[M]44]]
  {uwbwswz}=[0] (49)

Component of the mass matrix

{[M]11=C¯[J1GuGu][M]12=-C¯[J2GuA¯(1)Gb][M]13=C¯[J3GuA¯(1)Gs][M]22=C¯[J1GbGb+J5A¯(1)GbA¯(1)Gb][M]23=C¯[J1GbGs-J4A¯(1)GbA¯(1)Gs][M]24=C¯[J8GbGz][M]33=C¯[J1GsGs+J6A¯(1)GsA¯(1)Gs][M]34=C¯[J8GsGz][M]44=C¯[J7GzGz] (50)

The components of the strain matrix

{[K]11=C¯[I1A¯(1)GuA¯(1)Gu][K]12=-C¯[I2A¯(1)GuA¯(2)Gb][K]13=C¯[I3A¯(1)GuA¯(2)Gs][K]14=C¯[I8A¯(1)GuGz][K]22=C¯[(I5+12I14)A¯(2)GbA¯(2)Gb]-N0C¯[A¯(1)GbA¯(1)Gb][K]23=C¯[(14I15-I4)A¯(2)GbA¯(2)Gs]-N0C¯[A¯(1)GbA¯(1)Gs][K]24=C¯[-I9A¯(2)GbGz+14I18A¯(2)GbA¯(2)Gz][K]33=C¯[(I6+18I16)A¯(2)GsA¯(2)Gs+(I11+18I20)A¯(1)GsA¯(1)Gs]-N0C¯[A¯(1)GsA¯(1)Gs][K]34=C¯[I10A¯(2)GsGz+(I12-18I22)A¯(1)GsA¯(1)Gz+18I17A¯(2)GsA¯(2)Gz][K]44=C¯[J7GzGz+(J13+18J21)A¯(1)GzA¯(1)Gz+18J19A¯(2)GzA¯(2)Gz] (51)

3 Discussion of Results

A microbeam made of Aluminium/Silicon-carbide (Al/SiC) porous functionally graded material is studied in this section with MLSP based on (MCST). The material properties for the 2D-FG porous microbeam are assumed in the current analysis as follow. For the ceramic part the Young’s modulus Ec=427 GPa, the mass density ρc=3100 Kg/m3, Poisson’s ratio νc=0.17 and the MLSP lc=22.5 μm. For the metal part the Young’s modulus Em=70 GPa, the mass density ρc=2702 Kg/m3, Poisson’s ratio νc=0.3 and the MLSP lm=15 μm.

The following nondimensional parameters are introduced to simplify the results for the FG porous microbeam.

Dimensionless fundamental frequency (DFF) (ω¯)

ω¯=ωL2hρmEm (52)

Dimensionless critical buckling load (DCBL)

N¯=N012L2Ecbh3 (53)

Table 2 Convergence of DFF for the 2D-FG perfect microbeams with (L/h=5, h/l=2,lc=lm)

DFF
SS CC CF
kx=0 kx=2 kx=0 kx=2 kx=0 kx=2
N kz=0 kz=1 kz=0 kz=1 kz=0 kz=1 kz=0 kz=1 kz=0 kz=1 kz=0 kz=1
5 9.4677 7.1235 6.1753 5.1450 18.9728 6.9854 5.8526 4.9328 3.6629 2.7577 1.9311 1.7581
6 9.4764 7.1303 6.1844 5.1518 19.0126 14.6040 13.8354 11.2777 3.6449 2.7442 1.9264 1.7520
7 9.4841 7.1356 6.1922 5.1573 19.8321 15.0279 13.6209 11.1841 3.6470 2.7457 1.9272 1.7528
8 9.4839 7.1354 6.1920 5.1572 20.0446 15.1925 13.8070 11.3274 3.6471 2.7458 1.9272 1.7529
9 9.4837 7.1353 6.1918 5.1570 20.4773 15.5243 14.1865 11.6195 3.6471 2.7458 1.9272 1.7529
10 9.4837 7.1353 6.1918 5.1570 20.4428 15.4977 14.1563 11.5962 3.6471 2.7458 1.9272 1.7529
20 9.4837 7.1353 6.1918 5.1570 20.4428 15.4977 14.1563 11.5962 3.6471 2.7458 1.9272 1.7529
30 9.4837 7.1353 6.1918 5.1570 20.4428 15.4977 14.1563 11.5962 3.6471 2.7458 1.9272 1.7529

In the convergence section, we have two cases for convergence. The first case represented by Tables 23, illustrates the convergence results of both dimensionless fundamental frequency and dimensionless critical buckling parameters for a perfect 2D-FG microbeam for different fraction volume indices in both directions kx and kz, and different boundary conditions (SS, CC, CF). The second case represented by Tables 45 illustrates the same thing for porous 2D-FG microbeam. From the convergence results in Tables 25, the dimensionless fundamental frequency parameters and the dimensionless critical buckling parameters converges quickly with N sampling points equal 7 to 10 demonstrating the efficacy of the resolution approach used and to ensure a good validation with the literature. In the following, we will choose a number of sampling N = 20. Because according to the convergence results the frequency parameters have already been converged.

Table 3 Convergence of DCBL for the 2D-FG perfect microbeams with (L/h=5, h/l=2,lc=lm)

DCBL
SS CC CF
kx=0 kx=2 kx=0 kx=2 kx=0 kx=2
N kz=0 kz=1 kz=0 kz=1 kz=0 kz=1 kz=0 kz=1 kz=0 kz=1 kz=0 kz=1
5 19.7494 10.9941 8.3230 5.6687 66.2980 12.3510 8.3215 5.7955 5.6575 3.0077 1.5109 1.1943
6 21.3992 11.3913 8.3251 5.6684 70.0058 37.7366 33.6399 21.3966 5.5989 2.9763 1.5027 1.1854
7 21.3644 11.3711 8.3191 5.6621 71.5022 39.8331 30.0585 19.9139 5.6049 2.9795 1.5038 1.1864
8 21.3644 11.3711 8.3189 5.6621 74.5748 40.6761 30.8755 20.4216 5.6054 2.9797 1.5039 1.1865
9 21.3644 11.3711 8.3188 5.6620 74.4801 42.4066 32.5647 21.4701 5.6054 2.9797 1.5039 1.1864
10 21.3644 11.3711 8.3188 5.6620 74.3280 42.2676 32.4289 21.3857 5.6054 2.9797 1.5039 1.1864
20 21.3644 11.3711 8.3188 5.6620 74.3280 42.2676 32.4288 21.3857 5.6054 2.9797 1.5039 1.1864
30 21.3644 11.3711 8.3188 5.6620 74.3280 42.2676 32.4288 21.3857 5.6054 2.9797 1.5039 1.1864

Table 4 Convergence of DFF for the 2D-FG porous microbeams with (α0=0.1,L/h=5, h/l=2,lc=lm)

DFF
SS CC CF
kx=0 kx=2 kx=0 kx=2 kx=0 kx=2
N kz=0 kz=1 kz=0 kz=1 kz=0 kz=1 kz=0 kz=1 kz=0 kz=1 kz=0 kz=1
5 9.1735 6.6774 5.7397 4.5723 8.6878 6.6416 5.4394 4.4253 3.5424 2.5785 1.7130 1.5026
6 9.1819 6.6839 5.7488 4.5788 18.3682 13.7737 12.9366 10.1519 3.5251 2.5658 1.7100 1.4982
7 9.1895 6.6886 5.7565 4.5839 19.1594 14.0885 12.7201 10.0054 3.5271 2.5673 1.7106 1.4989
8 9.1893 6.6885 5.7563 4.5838 19.3634 14.2432 12.8980 10.1381 3.5272 2.5674 1.7106 1.4989
9 9.1891 6.6883 5.7561 4.5837 19.7788 14.5536 13.2606 10.4082 3.5272 2.5674 1.7106 1.4989
10 9.1891 6.6883 5.7561 4.5837 19.7456 14.5287 13.2317 10.3867 3.5272 2.5674 1.7106 1.4989
20 9.1891 6.6883 5.7561 4.5837 19.7456 14.5287 13.2317 10.3867 3.5272 2.5674 1.7106 1.4989
30 9.1891 6.6883 5.7561 4.5837 19.7456 14.5287 13.2317 10.3867 3.5272 2.5674 1.7106 1.4989

Table 5 Convergence of DCBL for the 2D-FG porous microbeams with (α0=0.1,L/h=5, h/l=2,lc=lm)

DCBL
SS CC CF
kx=0 kx=2 kx=0 kx=2 kx=0 kx=2
N kz=0 kz=1 kz=0 kz=1 kz=0 kz=1 kz=0 kz=1 kz=0 kz=1 kz=0 kz=1
5 16.7154 8.8517 6.4395 4.0023 18.1717 9.8853 6.4381 4.1677 4.7973 2.3685 1.0733 0.7838
6 18.1715 9.0011 6.4424 4.0030 55.9549 29.3196 26.8216 15.7731 4.7477 2.3438 1.0689 0.7787
7 18.1422 8.9847 6.4387 3.9990 59.0687 29.8650 23.4443 14.2340 4.7528 2.3463 1.0696 0.7793
8 18.1422 8.9847 6.4386 3.9989 60.3224 30.5182 24.0961 14.6094 4.7532 2.3465 1.0696 0.7794
9 18.1421 8.9847 6.4384 3.9988 62.8960 31.8466 25.4434 15.3848 4.7532 2.3465 1.0696 0.7794
10 18.1421 8.9847 6.4384 3.9988 62.6893 31.7392 25.3350 15.3223 4.7532 2.3465 1.0696 0.7794
20 18.1421 8.9847 6.4384 3.9988 62.6893 31.7392 25.3350 15.3223 4.7532 2.3465 1.0696 0.7794
30 18.1421 8.9847 6.4384 3.9988 62.6893 31.7392 25.3350 15.3223 4.7532 2.3465 1.0696 0.7794

Table 6 Comparative investigations for various aspect ratios and gradient indices based on the DFFs of C-C 2D-FG porous microbeams (α0=0.1,lm/h=0.15,lc=lm)

L/h kx Method kz=0 kz=1 kz=5 kz=10
12 0 Present (εz0) 23.2119 15.6230 12.9759 12.3695
[59] (FEM) 23.7744 15.8815 13.0625 12.4194
[60] (DQM) 23.4313 16.0784 13.4679 12.8762
1 Present (εz0) 15.8261 13.3166 12.1570 11.8483
[59] (FEM) 15.7363 13.3487 12.1727 11.8631
[60] (DQM) 15.9708 13.7593 12.6711 12.1504
5 Present (εz0) 12.3370 11.8131 11.5620 11.4759
[59] (FEM) 12.4628 11.9103 11.6172 11.5206
[60] (DQM) 12.8238 12.3764 12.1504 12.0730
18 0 Present (εz0) 24.0368 16.1882 13.2853 12.6650
[59] (FEM) 24.2657 16.2084 13.3671 12.7092
[60] (DQM) 24.0340 16.4872 13.8296 13.2224
1 Present (εz0) 16.1570 13.6011 12.4379 12.1214
[59] (FEM) 16.1678 13.6281 12.4439 12.1274
[60] (DQM) 16.3903 14.1134 13.0049 12.4664
5 Present (εz0) 12.6136 12.0763 11.8235 11.7343
[59] (FEM) 12.7278 12.1625 11.8697 11.7709
[60] (DQM) 13.1532 12.6933 12.4664 12.3870

Table 7 Comparative investigations for various aspect ratios and gradient indices based on the DCBLs of C-C 2D-FG porous microbeams (L/h=40,h/lm=5,lc=lm)

α0 kx Method kz=0 kx=0.1 kx=0.5 kx=2 kx=6
0 0 Present (εz0) 43.5651 41.5934 36.8637 32.4295 30.3817
[59] (FEM) 46.9072 44.6636 39.2169 33.9166 31.3078
[61] (DQM) 48.8871 45.1740 40.7701 35.3948 32.6857
2 Present (εz0) 32.3204 31.6331 30.0452 28.5777 27.7830
[59] (FEM) 32.8990 32.6283 30.7448 29.1715 28.3059
[61] (DQM) 36.1409 35.5350 34.0439 32.2045 31.1965
6 Present (εz0) 29.3430 28.9955 28.2020 27.4686 27.0524
[59] (FEM) 29.6824 29.3969 28.6935 27.9522 27.5283
[61] (DQM) 33.9679 33.5835 32.6386 31.4597 30.8114
0.1 0 Present (εz0) 39.3220 37.3459 32.5840 28.1240 26.1475
[59] (FEM) 43.4190 41.1079 35.5980 30.2177 27.6552
[61] (DQM) 43.0365 41.3188 36.8804 31.4834 28.7908
2 Present (εz0) 28.1184 27.4314 25.8416 24.3796 23.6016
[59] (FEM) 29.2270 28.6101 27.0997 25.5398 24.6934
[61] (DQM) 32.2281 31.6270 30.1478 28.3310 27.3355
6 Present (εz0) 25.1569 24.8097 24.0170 23.2882 22.8783
[59] (FEM) 26.0302 25.7533 25.0675 24.3385 23.9256
[61] (DQM) 30.0860 29.7043 28.7663 27.5988 26.9563

In order to examine the current models, a comparative study of dimensionless fundamental frequency and dimensionless critical buckling is first carried out with the literature. For a 2D-FG porous microbeam in Tables 67 with lc=lm. The material properties for the 2D-FG porous microbeam are assumed in the current validation analysis as follow. For the ceramic part the Young’s modulus Ec=349.55 GPa, the mass density ρc=3800 Kg/m3, Poisson’s ratio νc=0.24, and the MLSP lc=22.5 μm. For the metal part the Young’s modulus Em=201.04 GPa, the mass density ρc=8166 Kg/m3, Poisson’s ratio νc=0.3262, and the MLSP lm=15 μm. The following nondimensional parameters are introduced to simplify the results for the first validation:

ω¯=ωL2ρcAEcI,A=b-h2h2dz,I=b-h2h2z2dz (54)

For the validation of the accuracy of the results obtained in this work with other research works in the literature, Tables 67 present the results provided from the current DQGM method compared with the classical finite elements method used in the work [59] and with the differential quadrature method (DQM) used in the work [60] and [61].

As shown in Table 6, the DFFs of 2D-FG CC porous microbeams are computed for various aspect ratios, kz and kx. The numerical results are validated with those reported by [60] based on TBT via DQM and [59] based on TSNDBT via FEM. We can notice that the results are slightly close.

By addressing the buckling issue of an imperfect CC microbeam made of 2D-FG materials for various aspect ratios, kz, kx, and the microporosity volume fraction coefficients as presented in Table 7, validation experiments are still ongoing in this section.

The results presented in [61] based on the EBT formulation and that in [59] are used for comparison with the results calculated by the present theory via DQGM. It is found that the stiffness of the porous Euler-Bernoulli 2D-FG microbeam is significantly higher than that modelled based on the present theory. It is well known that in EBT, a beam behaves more rigidly than in TBT, RBT and HBT. The current tabulated results and those published in the open literature are pretty close, with only a little gap difference, suggesting that the resolution approach used in this investigation is valid.

Table 8 DFFs of 2D-FG perfect microbeams for various volume fraction index, aspect ratios and boundary conditions. With h/lm=2

α0=0 SS CC CF
kz kx kx kx
0 0.5 1 2 0 0.5 1 2 0 0.5 1 2
L/h=5
lc=lm 0 9.4837 8.2524 7.3666 6.1918 20.4428 17.4664 15.9081 14.1563 3.6471 2.7957 2.3521 1.9272
0.5 7.9698 7.0228 6.3557 5.4974 17.2490 14.9487 13.7595 12.4488 3.0694 2.4316 2.1080 1.8077
1 7.1353 6.3677 5.8340 5.1570 15.4977 13.6147 12.6496 11.5962 2.7458 2.2397 1.9864 1.7529
2 6.2811 5.7177 5.3282 4.8355 13.6779 12.2707 11.5511 10.7699 2.4174 2.0554 1.8733 1.7032
lclm 0 12.4084 10.0357 8.5782 6.8484 26.9470 21.5383 19.1264 16.5992 4.7544 3.2582 2.6137 2.0412
0.5 9.8244 8.1503 7.1171 5.9042 21.3801 17.5062 15.7542 13.9279 3.7713 2.7243 2.2716 1.8772
1 8.5882 7.2422 6.4185 5.4640 18.7983 13.0357 14.2049 12.7308 3.2927 2.4640 2.1098 1.8043
2 7.3352 6.3410 5.7387 5.0468 16.1510 13.7537 12.6803 11.5772 2.8105 2.2117 1.9576 1.7378
L/h=10
lc=lm 0 9.8052 8.5491 7.6256 6.3923 22.2393 19.0190 17.3669 15.5212 3.6895 2.8236 2.3740 1.9441
0.5 8.2373 7.2714 6.5771 5.6773 18.7267 16.2497 14.9971 13.6261 3.1053 2.4564 2.1283 1.8243
1 7.3731 6.5917 6.0377 5.3290 16.7780 14.7750 13.7710 12.6820 2.7785 2.2634 2.0062 1.7696
2 6.4944 5.9225 5.5192 5.0037 14.7883 13.3219 12.5867 11.7902 2.4475 2.0783 1.8929 1.7204
lclm 0 12.8044 10.3754 8.8618 7.0590 29.0916 23.2942 20.7529 18.1097 4.8049 3.2878 2.6360 2.0577
0.5 10.1408 8.4277 7.3552 6.0905 23.0701 18.9320 17.0929 15.1897 3.8122 2.7502 2.2919 1.8934
1 8.8570 7.4836 6.6316 5.6388 20.1866 16.8500 15.3736 13.8570 3.3288 2.4880 2.1293 1.8205
2 7.5618 6.5517 5.9313 5.2137 17.2681 14.7980 13.7092 12.5956 2.8422 2.2342 1.9765 1.7541
L/h=20
lc=lm 0 9.8939 8.6314 7.6973 6.4473 22.8124 19.5157 17.8369 15.9658 3.7005 2.8308 2.3795 1.9484
0.5 8.3112 7.3404 6.6384 5.7267 19.1969 16.6650 15.3949 14.0084 3.1145 2.4628 2.1335 1.8285
1 7.4386 6.6538 6.0940 5.3763 17.1843 15.1450 14.1312 13.0345 2.7870 2.2695 2.0113 1.7739
2 6.5533 5.9793 5.5721 5.0502 15.1414 13.6587 12.9211 12.1228 2.4552 2.0841 1.8980 1.7249
lclm 0 12.9116 10.4686 8.9393 7.1162 29.7467 23.8409 21.2660 18.5946 4.8178 3.2954 2.6416 2.0619
0.5 10.2271 8.5041 7.4206 6.1414 23.5930 19.3793 17.5176 15.5961 3.8227 2.7568 2.2971 1.8975
1 8.9301 7.5500 6.6901 5.6866 20.6127 17.2309 15.7430 14.2186 3.3380 2.4942 2.1343 1.8246
2 7.6233 6.6095 5.9842 5.2594 17.6085 15.1236 14.0344 12.9228 2.8502 2.2399 1.9813 1.7583

Table 9 DCBLs of 2D-FG perfect microbeams for various volume fraction index, aspect ratios and boundary conditions. With h/lm=2

α0=0 SS CC CF
kz kx kx kx
0 0.5 1 2 0 0.5 1 2 0 0.5 1 2
L/h=5
lc=lm 0 21.5394 15.7731 12.3123 8.5085 74.3460 52.3401 42.3229 32.4698 5.6200 3.2651 2.2891 1.5127
0.5 15.0619 11.3846 9.1618 6.7123 51.8550 37.8416 31.4056 25.0554 3.9329 2.4268 1.7981 1.2967
1 12.3191 9.5187 7.8206 5.9462 42.2676 31.6213 26.7136 21.8666 3.2207 2.0715 1.5897 1.2049
2 9.8255 7.8190 6.5974 5.2454 33.4320 25.8719 22.3745 18.9189 2.5765 1.7492 1.4004 1.1211
lclm 0 36.8582 23.2878 16.6715 10.4021 130.4227 80.0779 61.4818 44.8110 9.5422 4.4299 2.8235 1.6955
0.5 22.6369 15.2112 11.4272 7.7262 79.6303 51.8805 41.1703 31.3704 5.8713 3.0304 2.0822 1.3970
1 17.4753 12.1535 9.3937 6.6599 61.7298 41.5238 33.6190 26.3375 4.5272 2.4855 1.7867 1.2754
2 13.0330 9.4770 7.5966 5.7063 46.1507 32.3916 26.9307 21.8675 3.3746 2.0063 1.5241 1.1662
L/h=10
lc=lm 0 22.4798 16.5314 12.8761 8.8374 86.1575 60.7634 49.3956 38.2265 5.6828 3.2910 2.3039 1.5208
0.5 15.7318 11.9358 9.5870 6.9832 60.2474 44.0242 36.7129 29.5117 3.9778 2.4472 1.8108 1.3049
1 12.8827 9.9893 8.1927 6.1967 49.2764 36.9113 31.3193 25.8049 3.2585 2.0899 1.6020 1.2134
2 10.3062 8.2258 6.9283 5.4825 39.3021 30.4319 26.4039 22.4268 2.6089 1.7665 1.4128 1.1303
lclm 0 38.1689 24.2205 17.2984 10.7297 147.4327 91.0802 70.4593 51.9840 9.6290 4.4574 2.8378 1.7027
0.5 23.4853 15.8517 11.8866 7.9964 90.5474 59.3571 47.4411 36.5415 5.9276 3.0515 2.0945 1.4044
1 18.1088 12.6582 9.7729 6.9014 69.9010 47.4318 38.7010 30.6480 4.5692 2.5033 1.7980 1.2830
2 13.4983 9.8726 7.9110 5.9260 52.1320 37.0268 31.0424 25.4716 3.4054 2.0217 1.5349 1.1742
L/h=20
lc=lm 0 22.7313 16.7354 13.0273 8.9246 89.9194 63.4521 51.6733 40.1082 5.6988 3.2975 2.3077 1.5229
0.5 15.9110 12.0842 9.7011 7.0552 62.9272 46.0016 38.4241 30.9674 3.9892 2.4523 1.8141 1.3069
1 13.0338 10.1161 8.2928 6.2635 51.5307 38.6149 32.8134 27.0967 3.2681 2.0946 1.6051 1.2155
2 10.4358 8.3359 7.0176 5.5460 41.2247 31.9242 27.7292 23.5887 2.6172 1.7709 1.4159 1.1326
lclm 0 38.5159 24.4690 17.4647 10.8157 152.6755 94.5032 73.2880 54.2921 9.6510 4.4643 2.8415 1.7046
0.5 23.7105 16.0228 12.0090 8.0677 93.9412 61.7013 49.4302 38.2119 5.9419 3.0568 2.0976 1.4063
1 18.2768 12.7930 9.8739 6.9653 72.4351 49.2854 40.3148 32.0411 4.5799 2.5078 1.8009 1.2849
2 13.6218 9.9785 7.9949 5.9843 53.9930 38.4909 32.3571 26.6424 3.4133 2.0256 1.5376 1.1762

Table 10 DFFs of 2D-FG porous microbeams for various volume fraction index, aspect ratios and boundary conditions. With h/lm=2

α0=0 SS CC CF
kz kx kx kx
0 0.5 1 2 0 0.5 1 2 0 0.5 1 2
L/h=5
lc=lm 0 8.9109 7.6199 6.6555 5.3047 19.1067 15.9847 14.2864 12.2944 3.4192 2.5056 1.9994 1.4691
0.5 7.2257 6.1920 5.4324 4.3966 15.6050 13.0912 11.7353 10.1713 2.7725 2.0623 1.6755 1.2819
1 6.2098 5.3540 4.7335 3.9038 13.5052 11.4014 10.2791 8.9993 2.3772 1.8014 1.4938 1.1863
2 5.0869 4.4577 4.0092 3.4200 11.1566 9.5758 8.7430 7.8015 1.9424 1.5305 1.3147 1.0988
lclm 0 11.5404 9.1214 7.6202 5.7775 25.0084 19.5199 17.0596 14.4255 4.4118 2.8747 2.1923 1.5413
0.5 8.8371 7.0925 5.9954 4.6532 19.2285 15.2103 13.3666 11.3894 3.3808 2.2806 1.7832 1.3145
1 7.4780 6.0494 5.1577 4.0845 16.4128 13.0702 11.5457 9.9243 2.8535 1.9660 1.5705 1.2044
2 6.0303 4.9581 4.3020 3.5304 13.3727 10.8116 9.6604 8.4480 2.2946 1.6437 1.3621 1.1039
L/h=10
lc=lm 0 9.2157 7.8984 6.8906 5.4695 20.8459 17.4506 15.6407 13.5318 3.4606 2.5309 2.0176 1.4813
0.5 7.4639 6.4087 5.6172 4.5307 16.9361 14.2163 12.7794 11.1343 2.8059 2.0834 1.6912 1.2929
1 6.4091 5.5363 4.8919 4.0240 14.5675 12.3168 11.1404 9.8103 2.4065 1.8209 1.5086 1.1970
2 5.2499 4.6095 4.1456 3.5308 11.9537 10.2987 9.4451 8.4899 1.9682 1.5487 1.3291 1.1095
lclm 0 11.9023 9.4290 7.8689 5.9464 27.0010 21.1289 18.5345 15.7759 4.4603 2.9013 2.2109 1.5533
0.5 9.1120 7.3280 6.1891 4.7896 20.7083 16.4189 14.4790 12.4133 3.4185 2.3026 1.7991 1.3254
1 7.7005 6.2424 5.3201 4.2045 17.5430 14.0189 12.4327 10.7585 2.8860 1.9860 1.5853 1.2148
2 6.2059 5.1135 4.4378 3.6382 14.1754 11.5249 10.3505 9.1262 2.3228 1.6620 1.3761 1.1141
L/h=20
lc=lm 0 9.2998 7.9758 6.9556 5.5145 21.4025 17.9202 16.0777 13.9366 3.4714 2.5375 2.0223 1.4843
0.5 7.5294 6.4687 5.6681 4.5673 17.3580 14.5732 13.1130 11.4460 2.8145 2.0889 1.6953 1.2957
1 6.4638 5.5867 4.9355 4.0568 14.9015 12.6053 11.4140 10.0714 2.4141 1.8259 1.5124 1.1998
2 5.2947 4.6516 4.1833 3.5612 12.2032 10.5265 9.6685 8.7122 1.9749 1.5533 1.3328 1.1123
lclm 0 12.0010 9.5137 7.9370 5.9921 27.6189 21.6351 19.0041 16.2140 4.4727 2.9081 2.2156 1.5564
0.5 9.1871 7.3930 6.2422 4.8266 21.1686 16.7984 14.8319 12.7435 3.4282 2.3082 1.8032 1.3281
1 7.7610 6.2954 5.3646 4.2370 17.8897 14.3137 12.7114 11.0252 2.8944 1.9911 1.5891 1.2175
2 6.2534 5.1561 4.4749 3.6675 14.4181 11.7448 10.5663 9.3425 2.3300 1.6667 1.3797 1.1168

Table 11 DCBLs of 2D-FG porous microbeams for various volume fraction index, aspect ratios and boundary conditions. With h/lm=2

α0=0 SS CC CF
kz kx kx kx
0 0.5 1 2 0 0.5 1 2 0 0.5 1 2
L/h=5
lc=lm 0 15.3445 10.7374 7.9675 4.9089 52.5045 35.0996 27.1436 19.3039 4.0137 2.1245 1.3365 0.7078
0.5 10.1195 7.1884 5.4137 3.4492 34.6230 23.5484 18.4463 13.4042 2.6469 1.4417 0.9359 0.5317
1 7.9654 5.7195 4.3568 2.8460 27.0888 18.6552 14.7536 10.8935 2.0878 1.1620 0.7719 0.4596
2 6.0371 4.4017 3.4083 2.3045 20.1571 14.1423 11.3442 8.5747 1.5927 0.9141 0.6265 0.3956
lclm 0 25.7511 15.3797 10.4444 5.8270 90.6046 52.5805 38.8466 26.6532 6.6784 2.7943 1.6055 0.7785
0.5 14.8785 9.3190 6.5421 3.8521 52.1347 31.5830 23.7996 16.7321 3.8635 1.7465 1.0545 0.5582
1 11.0950 7.1178 5.0916 3.0992 39.0076 24.0988 18.3651 13.1188 2.8784 1.3572 0.8453 0.4730
2 7.9214 5.2400 3.8436 2.4452 27.7745 17.5982 13.6177 9.9488 2.0575 1.0255 0.6655 0.3991
L/h=10
lc=lm 0 16.0550 11.2902 8.3523 5.0952 61.3782 41.0780 31.9554 22.9765 4.0613 2.1410 1.3443 0.7106
0.5 10.5876 7.5551 5.6736 3.5817 40.4779 27.5398 21.6921 15.9244 2.6782 1.4531 0.9416 0.5340
1 8.3512 6.0235 4.5751 2.9616 31.8616 21.9440 17.4463 13.0050 2.1137 1.1718 0.7770 0.4619
2 6.3709 4.6653 3.6005 2.4112 24.1485 16.9279 13.6380 10.3855 1.6154 0.9231 0.6313 0.3981
lclm 0 26.7137 16.0360 10.8567 6.0068 103.0046 60.1958 44.8427 31.2079 6.7423 2.8115 1.6130 0.7810
0.5 15.4541 9.7301 6.8124 3.9798 59.5141 36.2861 27.5591 19.6322 3.9018 1.7580 1.0599 0.5603
1 11.5137 7.4310 5.3045 3.2059 44.3800 27.6671 21.2657 15.3956 2.9062 1.3664 0.8499 0.4750
2 8.2301 5.4844 4.0167 2.5386 31.6858 20.3400 15.8920 11.7680 2.0781 1.0331 0.6696 0.4011
L/h=20
lc=lm 0 16.2452 11.4393 8.4557 5.1444 64.2199 42.9943 33.5127 24.1871 4.0734 2.1452 1.3463 0.7113
0.5 10.7129 7.6539 5.7433 3.6168 42.3504 28.8160 22.7392 16.7515 2.6862 1.4559 0.9430 0.5346
1 8.4549 6.1057 4.6339 2.9923 33.4050 23.0067 18.3239 13.7041 2.1203 1.1742 0.7782 0.4625
2 6.4615 4.7373 3.6527 2.4398 25.4835 17.8569 14.4083 11.0011 1.6212 0.9253 0.6326 0.3987
lclm 0 26.9691 16.2114 10.9662 6.0539 106.8548 62.5821 46.7469 32.6897 6.7585 2.8159 1.6149 0.7817
0.5 15.6070 9.8402 6.8844 4.0133 61.8163 37.7642 28.7551 20.5752 3.9115 1.7609 1.0613 0.5609
1 11.6249 7.5148 5.3613 3.2339 46.0547 28.7910 22.1913 16.1381 2.9133 1.3687 0.8510 0.4755
2 8.3123 5.5503 4.0631 2.5634 32.9202 21.2187 16.6312 12.3721 2.0833 1.0350 0.6707 0.4016

Tables 8 to 11 represent the DFFs and DCBLs of 2D-FG microbeams for various boundary conditions, volume fraction indexes in two direction, porosity volume fraction coefficients, aspect ratios, and MLSPs. It can be observed that the results for every example obtained via the use of VMLSP are consistently higher than those obtained through the use of the constant MLSP. It is noticed that the VMLSP causes the microbeam’s stiffness to increase. Additionally, for all cases, an increase in the volume fraction indexes, kz or kx, results in a decrease in the DFFs and DCBLs. It is to highlight that when the gradient index increases, the mass decreases at a slower rate than the stiffness. Additionally, in all circumstances, the DFFs and DCBLs are more significantly affected by the kz. Moreover, when the porosity volume fraction coefficient rises, this effect becomes more obvious. The DFFs and DCBLs rise as the aspect ratio increases, as predicted. These findings might act as a baseline for further research.

Figure 2 depicts DFF variation for porous 2D-FG microbeams with respect to various aspect ratios, thickness to MLSPs, and boundary conditions. It is important to note that the significant size impact reduces when the aspect ratio drops. The small size impact is declining, notably for Clamped-Clamped boundary conditions, as the shear deformation effect increases. It is noteworthy that it is evident that the maximum difference between the DFFs was obtained by using L/h = 3 and L/h = 5. After setting the aspect ratio to 5, the slope of the curve is decreasing. We notice that the curves’ maximum slope is attained by utilizing VMLSP and applying the Clamped-Clamped boundary conditions method. For all circumstances, the minimal slope is obtained using Clamped-Free boundary conditions. For all examples, the influence of aspect ratio variation on DFFs is more evident for microbeams with VMLSP.

images

Figure 2 DFFs Variation for porous 2D-FG microbeams with respect to various aspect ratios, thickness to MLSPs, and boundary conditions, with (kz=1, kx=1, α=0.2).

It should be noted that the difference between the DFFs produced by setting the MLSPs to 1 and 2 is minimal for SS 2D-FG porous microbeams. It is, meanwhile, maximal for CF 2D-FG porous microbeams. For Clamped-Free microbeams, the impact of aspect ratio change is virtually non-existent for any thickness value to MLSP. The aspect ratio’s impact on the DFFs of porous 2D-FG microbeams reduces as thickness to MLSP increases. Figure 3 illustrates how the DCBLs of 2D-FG porous microbeams vary with different aspect ratios, BCs, and thickness to MLSPs. The influence of these parameters on DCBLs are also explored. Moreover, it is observed that the impacts of the factors mentioned above are nearly identical to those discovered through analysis of free vibration behaviour. Also, because VMLSP increases the stiffness of the porous 2D-FG microbeams, the DFFs and DCBLs acquired using VMLSP are always more significant than those obtained using constant MLSP in all cases.

images

Figure 3 DCBLs Variation for porous 2D-FG microbeams with respect to various aspect ratios, thickness to MLSPs, and boundary conditions, with (kz=1, kx=1, α=0.2).

images

Figure 4 DFFs Variation for porous 2D-FG microbeams with respect to kz and kx, with L/h=5, h/l=2.

images

Figure 5 DCBLs Variation for porous 2D-FG microbeams with respect to kz and kx, with L/h=5, h/l=2.

Figures 45 illustrate DFFs and DCBLs Variation for porous 2D-FG microbeams with respect to power indexes kx, kz, boundary conditions (SS, CC), equal MLSP and VMLSP. According to results in Figures 45, we notice that the increase of porosity volume fraction led to decreasing of both DFFs and DCBLs. The decreased gap defers from one FG mixture to another. The results of the curves according to volume fraction kx are almost close to those according to volume fraction kz. The gap in the results of DFFs and DCBLs between different porosity volume fraction, is less important in the VMLSP case compared to the equal MLSP case.

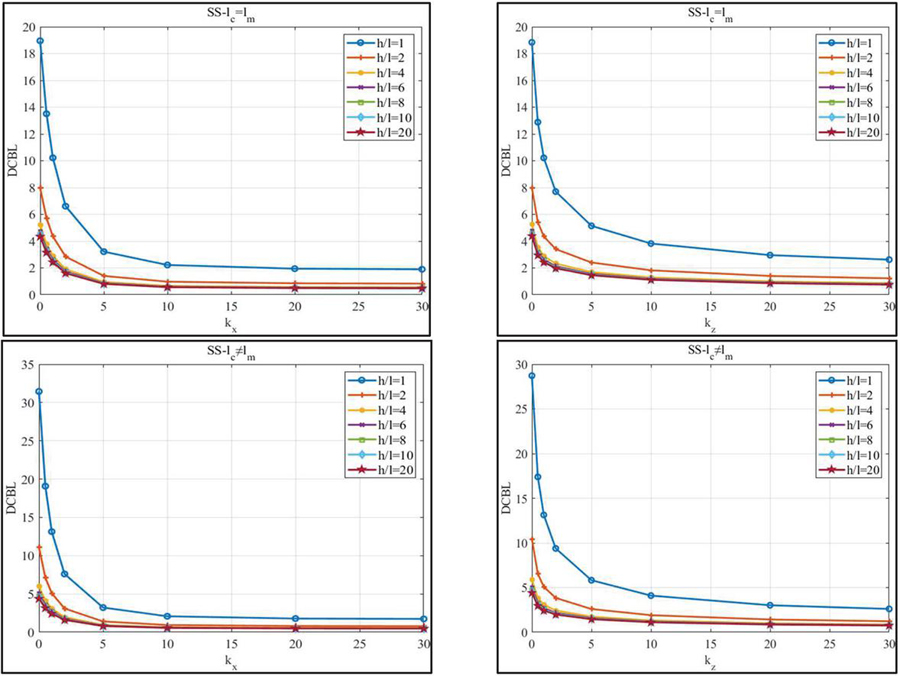
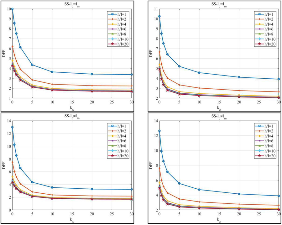
Figures 67 illustrate DFFs Variation for porous 2D-FG microbeams with respect to various FG volume fraction indexes kx, kz, thickness to MLSPs, and boundary conditions. It can be observed that the influence of kx and kz variation is considerable for the cases with VMLSP. Furthermore, when the thickness to MLSP (else referred to as determined using lm) increases, the DFFs decrease in all circumstances. The small size influence clearly enhances the rigidity of the structure, and this influence is stronger with VMLSP.

images

Figure 6 DFFs Variation for SS porous 2D-FG microbeams with respect to volume fraction indexes, thickness to MLSPs, with (L/h=1, α=0.2).

images

Figure 7 DFFs Variation for CC porous 2D-FG microbeams with respect to volume fraction indexes, thickness to MLSPs, with (L/h=1, α=0.2).

The stiffness of the structure is seen to rise not only with the influence of the tiny size but also with the change of thickness to MLSP. It is noticed that the stiffness of the structure increases not only with the influence of the small size but also with the change of thickness to MLSP. It should be noted that the influence of FG volume fraction indexes on DFFs decreases as the thickness of MLSP increases. One of the most essential things to note is that as the thickness of the MLSP increases, the impacts of the FG volume fraction indexes decrease.

images

Figure 8 DCBLs Variation for SS porous 2D-FG microbeams with respect to volume fraction indexes, thickness to MLSPs, with (L/h=1, α=0.2).

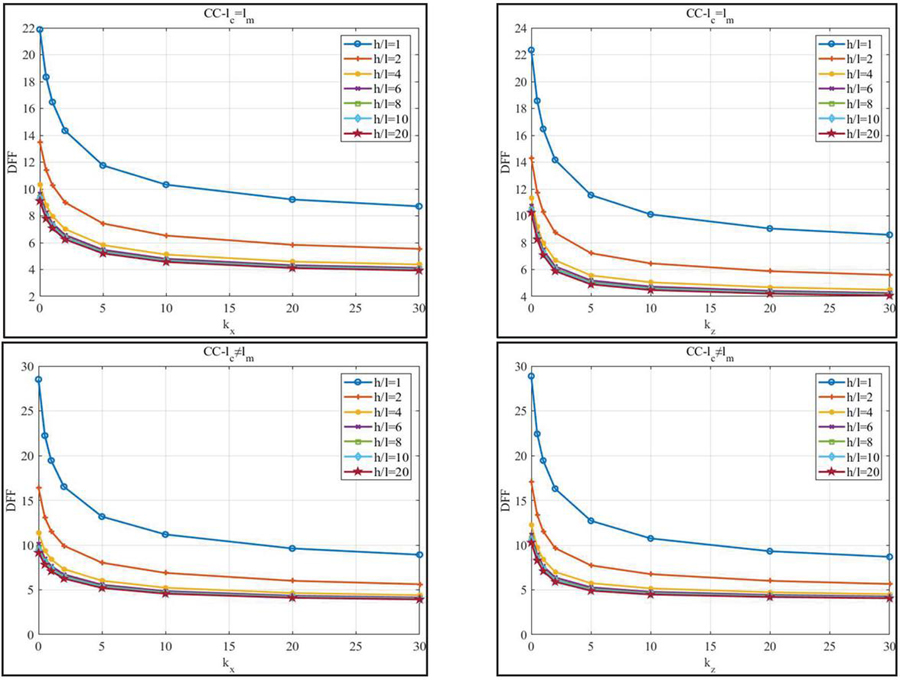
Figures 89 illustrate DCBLs Variation for porous 2D-FG microbeams with respect to various FG volume fraction indexes kx, kz, thickness to MLSPs, and boundary conditions.

Figures 89 illustrate DCBLs Variation for porous 2D-FG microbeams with respect to various FG volume fraction indexes kx, kz, thickness to MLSPs, and boundary conditions. The effect of varying kx and kz on the DBCLs of a microbeam with VMLSP is clearly more noticeable than the effect of having constant MLSP. The microbeam is stiffer with VMLSP than with the constant MLSP. It is clear that the small size effect is important for microbeams with VMLSP. This effect, however, decreases as the gradient index increases in all circumstances. The smaller size effect is shown to diminish when the effective modulus of elasticity decreases. As previously stated, the greatest DCBLs are always attained by using VMLSP.

images

Figure 9 DCBLs Variation for CC porous 2D-FG microbeams with respect to volume fraction indexes, thickness to MLSPs, with (L/h=1, α=0.2).

4 Conclusion

The analysis of free vibration and buckling behaviours of porous 2D-FG microbeams are explored in this paper using the Quasi-3D beam deformation theory based on the modified couple stress theory and a Differential Quadrature Galerkin Method (DQGM) systematically, as a combination of the Differential Quadrature Method (DQM) and the semi analytical Galerkin method, which has used to reduced computational cost for problems in dynamics. The use of these method is new in the context of porous 2D-FG microbeams. The governing equations are obtained using the Lagrange’s principle. The mass, gyroscopic and stiffness matrices are simply calculated using the weighting coefficient matrices given by the differential quadrature (DQ) and Gauss-Lobatto quadrature rules. The matrices are expressed in a similar form to that of the Differential Quadrature Method by introducing an interpolation basis on the element boundary of the Galerkin method. The sampling points are determined by the Gauss-Lobatto node method. The impacts of the thickness to material length scale parameter (MLSP) on the nondimensional natural frequencies and nondimensional critical buckling loads of 2D-FG porous microbeams are investigated, along with the effects of the boundary condition, aspect ratio, and gradient index. To establish the accuracy of the procedure described, the results are well validated with literature methods, and the difference between the methods is small, which explains the efficiency of the methods. The convergence is obtained for a low sampling point compared to others methods in literatures. Several cases were handled, allowing us to evaluate the effects of various geometrical parameters of the porous 2D-FG microbeam.

This work allowed us to draw the following conclusions:

• The matrices of the DQGM are somewhat similar to those of the DQHFEM and DQFEM. The convergence of the results can be controlled by increasing the number of sampling points. The convergence can be obtained quickly with small sampling points, which mean small matrix size, and fast computation.

• The difference in results between the DQGM and literature methods is very small. The DQGM has the benefits of a simple mathematical concept, quick convergence speed, excellent computational accuracy, minimal computing amount, and lower memory requirements, among other things. According to the findings of this study.

• The rigidity of the microbeam increases as a result of VMLSP. As a result, DFFs and DCBLs calculated using the VMLSP are always higher than those calculated using the constant MLSP. The use of VMLSP, as well as the small size effect, enhances the rigidity of the microbeam. It was observed that raising the porosity volume fraction index causes a drop in stiffness, which causes a decrease in DFFs and DCBLs. For DFFs and DCBLs, the small size impact reduces as the aspect ratio drops. The increase in thickness to MLSPs ratio led to decrease both DFFs and DCBLs.

Disclosure Statement

No potential conflict of interest was reported by the author(s).

Data Availability Statement

The authors declare that the data are available within the article.

References

[1] T.-K. Nguyen, T. P. Vo, and H.-T. Thai, “Static and free vibration of axially loaded functionally graded beams based on the first-order shear deformation theory,” Composites Part B: Engineering, vol. 55, pp. 147–157, 2013/12/01/ 2013, doi: https://doi.org/10.1016/j.compositesb.2013.06.011.

[2] S.-R. Li and R. C. Batra, “Relations between buckling loads of functionally graded Timoshenko and homogeneous Euler–Bernoulli beams,” Composite Structures, vol. 95, pp. 5–9, 2013/01/01/ 2013, doi: https://doi.org/10.1016/j.compstruct.2012.07.027.

[3] T.-K. Nguyen and B.-D. Nguyen, “A new higher-order shear deformation theory for static, buckling and free vibration analysis of functionally graded sandwich beams,” Journal of Sandwich Structures & Materials, vol. 17, no. 6, pp. 613–631, 2015, doi: 10.1177/1099636215589237.

[4] P. Van Vinh, “Deflections, stresses and free vibration analysis of bi-functionally graded sandwich plates resting on Pasternak’s elastic foundations via a hybrid quasi-3D theory,” Mechanics Based Design of Structures and Machines, pp. 1–32, 2021, doi: 10.1080/15397734.2021.1894948.

[5] B. Adhikari and B. N. Singh, “Dynamic response of functionally graded plates resting on two-parameter-based elastic foundation model using a quasi-3D theory,” Mechanics Based Design of Structures and Machines, vol. 47, no. 4, pp. 399–429, 2019/07/04 2019, doi: 10.1080/15397734.2018.1555965.

[6] M. Nemat-Alla, “Reduction of thermal stresses by developing two-dimensional functionally graded materials,” International Journal of Solids and Structures, vol. 40, no. 26, pp. 7339–7356, 2003/12/01/ 2003, doi: https://doi.org/10.1016/j.ijsolstr.2003.08.017.

[7] A. J. Goupee and S. S. Vel, “Optimization of natural frequencies of bidirectional functionally graded beams,” Structural and Multidisciplinary Optimization, vol. 32, no. 6, pp. 473–484, 2006/12/01 2006, doi: 10.1007/s00158-006-0022-1.

[8] C. F. Lü, W. Q. Chen, R. Q. Xu, and C. W. Lim, “Semi-analytical elasticity solutions for bi-directional functionally graded beams,” International Journal of Solids and Structures, vol. 45, no. 1, pp. 258–275, 2008/01/01/ 2008, doi: https://doi.org/10.1016/j.ijsolstr.2007.07.018.

[9] A. Karamanlı, “Bending behaviour of two directional functionally graded sandwich beams by using a quasi-3d shear deformation theory,” Composite Structures, vol. 174, pp. 70–86, 2017/08/15/ 2017, doi: https://doi.org/10.1016/j.compstruct.2017.04.046.

[10] D. K. Nguyen, Q. H. Nguyen, T. T. Tran, and V. T. Bui, “Vibration of bi-dimensional functionally graded Timoshenko beams excited by a moving load,” Acta Mechanica, vol. 228, no. 1, pp. 141–155, 2017/01/01 2017, doi: 10.1007/s00707-016-1705-3.

[11] A. Selmi, “Free vibration of bi-dimensional functionally graded simply supported beams,” (in En), Advances in concrete construction, vol. 12, no. 3, pp. 195–205, 09/25 2021, doi: 10.12989/ACC.2021.12.3.195.

[12] S. N. Balireddy and J. Pitchaimani, “Stability and dynamic behaviour of bi-directional functionally graded beam subjected to variable axial load,” Materials Today Communications, vol. 32, p. 104043, 2022/08/01/ 2022, doi: https://doi.org/10.1016/j.mtcomm.2022.104043.

[13] I. Bensaid, “A refined nonlocal hyperbolic shear deformation beam model for bending and dynamic analysis of nanoscale beams,” (in En), Advances in nano research, vol. 5, no. 2, pp. 113–126, 06/25 2017, doi: 10.12989/ANR.2017.5.2.113.

[14] I. Bensaid and A. Guenanou, “Bending and stability analysis of size-dependent compositionally graded Timoshenko nanobeams with porosities,” (in En), Advances in materials Research, vol. 6, no. 1, pp. 45–63, 03/25 2017, doi: 10.12989/AMR.2017.6.1.045.

[15] ª. D. Akbaº, “Forced vibration analysis of cracked functionally graded microbeams,” Advances in Nano Research, vol. 6, no. 1, p. 39, 2018, doi: https://doi.org/10.12989/anr.2018.6.1.039.

[16] D. Akbas Seref, “Bending of a cracked functionally graded nanobeam,” (in En), Advances in nano research, vol. 6, no. 3, pp. 219–242, 09/25 2018, doi: 10.12989/ANR.2018.6.3.219.

[17] H. Berghouti, E. A. Adda Bedia, A. Benkhedda, and A. Tounsi, “Vibration analysis of nonlocal porous nanobeams made of functionally graded material,” (in En), Advances in nano research, vol. 7, no. 5, pp. 351–364, 09/25 2019, doi: 10.12989/ANR.2019.7.5.351.

[18] O. Civalek, B. Uzun, and M. O. Yayli, “Frequency, bending and buckling loads of nanobeams with different cross sections,” (in En), Advances in nano research, vol. 9, no. 2, pp. 91–104, 08/25 2020, doi: 10.12989/ANR.2020.9.2.091.

[19] L. Hadji and M. Avcar, “Nonlocal free vibration analysis of porous FG nanobeams using hyperbolic shear deformation beam theory,” (in En), Advances in nano research, vol. 10, no. 3, pp. 281–293, 03/25 2021, doi: 10.12989/ANR.2021.10.3.281.

[20] T. Cuong-Le, D. Nguyen Khuong, H. Le-Minh, P. Phan-Vu, P. Nguyen-Trong, and A. Tounsi, “Nonlinear bending analysis of porous sigmoid FGM nanoplate via IGA and nonlocal strain gradient theory,” (in En), Advances in nano research, vol. 12, no. 5, pp. 441–455, 05/25 2022, doi: 10.12989/ANR.2022.12.5.441.

[21] I. Devnath, N. Islam Mohammad, M. Siddique Minhaj Uddin, and A. Tounsi, “Static deflection of nonlocal Euler Bernoulli and Timoshenko beams by Castigliano’s theorem,” (in En), Advances in nano research, vol. 12, no. 2, pp. 139–150, 02/25 2022, doi: 10.12989/ANR.2022.12.2.139.

[22] A. Saimi, I. Bensaid, and A. Fellah, “Effect of crack presence on the dynamic and buckling responses of bidirectional functionally graded beams based on quasi-3D beam model and differential quadrature finite element method,” Archive of Applied Mechanics, 2023/05/04 2023, doi: 10.1007/s00419-023-02429-w.

[23] A. Saimi, I. Bensaid, and Ö. Civalek, “A study on the crack presence effect on dynamical behaviour of bi-directional compositionally imperfect material graded micro beams,” Composite Structures, vol. 316, p. 117032, 2023/07/15/ 2023, doi: https://doi.org/10.1016/j.compstruct.2023.117032.

[24] F. Hadjoui, A. Saimi, I. Bensaid, and A. Hadjoui, “Dynamic analysis of a functionally graded tapered rotating shaft under thermal load via differential quadrature finite elements method,” (in En), Advances in aircraft and spacecraft science, vol. 10, no. 1, pp. 19–49, 01/25 2023, doi: 10.12989/AAS.2023.10.1.019.

[25] A. Saimi and A. Hadjoui, “An engineering application of the h-p version of the finite elements method to the dynamics analysis of a symmetrical on-board rotor,” European Journal of Computational Mechanics, vol. 25, no. 5, pp. 388–416, 2016/09/02 2016, doi: 10.1080/17797179.2016.1245597.

[26] N. Wattanasakulpong, B. Gangadhara Prusty, D. W. Kelly, and M. Hoffman, “Free vibration analysis of layered functionally graded beams with experimental validation,” Materials & Design (1980–2015), vol. 36, pp. 182–190, 2012/04/01/ 2012, doi: https://doi.org/10.1016/j.matdes.2011.10.049.

[27] N. Wattanasakulpong and V. Ungbhakorn, “Linear and nonlinear vibration analysis of elastically restrained ends FGM beams with porosities,” Aerospace Science and Technology, vol. 32, no. 1, pp. 111–120, 2014/01/01/ 2014, doi: https://doi.org/10.1016/j.ast.2013.12.002.

[28] M. Jabbari, A. Mojahedin, A. R. Khorshidvand, and M. R. Eslami, “Buckling Analysis of a Functionally Graded Thin Circular Plate Made of Saturated Porous Materials,” Journal of Engineering Mechanics, vol. 140, no. 2, pp. 287–295, 2014, doi: doi: 10.1061/(ASCE)EM.1943-7889.0000663.

[29] D. Chen, J. Yang, and S. Kitipornchai, “Elastic buckling and static bending of shear deformable functionally graded porous beam,” Composite Structures, vol. 133, pp. 54–61, 2015/12/01/ 2015, doi: https://doi.org/10.1016/j.compstruct.2015.07.052.

[30] D. Chen, S. Kitipornchai, and J. Yang, “Nonlinear free vibration of shear deformable sandwich beam with a functionally graded porous core,” Thin-Walled Structures, vol. 107, pp. 39–48, 2016/10/01/ 2016, doi: https://doi.org/10.1016/j.tws.2016.05.025.

[31] A. S. Rezaei and A. R. Saidi, “Application of Carrera Unified Formulation to study the effect of porosity on natural frequencies of thick porous–cellular plates,” Composites Part B: Engineering, vol. 91, pp. 361–370, 2016/04/15/ 2016, doi: https://doi.org/10.1016/j.compositesb.2015.12.050.

[32] M. R. Barati and A. M. Zenkour, “Investigating post-buckling of geometrically imperfect metal foam nanobeams with symmetric and asymmetric porosity distributions,” Composite Structures, vol. 182, pp. 91–98, 2017/12/15/ 2017, doi: https://doi.org/10.1016/j.compstruct.2017.09.008.

[33] P. T. Thang, T. Nguyen-Thoi, D. Lee, J. Kang, and J. Lee, “Elastic buckling and free vibration analyses of porous-cellular plates with uniform and non-uniform porosity distributions,” Aerospace Science and Technology, vol. 79, pp. 278–287, 2018/08/01/ 2018, doi: https://doi.org/10.1016/j.ast.2018.06.010.

[34] F. Ebrahimi and A. Jafari, “A four-variable refined shear-deformation beam theory for thermo-mechanical vibration analysis of temperature-dependent FGM beams with porosities,” Mechanics of Advanced Materials and Structures, vol. 25, no. 3, pp. 212–224, 2018/02/17 2018, doi: 10.1080/15376494.2016.1255820.

[35] J. S. Stölken and A. G. Evans, “A microbend test method for measuring the plasticity length scale,” Acta Materialia, vol. 46, no. 14, pp. 5109–5115, 1998/09/01/ 1998, doi: https://doi.org/10.1016/S1359-6454(98)00153-0.

[36] N. A. Fleck, G. M. Muller, M. F. Ashby, and J. W. Hutchinson, “Strain gradient plasticity: Theory and experiment,” Acta Metallurgica et Materialia, vol. 42, no. 2, pp. 475–487, 1994/02/01/ 1994, doi: https://doi.org/10.1016/0956-7151(94)90502-9.

[37] C. W. Lim, G. Zhang, and J. N. Reddy, “A higher-order nonlocal elasticity and strain gradient theory and its applications in wave propagation,” Journal of the Mechanics and Physics of Solids, vol. 78, pp. 298–313, 2015/05/01/ 2015, doi: https://doi.org/10.1016/j.jmps.2015.02.001.

[38] R. D. Mindlin, “Second gradient of strain and surface-tension in linear elasticity,” International Journal of Solids and Structures, vol. 1, no. 4, pp. 417–438, 1965/11/01/ 1965, doi: https://doi.org/10.1016/0020-7683(65)90006-5.

[39] D. C. C. Lam, F. Yang, A. C. M. Chong, J. Wang, and P. Tong, “Experiments and theory in strain gradient elasticity,” Journal of the Mechanics and Physics of Solids, vol. 51, no. 8, pp. 1477–1508, 2003/08/01/ 2003, doi: https://doi.org/10.1016/S0022-5096(03)00053-X.

[40] B. Akgöz and Ö. Civalek, “A size-dependent shear deformation beam model based on the strain gradient elasticity theory,” International Journal of Engineering Science, vol. 70, pp. 1–14, 2013/09/01/ 2013, doi: https://doi.org/10.1016/j.ijengsci.2013.04.004.

[41] M. Mirsalehi, M. Azhari, and H. Amoushahi, “Buckling and free vibration of the FGM thin micro-plate based on the modified strain gradient theory and the spline finite strip method,” European Journal of Mechanics - A/Solids, vol. 61, pp. 1–13, 2017/01/01/ 2017, doi: https://doi.org/10.1016/j.euromechsol.2016.08.008.

[42] Y. S. Li, W. J. Feng, and Z. Y. Cai, “Bending and free vibration of functionally graded piezoelectric beam based on modified strain gradient theory,” Composite Structures, vol. 115, pp. 41–50, 2014/08/01/ 2014, doi: https://doi.org/10.1016/j.compstruct.2014.04.005.

[43] S. Thai, H.-T. Thai, T. P. Vo, and V. I. Patel, “Size-dependant behaviour of functionally graded microplates based on the modified strain gradient elasticity theory and isogeometric analysis,” Computers & Structures, vol. 190, pp. 219–241, 2017/10/01/ 2017, doi: https://doi.org/10.1016/j.compstruc.2017.05.014.

[44] M. Şimşek and J. N. Reddy, “Bending and vibration of functionally graded microbeams using a new higher order beam theory and the modified couple stress theory,” International Journal of Engineering Science, vol. 64, pp. 37–53, 2013/03/01/ 2013, doi: https://doi.org/10.1016/j.ijengsci.2012.12.002.

[45] L.-L. Ke, Y.-S. Wang, and Z.-D. Wang, “Thermal effect on free vibration and buckling of size-dependent microbeams,” Physica E: Low-dimensional Systems and Nanostructures, vol. 43, no. 7, pp. 1387–1393, 2011/05/01/ 2011, doi: https://doi.org/10.1016/j.physe.2011.03.009.

[46] C. M. Wang, S. Kitipornchai, C. W. Lim, and M. Eisenberger, “Beam Bending Solutions Based on Nonlocal Timoshenko Beam Theory,” Journal of Engineering Mechanics, vol. 134, no. 6, pp. 475–481, 2008, doi: 10.1061/(ASCE)0733-9399(2008)134:6(475).

[47] Y. Q. Wang, H. L. Zhao, C. Ye, and J. W. Zu, “A Porous Microbeam Model for Bending and Vibration Analysis Based on the Sinusoidal Beam Theory and Modified Strain Gradient Theory,” International Journal of Applied Mechanics, vol. 10, no. 05, p. 1850059, 2018, doi: 10.1142/s175882511850059x.

[48] I. Bensaid and A. Saimi, “Dynamic investigation of functionally graded porous beams resting on viscoelastic foundation using generalised differential quadrature method,” Australian Journal of Mechanical Engineering, pp. 1–20, 2022, doi: 10.1080/14484846.2021.2017115.

[49] A. Karamanli and M. Aydogdu, “Vibration of functionally graded shear and normal deformable porous microplates via finite element method,” Composite Structures, vol. 237, p. 111934, 2020/04/01/ 2020, doi: https://doi.org/10.1016/j.compstruct.2020.111934.

[50] X. Huang, H. Hao, K. Oslub, M. Habibi, and A. Tounsi, “Dynamic stability/instability simulation of the rotary size-dependent functionally graded microsystem,” Engineering with Computers, 2021/05/12 2021, doi: 10.1007/s00366-021-01399-3.

[51] A. Shariati, M. Habibi, A. Tounsi, H. Safarpour, and M. Safa, “Application of exact continuum size-dependent theory for stability and frequency analysis of a curved cantilevered microtubule by considering viscoelastic properties,” Engineering with Computers, vol. 37, no. 4, pp. 3629–3648, 2021/10/01 2021, doi: 10.1007/s00366-020-01024-9.

[52] S. Ahmed, H. Abdelhamid, B. Ismail, and F. Ahmed, “An Differential Quadrature Finite Element and the Differential Quadrature Hierarchical Finite Element Methods for the Dynamics Analysis of on Board Shaft,” European Journal of Computational Mechanics, pp. 303–344, 2020, doi: https://doi.org/10.13052/ejcm1779-7179.29461.

[53] C. Liu, B. Liu, L. Zhao, Y. Xing, C. Ma, and H. Li, “A differential quadrature hierarchical finite element method and its applications to vibration and bending of Mindlin plates with curvilinear domains,” International Journal for Numerical Methods in Engineering, vol. 109, no. 2, pp. 174–197, 2017, doi: https://doi.org/10.1002/nme.5277.

[54] A. A. Abdelrahman, I. Esen, and M. A. Eltaher, “Vibration response of Timoshenko perforated microbeams under accelerating load and thermal environment,” Applied Mathematics and Computation, vol. 407, p. 126307, 2021/10/15/ 2021, doi: https://doi.org/10.1016/j.amc.2021.126307.

[55] G. Manickam, P. Gupta, S. De, V. Rajamohan, and O. Polit, “Nonlinear flexural free vibrations of size-dependent graphene platelets reinforced curved nano/micro beams by finite element approach coupled with trigonometric shear flexible theory,” Mechanics of Advanced Materials and Structures, vol. 29, no. 17, pp. 2489–2515, 2022/07/05 2022, doi: 10.1080/15376494.2020.1866723.

[56] M. Liao, “Weak-Form Quadrature Element Method: A Comparative Review of Different Formulations and Its Comprehensive Assessment,” Archives of Computational Methods in Engineering, 2022/08/17 2022, doi: 10.1007/s11831-022-09799-4.

[57] Y. Tlidji, R. Benferhat, and D. Tahar Hassaine, “Study and analysis of the free vibration for FGM microbeam containing various distribution shape of porosity,” (in En), Structural Engineering and Mechanics, vol. 77, no. 2, pp. 217–229, 01/25 2021, doi: 10.12989/SEM.2021.77.2.217.

[58] B. Karami, D. Shahsavari, M. Janghorban, and L. Li, “Free vibration analysis of FG nanoplate with poriferous imperfection in hygrothermal environment,” Structural Engineering and Mechanics, An Int’l Journal, vol. 73, no. 2, pp. 191–207, 2020.

[59] A. Karamanli and M. Aydogdu, “Structural dynamics and stability analysis of 2D-FG microbeams with two-directional porosity distribution and variable material length scale parameter,” Mechanics Based Design of Structures and Machines, vol. 48, no. 2, pp. 164–191, 2020/03/03 2020, doi: 10.1080/15397734.2019.1627219.

[60] N. Shafiei, S. S. Mirjavadi, B. MohaselAfshari, S. Rabby, and M. Kazemi, “Vibration of two-dimensional imperfect functionally graded (2D-FG) porous nano-/micro-beams,” Computer Methods in Applied Mechanics and Engineering, vol. 322, pp. 615–632, 2017/08/01/ 2017, doi: https://doi.org/10.1016/j.cma.2017.05.007.

[61] N. Shafiei and M. Kazemi, “Buckling analysis on the bi-dimensional functionally graded porous tapered nano-/micro-scale beams,” Aerospace Science and Technology, vol. 66, pp. 1–11, 2017/07/01/ 2017, doi: https://doi.org/10.1016/j.ast.2017.02.019.

[62] F. Yang, A. C. M. Chong, D. C. C. Lam, and P. Tong, “Couple stress based strain gradient theory for elasticity,” International Journal of Solids and Structures, vol. 39, no. 10, pp. 2731–2743, 2002/05/01/ 2002, doi: https://doi.org/10.1016/S0020-7683(02)00152-X.

[63] I. Bensaid, A. Saimi, and Ö. Civalek, “Effect of two-dimensional material distribution on dynamic and buckling responses of graded ceramic-metal higher order beams with stretch effect,” Mechanics of Advanced Materials and Structures, pp. 1–17, 2022, doi: 10.1080/15376494.2022.2142342.

[64] I. E. Houalef, I. Bensaid, A. Saimi, and A. Cheikh, “Free Vibration Analysis of Functionally Graded Carbon Nanotube-Reinforced Higher Order Refined Composite Beams Using Differential Quadrature Finite Element Method,” European Journal of Computational Mechanics, vol. 31, no. 04, pp. 505–538, 02/06 2023, doi: 10.13052/ejcm2642-2085.3143.

[65] S. Ahmed, H. Abdelhamid, B. Ismail, and F. Ahmed, “An Differential Quadrature Finite Element and the Differential Quadrature Hierarchical Finite Element Methods for the Dynamics Analysis of on Board Shaft,” European Journal of Computational Mechanics, vol. 29, no. 4–6, pp. 303–344, 05/13 2021, doi: 10.13052/ejcm1779-7179.29461.

Biographies

images

Ahmed Saimi obtained his Ph.D in Mechanics of Materials and Structures from the University of Tlemcen, Algeria, in 2017. He is currently a Senior Lecturer at the National High School of Hydraulics Blida, Algeria. A researcher member of Mechanical Systems and Structural Engineering Laboratory, IS2M/UABT. His research interests are: Finite element methods, Structural vibration, Structural dynamics, Dynamics of rotors, Dynamics of rotating machines, computational mechanics, FG materials, Composite materials.

images

Ismail Bensaid received his B.Sc, M.Sc and Ph.D degrees in Mechanical Engineering from Abou Beckr Belkaid University Tlemcen, Algeria. He is currently working in the level of the Mechanical engineering department at the same University. Dr. Bensaid does research in Mechanical and structural Engineering, Materials, Composite, Maintenance, Nanostructures and Dynamical Systems. He, as an author/co-author, has published more than 18 articles in various journals.

images

Besma Khouani, Ph.D student in Mechanical Engineering from Abou Beckr Belkaid University Tlemcen, Algeria. He is currently working in the level of the Mechanical engineering department at the same University. Mechanical and structural Engineering, Materials, Composite, Maintenance, Nanostructures and Dynamical Systems.

images

Med Yassin Mazari, Ph.D student in Mechanical Engineering from Abou Beckr Belkaid University Tlemcen, Algeria. He is currently working in the level of the Mechanical engineering department at the same University. Mechanical and structural Engineering, Materials, Composite, Maintenance, Nanostructures and Dynamical Systems.

images

Ihab Eddine Houalef, Ph.D student in Mechanical Engineering from Abou Beckr Belkaid University Tlemcen, Algeria. He is currently working in the level of the Mechanical engineering department at the same University. Mechanical and structural Engineering, Materials, Composite, Maintenance, Nanostructures and Dynamical Systems.

images

Abdelmadjid Cheikh obtained his PhD in production engineering and production management from the University of Nottingham, United Kingdom. He is currently a professor at the University of Tlemcen, Algeria (UABT). He also holds the position of Research Director in Mechanical Systems and Materials Engineering Laboratory (IS2M/UABT). His research interests are: Materials Engineering, Manufacturing Engineering, CAD/CAM, Computer Aided Tolerancing, Rapid Prototyping Processes, CNC Machining, 3D Printing, Optimization.

Abstract

1 Introduction

2 Formulation and Theories

2.1 Model of Porous 2D-FG Microbeam

images

2.2 Strain Gradient Elasticity Theory

2.3 Kinematics Formulation

2.4 Differential Quadrature Galerkin Formulation

3 Discussion of Results

images

images

images

images

images

images

images

images

4 Conclusion

Disclosure Statement

Data Availability Statement

References

Biographies