Physical Layer Key Generation Method Based on SVD Pre-processing

Zehui Liu1, Min Guo1 and Yun Ju2,*

1State Grid Shanxi Electric Power Research Institute, Taiyuan 030001, China
2North China Electric Power University, Beijing, China
E-mail: juyun1982@ncepu.edu.cn
*Corresponding Author

Received 27 October 2022; Accepted 24 November 2022; Publication 31 January 2023

Abstract

Environmental factors such as channel noise and hardware fingerprints affect the encryption effect of physical layer key generation techniques, resulting in low consistency of generated keys. Feature pre-processing is a common means of improving consistency of keys. However, most of the existing feature pre-processing algorithms improve key consistency by sacrificing key generation rate, which is not very usable. Therefore, it is proposed a physical layer key generation method based on SVD pre-processing. This method uses the SVD feature processing algorithm to pre-process the channel features extracted from both sides of the communication before quantization, in order to simultaneously improve key consistency and key generation rate. The simulation results show that when the channel SNR is greater than 10 dB, the BER of the SVD scheme is significantly lower compared to the scheme without pre-processing and the DCT and PCA pre-processing schemes; when the SNR is greater than 20 dB, the SVD scheme KGR can reach a level of 10bit/s, which is significantly higher than the other three schemes. The results show that this scheme can significantly increase the key generation rate while effectively improving key consistency.

Keywords: Wireless channels, physical layer keys, feature pre-processing, key consistency.

1 Introduction

In recent years, wireless communication technology has been used extensively in both the military and civilian sectors [1], however, due to the open and broadcast characteristics of wireless channel, the inherent security problem of information leakage in wireless communication is caused [2], the stability of the wireless network signal transmission is relatively low. At the same time, with the increasing development of attack methods, various security problems in wireless communication will become more and more prominent [3], wireless security is confronted with the complexity of the secret key distribution process [4], putting forward new and higher requirements for the security of current wireless communication.

Currently, wireless communication channels are receiving more attention from scholars because of their inherent properties: random time-varying, channel reciprocity, space-time uniqueness and unpredictability. Legitimate communication users can use the real-time changing wireless channel information as a pool of public random resources [5] and perform session key extraction from it. This technique, known as wireless channel key extraction, also known as physical layer key extraction, eliminates the need for the key distribution and management process found in traditional key algorithms, largely enhancing existing security protocol mechanisms and improving the security and reliability of session keys [6]. At the same time, compared with traditional key algorithms, the generation of physical layer keys does not require a large amount of storage space and has lower computational complexity. It can be better applied to wireless communication technologies with small memory space and weak computational power. Thus is heavily used in the encryption of wireless communication [7].

In the literature [8], based on the analysis of key BER, provides a reliable key synthesis algorithm for messaging based on the channel transmission characteristics. Liu Jingmei et al. [9] provides a method for implementing key synthesis using k-mean clustering for the case of incomplete utilization of the channel. It allows the use of several aspects of data, namely frequency and phase, to enhance the accuracy of the synthesized key. However, the above method does not consider the key generation rate, in order to further improve the efficiency of key generation. The authors of [10] proposed an improved channel quantization alternation(CQA) algorithm, meet the high Key Generation Rate (KGR) and low Key Disagreement Rate (KDR) requirements of the key extraction process. And in order to simultaneously take into account the randomness of the key, it is proposed an innovative key distribution and encryption control scheme based on physical layer channel feature extraction and C. Chen [11] improves the security and randomness of the key by analyzing the non replicability of the channel and the randomness of the channel noise.

However, there are still many shortcomings in the current physical layer key extraction techniques, such as poor key consistency due to half-duplex wireless channels and channel noise and hardware fingerprints, and low key generation rate due to incomplete utilization of channel features [11]. Pre-processing of the feature data extracted by channel probing is one of the common methods to resolve key inconsistencies. The goal of channel feature pre-processing is to eliminate as much as possible the effects of system half-duplexity, hardware fingerprints, and channel noise on channel measurements, and to ensure the consistency and randomness of the generated keys. Therefore, the selection of a suitable pre-processing method is particularly important in physical layer key extraction.

A. K. B and M. M. Kodabagi [12] propose a variable automatic coding pre-processing algorithm, which solves the problem of information loss caused by the undersampling method by optimizing the lower bound of the likelihood function, but the amount of data is too large when dealing with the actual problem, and it cannot solve the influence of hardware fingerprints and channel noise on the channel measurements. A. K. B and M. M. Kodabagi [13] propose an efficient data preprocessing method for unbalanced datasets in email classification domains. It is able to reduce the size of the dataset and improve the accuracy and performance of preprocessing, but the performance is poor when applied to the physical layer for key extraction. A. Stavridis [14] proposes the Preprocessing Assisted Space Modulation (PSM) method, which simplifies the complexity of preprocessing. M. Maleki and K. Mohamed-pour [15] propose a two-stage precoding based on Zero-forcing (ZF) that can reduce the Channel State Information (CSI) feedback overhead in the frequency division duplex mode. The literature [16] proposes a ZF-based Propensity Score Matching (PSM) procedure to reduce the hardware complexity design by reducing the number of Radio Frequency (RF) chains for millimetre wave and associated channels. However, these preprocessing methods are costly and complex, so literature [17] and literature [18] proposed the preprocessing methods of Discrete Cosine Transform (DCT) and Discrete Fourier Transform (DFT), which are easy to implement on the computer, but cannot guarantee the randomness of the generated keys.

In order to solve the problems that existing pre-processing methods are too costly and complex or have low accuracy and performance, and it is difficult to take into account the key consistency and key generation rate at the same time, this paper proposes a physical layer key generation algorithm based on Singular Value Decomposition (SVD) pre-processing scheme [19]. SVD is a generalization of Eigen Value Decomposition (EVD) to arbitrary matrices of any size, and has shown good performance in key extraction applications. The pre-processing scheme based on SVD [20] algorithm compensates the existing pre-processing schemes [21] such as Discrete Cosine Transform (DCT), which is difficult to combine key consistency and key generation rate at the same time, and can improve key consistency while significantly increasing key generation rate.

images

Figure 1 Wireless channel communication model diagram.

2 System Model

The wireless channel communication model is shown in Figure 1. Legitimate communication parties communicate over legitimate channels, and eavesdroppers use eavesdropping channels to steal communication data from legitimate users. The feasibility of physical layer key generation techniques stems from three characteristics of the wireless channel, namely channel reciprocity, random time variability and spatial uniqueness. The reciprocity of the wireless channel ensures that channel probing between the communicating parties during channel coherence time results in highly similar channel characteristics. It guarantees the consistency of the generated keys; Random time-variability indicates that the channel characteristics of a wireless channel are randomly varying and not regular. It guarantees randomness of channel characteristics as a key source; And because the wireless channel is spatially unique, when the distance between the eavesdropping third party and the legitimate communicating parties is more than half the electromagnetic wavelength, it is impossible to obtain channel characteristics similar to those of the legitimate communicator through the eavesdropping channel. It ensures that the generation of session keys is safe and secure.

Existing physical layer key generation schemes typically consist of five main components: channel probing, feature extraction, feature quantization, conformance negotiation and confidentiality enhancement. In order to minimise the impact of the half-duplex nature of the wireless channel, as well as channel noise, hardware fingerprints and other unavoidable factors on the consistency of the generated keys, the channel characteristics are pre-processed in the text before being quantified. Figure 2 shows the key generation process in this paper.

images

Figure 2 Key generation flow chart.

2.1 Channel Probing and Feature Extraction

The two legitimate communicating parties, Alice and Bob, agree in advance to obtain a common guide signal xp. Due to the half-duplex nature of the wireless channel, the communicating parties send xp to each other for channel probing at moments t1 and t2 successively. The signals received by Alice and Bob are denoted by ya and yb respectively.

ya =hBA(t1)xp+nA (1)
yb =hAB(t2)xp+nB (2)

where hBA and hAB denote the channel gain at moments t1 and t2, and nA and nB denote Gaussian white noise.

Commonly used channel feature extraction algorithms include Least Square (LS), Minimum Mean Square Error (MMSE) and Linear Minimum Mean Square Error (LMMSE) [22]. The LS-based algorithm has the advantages of low computational effort, low complexity and high algorithmic efficiency. This method is used in this paper for channel feature extraction.

Equations (3) and (4) shows the LS algorithm procedure. It use h~BA and h~AB to denote the feature measurements obtained by Alice and Bob after channel feature extraction, respectively.

h~BA =yaxp=hBA(t1)+nAxp (3)
h~AB =ybxp=hAB(t2)+nBxp (4)

In order to obtain a key of sufficient length, Alice and Bob send each other guide signals several times to extract sufficient channel feature measurements.

2.2 Eigenvalue Pre-processing

Most of the existing feature pre-processing methods aim to improve key consistency at the expense of key generation rate. It is difficult to ensure a balance between the performance of session keys. In the paper, the SVD algorithm is used in the process of feature pre-processing. It proposed pre-processing scheme based on the SVD algorithm.

2.2.1 Introduction to the SVD algorithm

SVD is a generalisation of EVD to arbitrary matrices and is widely used in the field of machine learning. Compared to the EVD algorithm, which can only be used for square matrix decomposition, SVD can decompose arbitrary matrices and can therefore be better applied to the processing of channel identity matrices.

The details of the SVD algorithm are as follows:

Assume that there is an m×n matrix M. Define the SVD decomposition of M as:

M=UΣVT

where U is a square matrix of order m×m, u1,u2,,um denote column vectors and it calls left singular vectors, Σ is a semi-positive definite diagonal matrix of order m×n whose elements on the main diagonal are called singular values of the matrix M, and V is a square matrix of order n×n, v1,v2,,vn denote column vectors and are called right singular vectors. where both U and V are You matrices, i.e. they satisfy UTU=I, VTV=I.

Thus, Equation (5) express the singular value decomposition of M as:

M=[u1ukuk+1um][δ10δk00][v1HvkHvnH] (5)

Performing matrix blocking operations on Equation (5), expanding and simplifying gives Equation (6):

M=[u1uk][δ1δk][v1HvkH] (6)

U denote [u1uk], Σ denote [δ1δk], V denote [v1vk], Then Equation (7) express the singular value decomposition of M:

M=UΣV (7)

2.2.2 Pretreatment program

SVD can decompose arbitrary matrices, and the singular values are ordered from largest to smallest, and its computational complexity is significantly lower than that of EVD algorithm. The details of the eigenvalue pre-processing method based on the SVD algorithm are as follows:

Alice and Bob use the SVD algorithm to decompose the eigenvalue matrix obtained by feature extraction (Alice is used as an example here), as shown in Equation (8).

h~BA=UBAΣBAVBAH (8)

From the above SVD algorithm introduction, it can be seen that h~BA can also be expressed by Equation (9).

h~BA=UBAΣBAVBAH (9)

Where the diagonal elements of ΣBA are the singular values of h~BA and they are arranged in decreasing numerical order. In general, the decreasing speed is slow when the singular value is large, and the decreasing speed will gradually level off when the singular value gradually decreases. To perform the feature reconstruction, the singular values with larger values in the front ranking are selected. In this paper, the top 90% (r) singular values are taken as the heterogeneous singular values to calculate the reconstructed feature matrix. It can be expressed by Equation (10).

h~BA=[uBA1uBAr][δBA1δBAr][vBA1HvBArH] (10)

Bob also follows the above steps to reconstruct the channel feature matrix to obtain the reconstructed channel feature matrix h~BA.

2.3 Feature Quantification

The purpose of feature quantization is to convert the channel feature measurements obtained by CHANNEL probing into a binary bit sequence as an initial key. Among the existing quantization methods, experimentally verified by most scholars, Equal probability quantization algorithm has better performance in all aspects. while multi-bit quantization increases the rate of key generation compared to single-bit quantization. Therefore, the multi-bit equal-probability quantization algorithm [23] is used in the paper to quantify the pre-processed feature measurements.

Alice and Bob select an identical channel parameter and extract the sequence of measurements φA and φB for that channel parameter from the preprocessed channel feature measurements, φA={φA1,φA2,,φAn}, φB={φB1,φB2,,φBn} where n denotes the length of the sequence to be quantized. Equal-probability quantization is characterized by choosing quantization thresholds based on the characteristics of the elements in the sequence to be quantized, such that the number of samples in each quantization threshold is equal. In the paper, taking Alice as an example, the steps of feature quantification are roughly divided into two processes of classification and encoding, and the specific process is as follows:

1. Alice first arranges the elements within φA in ascending order to obtain the new sequence φA to be quantized.

2. The communication parties agree to obtain the number of quantization bits m, and calculate the number of quantization regions R accordingly, R=2m, and the number of samples in each quantization region p=n/R. T denotes quantization threshold, T={t1,t2,,t2m-1}, where ti=(φA(i*p)+φA(i*p+1))/2, i=1,2,,2m-1.

3. Alice classifies the sequence to be quantized according to the quantization threshold T obtained in step 2, as shown in Equation (11).

φAi={0,φAi<t11,t1φAi<t2j,tjφAi<tj+1,i=1,2,,n,j=1,2,,R-1R-1,φAit2m-1 (11)

4. Alice uses Gray’s coding method to encode the classified sequences. Suppose the sequence φA to be quantized is divided into 3 classes, denoted by 1, 2 and 3, respectively. Then, according to Gray’s coding rules, samples classified as 1 are converted to binary code 00, samples classified as 2 are converted to binary code 01, and samples classified as 3 are converted to binary code 11.

5. Alice gets the quantized binary bit sequence ϕA, which is Alice’s initial key.

Similarly, Bob also follows the above process to quantize the sequence of channel feature measurements to obtain the quantized binary bit sequence ϕB.

2.4 Generate Key

Due to the half-duplex nature of the wireless channel and the unavoidable impact of channel noise and hardware fingerprints on the session key consistency, it is difficult for ϕA and ϕB to be completely consistent, and thus the inconsistent bits need to be proposed through consistency negotiation. Consistency negotiation between ϕA and ϕB by means of parity check is used in the text.

Alice and Bob respectively divide the quantized binary bit stream sequences ϕA and ϕB into multiple subsequences of equal length, and parity check each subsequence, and send the obtained parity bits to each other through the common channel. After receiving the parity bits from each other, the two communicating parties compare the parity bits of each subsequence respectively, and keep the subsequence with the same parity bits. When a pair of subsequences does not match, the communicating parties divide the subsequence into two equal-length bitstream sequences, then parity check the two bitstreams separately, and send the obtained parity bits to each other through the common channel. Alice and Bob again compare the received parity bits and keep only the sequence of bits with consistent parity bits. After completing the above operation, Alice and Bob re-patch the reserved bit sequences, and both sides can get highly consistent session key sequences αA,αB.

Since Alice and Bob exchange a large amount of session key information over the public channel during the key negotiation, there is a risk of key leakage. To further ensure the security of the session key, the communicating parties use a two-way hash function to enhance the secrecy of the negotiated bit sequence, and finally obtain a highly consistent and secure session key sequence βA,βB.

3 Simulation Experiment

This paper uses MATLAB for simulation experiments. The common channel model in the experiment uses an OFDM system, The system parameters are: carrier frequency FC=5 GHz, bandwidth B=20 MHz, simulation time slot T=256, number of subcarriers N=64, cyclic prefix Ncp=16, symbol period Ts=4us.

In the simulation experiments, the two communicating parties first send each other guide signals for channel probing, use the LS algorithm for feature extraction, use the SVD preprocessing algorithm for preprocessing operation for the extracted feature measurements, and extract the amplitude information from the preprocessed feature measurements as the sequence to be quantized, use the multi-bit equal probability quantization method to quantize the sequence to be quantized, and finally obtain the final session key after the consistency negotiation and confidentiality enhancement operation.

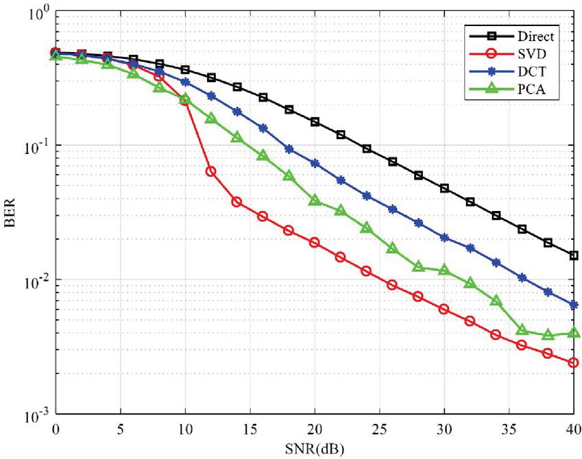
In the experiment, the amplitude is used as the channel parameter, and the performance of the final session key is tested in terms of key consistency (KAR) and key generation rate (KGR) respectively, The preprocessing scheme (SVD) proposed in this paper is compared with the key generation scheme without preprocessing (Direct), the current common DCT preprocessing scheme and the PCA preprocessing scheme, respectively, and the graphs are plotted according to the simulation experimental results. The variation of bit error rate (BER) and key generation rate (KGR) with channel signal-to-noise ratio (SNR) for the four schemes of key generation are shown in Figures 3 and 4, respectively.

images

Figure 3 BER variation curve with SNR for four schemes.

images

Figure 4 Variation of key generation rate with signal-to-noise ratio for four schemes.

Observing Figure 3, it can be seen that when SNR10 dB, all four schemes have high BER in the range of 30%–70%, among which the scheme with direct quantization without preprocessing has the highest BER and the worst key consistency; When SNR>10 dB, the BER of all four schemes is significantly reduced, and the BER of the keys generated with the SVD scheme is significantly lower than that of the keys generated with the other three schemes, and the BER decreases with the increase of SNR, the BER can be reduced to 0.3% when the SNR reaches 40 dB. This shows that the SVD scheme can effectively reduce the key BER and improve the consistency of session keys when the channel SNR is greater than 10 dB compared to the other three schemes.

Observing Figure 4, it can be seen that the existing DCT scheme and PCA scheme have lower key generation rate compared to the scheme without preprocessing, both of which achieve higher key consistency by sacrificing KGR. The SVD preprocessing scheme proposed in the paper, however, can improve the key consistency while significantly increasing the key generation rate, and the KGR can reach 10 bit/s when the SNR>20 dB. This precisely verifies the superiority of the SVD scheme proposed in this paper.

4 Conclusion

This paper addresses the problems of low key consistency and low key generation rate in the current wireless key generation technology. Study of existing characterisation schemes, It proposes a channel feature pre-processing scheme based on the SVD algorithm. The SVD pre-processing scheme solves the problem that the existing pre-processing schemes improve key consistency at the expense of key generation rate. The simulation experiments verify that the SVD pre-processing scheme can significantly improve the key generation rate while improving the key consistency. To a certain extent, it promotes the balanced development of all aspects of the performance of the physical layer key generation technology and provides security for data transmission in wireless channels.

Acknowledgements

The authors acknowledge the State Grid Shanxi Electric Power Company Science and Technology Project Research (No. 52053022000D).

References

[1] G. G. Gebremariam, J. Panda and S. Indu, “Secure Intrusion Detection System for Hierarchically Distributed Wireless Sensor Networks,” 2021 International Conference on Industrial Electronics Research and Applications (ICIERA), 2021, pp. 1–6.

[2] X. Wang, L. Jin, Y. Lou and X. Xu, “Analysis and application of endogenous wireless security principle for key generation,” in China Communications, vol. 18, no. 4, pp. 99–114, April 2021.

[3] S. N. Ramli and R. Ahmad, “Surveying the Wireless Body Area Network in the realm of wireless communication,” 2011 7th International Conference on Information Assurance and Security (IAS), 2011, pp. 58–61.

[4] M. Yuliana, Suwadi and Wirawan, “Key Rate Enhancement by Using the Interval Approach in Symmetric Key Extraction Mechanism,” 2020 Third International Conference on Vocational Education and Electrical Engineering (ICVEE), 2020, pp. 1–6.

[5] M. M. M. Fouad, M. -S. M. Mostafa and A. R. Dawood, “A Pairwise Key Pre-distribution Scheme Based on Prior Deployment Knowledge,” 2011 Third International Conference on Computational Intelligence, Communication Systems and Networks, 2011, pp. 184–189.

[6] B. Khadem, A. M. Suteh, M. Ahmad, A. Alkhayyat, M. S. Farash and H. S. Khalifa, “An Improved WBSN Key-Agreement Protocol Based on Static Parameters and Hash Functions,” in IEEE Access, vol. 9, pp. 78463–78473.

[7] Y. Luo, L. Yao, J. Liu, D. Zhang and L. Cao, “A Block Cryptographic Algorithm for Wireless Sensor Networks Based on Hybrid Chaotic Map,” 2019 IEEE 21st International Conference on High Performance Computing and Communications; IEEE 17th International Conference on Smart City; IEEE 5th International Conference on Data Science and Systems (HPCC/SmartCity/DSS), 2019, pp. 2790–2797.

[8] Hu Xiaoyan, Jin Liang, Huang Kaizhi, et al. Physical layer key generation scheme based on signal propagation characteristics. Acta electronica Sinica, 2019, 47(2), pp. 483–488.

[9] Liu Jingmei, Han Qingqing, Shen Zhiwei, et al Physical layer key generation scheme using k-means clustering. Journal of Xi’an University of Electronic Science and Technology (NATURAL SCIENCE EDITION), 2019, 46(1), pp. 8–13.

[10] L. Huang, D. Guo, J. Xiong and D. Ma, “An Improved CQA Quantization Algorithm for Physical Layer Secret Key Extraction,” 2020 International Conference on Wireless Communications and Signal Processing (WCSP), 2020, pp. 829–834.

[11] C. Chen, Y. Zhe, Y. Siyu, C. Tao, J. Liqiong and W. Xiangqing, “Research on Key Distribution and Encryption Control System of Optical Network Physical Layer,” 2021 World Conference on Computing and Communication Technologies (WCCCT), 2021, pp. 1–5.

[12] A. K. B. and M. M. Kodabagi, “Efficient Data Preprocessing approach for Imbalanced Data in Email Classification System,” 2020 International Conference on Smart Technologies in Computing, Electrical and Electronics (ICSTCEE), 2020, pp. 338–341.

[13] M. T. Sumadi, M. Yuliana and A. Sudarsono, “Performance Improvement Based on Modified Lossless Quantization (MLQ) for Secret Key Generation Extracted from Received Signal Strength,” 2020 International Electronics Symposium (IES), 2020, pp. 190–194, doi: 10.1109/IES50839.2020.9231640.

[14] A. Stavridis, M. D. Renzo, P. M. Grant and H. Haas, “Performance analysis of receive space modulation in the shadowing MIMO broadcast channel”, IEEE Trans. on Commun., vol. 65, no. 5, pp. 1972–1983, May 2017.

[15] M. Maleki and K. Mohamed-Pour, “Transmit precoding aided spatial modulation for multi-user correlated large-scale MIMO channels”, 2016 8th Int. Symp. on Telecommun. (IST), pp. 337–342, Sep. 2016.

[16] M. Maleki and K. Mohamed-pour, “Hybrid preprocessing aided spatial modulation in multi-user massive MIMO systems”, IET Commun., vol. 12, no. 15, pp. 1812–1821, Sep. 2018.

[17] D. Astharini, K. Azrina, D. Gunawan, D. I. Savitri and O. N. Samijayani, “Design of Visible Light Communication with DCT and M-Ary Pam in Xilinx System Generator,” 2018 IEEE 5th International Conference on Engineering Technologies and Applied Sciences (ICETAS), 2018, pp. 1–6, doi: 10.1109/ICETAS.2018.8629222.

[18] Emir Ganic and Ahmet M. Eskicioglu, “Robust embedding of visual watermarks using discrete wavelet transform and singular value decomposition”, Journal of electronic imaging, vol. 14, no. 4, pp. 043004, 2005.

[19] M. Waldecker and R. Marsalek, “Impact of Hardware Imperfections and Imperfect Channel Knowledge on SVD-precoded MIMO,” 2022 32nd International Conference Radioelektronika (RADIOELEKTRONIKA), 2022, pp. 0104, doi: 10.1109/RADIOELEKTRONIKA54537.2022.9764957.

[20] H. Prasetyo, D. Rosiyadi and I. Setiawan, “A New Variation of Singular Value Decomposition,” 2019 International Symposium on Intelligent Signal Processing and Communication Systems (ISPACS), 2019, pp. 1–2, doi: 10.1109/ISPACS48206.2019.8986253.

[21] T. Y. Elganimi, M. S. Alshawish and M. M. Abdalla, “Enhanced Transmit Antenna Selection Using OSTBC Scheme with SVD-Based Hybrid Precoding for 5G Millimeter-Wave Communications,” 2019 6th International Conference on Electrical and Electronics Engineering (ICEEE), 2019, pp. 153–157, doi: 10.1109/ICEEE2019.2019.00037.

[22] N. K. Kundu and M. R. McKay, “Channel Estimation for Reconfigurable Intelligent Surface Aided MISO Communications: From LMMSE to Deep Learning Solutions,” in IEEE Open Journal of the Communications Society, vol. 2, pp. 471–487, 2021.

[23] C. Yi, B. Zhao, L. Huang and T. Pan, “Promotion from 1-Bit Quantization Model to Multi-Bit in SAR Imaging,” 2019 6th Asia-Pacific Conference on Synthetic Aperture Radar (APSAR), 2019, pp. 1–4, doi: 10.1109/APSAR46974.2019.9048415.

Biographies

images

Zehui Liu received the bachelor’s degree in communication engineering from Beijing Jiaotong University in 2012, and the philosophy of doctorate degree in communication and information systems from Beijing Jiaotong University in 2017, respectively. He is currently working as an senior engineer at the State Grid Shanxi Electric Power Company Electric Power Research Institute.

images

Min Guo received the bachelor’s degree in electrical engineering and automation from Taiyuan Science and Technology University in 2015, and the master’s degree in electronic and communication engineering from Inner Mongolia Technology University in 2019, respectively. She is currently working as an assistant engineer at the State Grid Shanxi Electric Power Company Electric Power Research Institute.

images

Yun Ju received the Master and Ph.D. degrees from the School of Control and Computer Engineering, North China Electric Power University, Beijing, in 2006 and 2014, respectively. He is currently an lecturer in School of Control and Computer Engineering, North China Electric Power University, China. His current research interests include computer science and control engineering. He has authored or co-authored more than 50 publications.

Abstract

1 Introduction

images

2 System Model

images

2.1 Channel Probing and Feature Extraction

2.2 Eigenvalue Pre-processing

2.2.1 Introduction to the SVD algorithm

2.2.2 Pretreatment program

2.3 Feature Quantification

2.4 Generate Key

3 Simulation Experiment

images

images

4 Conclusion

Acknowledgements

References

Biographies