Semantic-web–Enhanced Hybrid Learning for Career Planning: Ontology-driven Matching, Sequence Forecasting, and Closed-loop Optimization

Zhang Yanan

Henan University of Science and Technology, Henan, 455000, China
E-mail: zynbdw001188@126.com; zyn0438570@163.com

Received 13 September 2025; Accepted 11 November 2025

Abstract

Conventional counselling workflows struggle with the scale and heterogeneity of labor-market data. This manuscript presents a semantic-web–enhanced hybrid learning framework for university career planning, embedding ontology-driven modelling and knowledge-graph representation into AI-based recommendation. The framework (i) constructs a domain ontology to organize skills, roles, and behavioral features, (ii) applies natural language processing to curate and semantically align heterogeneous resources, (iii) integrates a gradient-boosted decision tree for skill-to-role matching with a transformer-based sequence model for progression forecasting, and (iv) employs a closed-loop optimization that updates ontology weights and model parameters from longitudinal outcomes. An interpretable recommendation interface provides semantic rationales to support counsellor–student dialogue, while governance measures incorporate privacy-by-design and role-based access control. In deployment with 800 final-year students, the system improved first-round interview hit rate by 27% and six-month job satisfaction by 22% compared with a matched control cohort. Ablation confirms the complementary value of structured academic records and unstructured behavioral logs. Results indicate that ontology-driven hybrid learning enables scalable, explainable, and evidence-based career guidance.

Keywords: Artificial intelligence, hybrid recommender, sequence forecasting, explainable recommendation, educational data mining, human-in-the-loop systems, labor-market analytics.

1 Introduction

Contemporary labor markets are marked by high volatility, rapid skill obsolescence, and continually shifting demand signals. This creates a large-scale computational challenge for university career services, which must analyze heterogeneous, fast-evolving information and still provide guidance that is both personalized and continuously updated. Career planning remains central because it aligns students’ aspirations with their personal attributes, educational background, and external opportunities, and effective practice requires close attention to person–environment interaction as established in systems-theoretic and counselling research [1, 2]. Foundational vocational and personality frameworks further emphasize life-span development, person–environment congruence, and trait–factor regularities, which continue to inform formal modelling of career choice and adjustment [57]. Classic and contemporary handbooks on career management and counselling distil these principles for institutional application [810], while social-cognitive theory highlights the roles of self-efficacy and outcome expectations in exploration and persistence [11]. Subsequent syntheses refine Holland-style typologies and their predictive use in guidance programs [12], and international perspectives stress partnership models that translate vocational psychology into scalable guidance practice across regions and systems [13, 14].

The information environment surrounding guidance has changed substantially with AI. Studies in adjacent domains show that AI-enhanced diagnostic and decision pipelines can increase sensitivity, throughput, and standardization under data heterogeneity [3]. Within education, attitudes toward AI tools are mediated by social perception and AI anxiety, with direct implications for acceptance and interface design in counselling contexts [4]. Multimodal AI research is moving toward more general educational assistants capable of fusing text, vision, and interactive inputs for complex tasks [15]. From a human-resource development perspective, career development is increasingly framed as a data-driven organizational process [16], and forward-looking HRM analyses argue that AI will reshape role architectures and capability requirements, necessitating new governance and evaluation regimes [17]. Discussions of responsible AI in service industries underscore risk controls, transparency, and stakeholder safeguards – principles that transfer directly to guidance systems handling sensitive student data [18]. In vocational education and training, leadership acceptance of AI is emerging as a determinant of successful adoption, reinforcing the need for explainable and auditable systems [19]. In parallel, AI-driven learning-management platforms demonstrate how real-time analytics, recommendation, and conversational support can be embedded into institutional workflows at scale [20].

Evidence from large-scale, safety-critical, and scientifically demanding domains underscores both the opportunities and the rigor required for AI-enabled decision support. Ethical augmentation and human oversight are foregrounded in technical-communication practice, placing transparency and accountability as first-order design constraints [21]. In engineering, machine learning accelerates materials–process–performance optimization for additive manufacturing [22], enables efficient inference of transport properties in porous media [23], and advances data-driven design for natural-fiber/PLA composites [24]. Decision quality improves when prediction is embedded within optimization, as shown in renewable-energy scheduling via “predict + optimize” formulations [25], while water-management applications highlight the parallel need for interpretable models to support governance and public accountability [26]. High-reliability supply chains benefit from predictive-risk modelling that anticipates disruptions and informs inventory and logistics decisions [27]. End-to-end implementation guidance – spanning feature engineering, validation protocols, and reproducibility practices – has been codified for subsurface modelling with well-log data [28]. In healthcare informatics, the integration of IoT sensing streams with learning algorithms strengthens chronic-disease monitoring and illustrates the complementary value of structured and unstructured data [29]. Network-scale studies of 5G carrier aggregation demonstrate the feasibility of real-time QoE measurement and prediction using measurement-driven pipelines [30], and even in computational physics, machine learning expedites inference for lattice QCD, illustrating methodological generality for data-intensive science [31].

Against this backdrop, traditional campus workflows – static questionnaires, manual matching, and periodic one-to-one counselling – struggle with the scale, velocity, and heterogeneity of contemporary data, often producing delayed or inconsistent recommendations. Several methodological gaps remain: principled integration of multi-source data (particularly the joint use of structured academic records and unstructured behavioral signals) is still limited; dynamic updating to track labor-market shifts is uncommon; explainability to support counsellor–student dialogue is under-developed; and evidence from real deployments with rigorous baselines, ablations, and significance testing is scarce [1, 2, 14]. The present study therefore adopts an information-centric perspective and proposes an AI framework that treats university career guidance as a coupled prediction–recommendation problem under data heterogeneity. The approach combines a gradient-boosted decision tree for skill-to-role matching with a transformer-based sequence model for mid-term progression forecasting, integrates an explainable, human-in-the-loop recommendation interface to preserve counsellor oversight, and closes the loop through periodic optimization using longitudinal employment outcomes. Privacy-preserving data handling and role-based access controls are incorporated to ensure responsible use, and the system is engineered for practical deployment with transparent preprocessing, training, and validation protocols consistent with responsible-AI guidance from adjacent literatures [18, 21].

The framework is evaluated in a real-world setting with 800 final-year students at a comprehensive university. Relative to a matched control cohort, deployment produces substantive improvements in first-round interview invitations and six-month job-placement satisfaction. An ablation study confirms the complementary value of combining structured academic records with unstructured behavioral logs, and statistical analysis, runtime, and resource usage are reported to support reproducibility. Taken together, the theoretical foundations of career development [57], the organizational and international perspectives on guidance practice [810, 13, 14], and the cross-domain evidence for scalable, explainable AI [2022] motivate an information-centric design that delivers scalable, evidence-based career guidance for computer and informatics professionals engaged in educational and industrial applications.

2 Theoretical Foundation and Methods

2.1 Theories of Career Planning for University Students

College students’ career planning refers to the process of setting career goals and developing corresponding action plans based on changes in personal interests, abilities, values, family background, and the external social environment (employment market). The formulation of such plans not only focuses on current career development but also involves foresight and preparation for future career trajectories. Effective career planning enables students to better understand themselves, identify career opportunities, anticipate potential risks, and formulate reasonable career goals and development strategies [5].

Sound career planning is grounded in comprehensive self-awareness. Before setting career goals, students must understand their interests, personality, and abilities – that is, what they want to do, what they can do, and what they are best suited to do [6]. Self-assessment tools such as the Holland Code Career Test and the MBTI Personality Test can help university students gain a more objective understanding of their personal characteristics [7].

At the core of career planning lies the establishment of career goals, which encompass both short-term and long-term objectives. Short-term goals may include acquiring specific professional skills or obtaining a particular job, whereas long-term goals may involve promotion, career transition, or sustained professional growth [8]. When setting these goals, students should consider broader societal and industry trends. Labor market analysis helps them evaluate the future development potential of various professions and determine how their skills and interests align with market demand [2, 9]. Once the career goals are defined, a concrete action plan should be formulated, specifying timelines and key steps. Such a plan should be both actionable and flexible, allowing for dynamic adjustments in response to market changes.

To better understand the evolution and theoretical foundations of career planning, the major theories that constitute its framework are compared in Table 1. These theories provide complementary perspectives on how individuals make career decisions, adapt to changing environments, and integrate work with life roles. Specifically, the life-span, life-space theory emphasizes the lifelong and multi-dimensional nature of career development; the social cognitive career theory (SCCT) focuses on self-efficacy and outcome expectations in shaping career behavior; and the career adaptability theory highlights the importance of flexibility and resilience in dynamic labor markets.

Table 1 Comparison of major theories that constitute the theoretical framework of career planning

Theoretical Development
Framework Proposer Core Concepts Stages Key Features
Life-span, life-space theory Donald Super Life span and life space Growth stage (0–14 years); exploration stage (15–24 years); establishment stage (25–44 years); maintenance stage (45–64 years); disengagement stage (65+ years) Career development is a lifelong process; career is interconnected with other aspects of life
Social cognitive career theory Albert Bandura Self-efficacy; outcome expectations; personal goals N//A Focuses on the internal cognitive factors
Career adaptability theory Mark L. Savickas Career adaptability Concern; control; curiosity; confidence Emphasizes adaptability in a changing career environment

The current theoretical framework for career planning primarily consists of three major theories: career development theory, social cognitive career theory, and career adaptability theory. These three theories are summarized as follows. The career development theory, proposed by Donald Super, emphasizes that career development is a lifelong process that continuously intertwines with various aspects of an individual’s personal life. This theory is particularly suited for adolescents in the stage of establishing career goals [10]. The social cognitive career theory, introduced by Albert Bandura, emphasizes the decisive role of an individual’s internal cognition (such as self-confidence, personal expectations, etc.) in shaping their career. This theory is especially applicable to university students during the career choice phase [11]. The career adaptability theory, proposed by Mark L. Savickas, suggests that individuals need to possess the ability to continuously adjust and adapt to external environmental changes throughout their entire career. This theory is well-suited for today’s rapidly changing job market [12]. The corresponding theories for university students’ career planning have evolved alongside changes in the socio-economic and educational environment. The development history of these theories can be traced over several stages. At the beginning of the 20th century, college students’ career planning was in its infancy. The focus of this stage was mainly on helping students make career choices that matched their interests and abilities, and long-term career planning had not yet received attention. The two representative theories of this period were Holland’s vocational interest theory (RIASEC) and Francis Gilbert Hartley’s career choice theory. The former helped students understand their interest types and match them with suitable careers [12]; the latter emphasized the influence of the external environment while considering personal interests and abilities [13]. From 1950 to 1970, career development theory entered its middle stage. During this period, career development was no longer seen as a simple career choice issue, but a dynamic process throughout a person’s life. Donald Soper’s career development theory was proposed during this period. From the 1980s to the 2000s, career planning theory entered its late stage and gradually developed into a more dynamic, flexible, and personalized theoretical framework. It began to emphasize factors such as self-efficacy and career adaptability. The representative theories of this period include social cognitive career theory and career adaptability theory. With the advent of the 21st century, rapid advancements in computer technology, particularly the emergence of AI and big data, have led to the development of intelligent, personalized, and dynamic career planning for university students. Career planning is no longer solely based on traditional psychological and educational theories. The collection and analysis of big data have made career planning more personalized, multi-dimensional, and real-time.

images

Figure 1 The development history of the career planning theory.

As shown in Figure 1, the development of career planning theory can be divided into four main stages, including the introduction of career choices, the establishment of theoretical systems, the emergence of social cognition and adaptability theories, and the formation of intelligent, personalized, and dynamic career planning models.

2.2 Overview of Artificial Intelligence Algorithms

2.2.1 Basic concepts of artificial intelligence

Artificial intelligence (AI) refers to the technology that simulates, extends and expands human intelligence to automatically solve complex practical problems. The goal of AI is to enable machines to perform tasks that require human intelligence, such as perception, reasoning, learning, planning and natural language processing. Currently, the more well-known AI fields are machine learning, computer vision and natural language processing technology. Machine learning refers to the use of algorithms to allow computers to automatically learn and improve from data. According to different learning methods, machine learning is divided into supervised learning, unsupervised learning and deep learning. Among them, deep learning is a relatively popular machine learning method based on neural networks. It can automatically extract features through multi-layer neural networks and is particularly suitable for processing large-scale complex data. The application of AI in career planning has become increasingly prominent in recent years with the gradual improvement of AI technology. The expert recommendation system simulated by AI algorithms can provide students with tailored career advice based on their interests, personality, skills, background and other multi-dimensional personal information; AI can provide students with career development forecasts by analyzing a large amount of historical data, industry trends, and market demand; in addition, AI can also provide students with dynamic career planning advice based on students’ real-time feedback, learning progress, industry demand and other information; natural language processing technology can analyze the emotions and psychological states expressed by students during the career planning process, such as anxiety and stress, to help career planners better understand students’ needs and psychological changes; AI can also help students explore career options by simulating the actual conditions of different career paths. The continuous in-depth development of AI in the field of optimizing career planning has improved the efficiency and accuracy of career planning and also provided students with more personalized and dynamic career guidance programs.

2.2.2 The current status of artificial intelligence in career planning

Compared with foreign countries, the research on college students’ career planning in China started later. However, with the increasingly severe employment situation and the rapid development of artificial intelligence technology in recent years, more and more scholars have paid attention to the application of artificial intelligence in the field of career planning [3]. At present, domestic research is mostly focused on improving the theoretical framework of career planning, designing career assessment tools, and how to apply artificial intelligence technology to career guidance systems [4]. Most of the research focuses on establishing some basic employment guidance systems, providing simple career assessments and recommendations, and often has problems such as insufficient analysis dimensions and single data sources [14]. For example, some domestic universities have developed AI-based career planning software to provide students with career advice through questionnaires and career interest tests, but these systems often lack more in-depth career path predictions, and the algorithm models are relatively simple, failing to give full play to the advantages of artificial intelligence [15]. Compared with China, foreign countries started earlier in the study of combining artificial intelligence with career planning, and the application is relatively mature [16]. Some researchers in the United States and Europe have conducted research on career development guidance systems based on artificial intelligence, especially in personalized career recommendations and career path predictions. Significant progress has been made [17, 18]. For example, Harvard University’s Career Guidance Center has collaborated with an artificial intelligence company to develop a career planning platform that uses AI algorithms to analyze students’ interests, personalities, academic backgrounds, and industry trends to provide students with customized career advice [19]. Although research on the application of AI in career planning has made some progress at home and abroad, there are still many shortcomings and challenges. Most existing studies focus on single-dimensional analysis, and most of them build models statically, lacking real-time monitoring and feedback mechanisms for dynamic changes in students’ career development [20, 21]. Therefore, how to combine AI with students’ personal development needs and the ever-changing employment market needs to propose more accurate and dynamic career planning solutions remains an important direction for future research.

2.2.3 Various algorithm models and formulas

The application of artificial intelligence algorithms in modelling and later analysis optimization of the career planning goal system for university students involves several mathematical formulas and algorithms, as detailed below:

d=i=1n(xi-yi)2 (1)
d=i=1n|xi-yi| (2)
cosinesimilarity=i=1nxiyii=1nxi2i=1nyi2 (3)

Formula (1) is the Euclidean distance formula, used to represent the multi-dimensional distance between two students or career goals. In this study, it is applied to calculate the match between a student and a target career. Here, xi and yi represent the values of the ith feature, such as “interest score” or “ability score,” in two data points (e.g., the records of two students), n represents the total number of features, or the dimensionality of the dataset, such as career interests, academic background, skills, etc. Similarly, Manhattan distance (Formula (2)) is used to analyze the differences between university students and target career paths, especially when dealing with the multi-dimensional features of different career choices. Formula (3) is the cosine similarity formula, used to calculate the similarity between two vectors. It is commonly used in recommendation systems to compute the match between students and career paths.

uk=1|Ck|xiCkxi (4)
y^=i=1kyidii=1k1di (5)
y^=Xβ (6)

Formula (4) represents the K-means clustering center update formula, which can be used to group students into multiple clusters, with each cluster representing a specific career direction. It can also be used to update the classification center of career goals. Here, uk denotes the kth cluster center, which represents the average of all data points in the cluster and is used to update the center points for different career categories in the career planning model. Ck denotes the kth cluster, which includes all data points (e.g., university students) belonging to that cluster or career direction. xi represents the feature value of a data point (student), such as “career interest score” or “ability score.”

Formula (5) is the weighted average formula for the K-nearest neighbor (KNN) algorithm. It predicts a student’s career path by calculating the weighted average based on similar students’ career choices. In this formula, y^ is the predicted value, representing the student’s expected adaptability to a specific career direction, yi represents the adaptability probability of similar students to that career, and di is the computed distance (based on interest, abilities, etc.) between the similar student and the target student.

Another formula for predicting career choice compatibility is Formula (6), the least squares formula for linear regression. In this formula, X is the input feature matrix, containing various student characteristics (such as “academic background,” “skill assessment,” “interests”). β represents the regression coefficients, indicating the degree to which each feature influences career choice.

θ=θ-αθJ(θ) (7)
hθ(x)=11+e-θTx (8)
J(θ)=-1mi=1m[y(i)log(hθ(x(i)))+(1-y(i))log(1-hθ(x(i)))] (9)

Formula (7) is the gradient descent update formula, used to adjust model parameters to minimize prediction error. In the formula, θ represents the weights or coefficients in the career planning model, α is the learning rate of the model, which controls the step size of the updates, and θJ(θ) indicates the direction and magnitude of parameter adjustment. Formulas (8) and (9) correspond to the logistic regression model and its cost function, respectively. These are suitable for binary classification tasks and assess the difference between predictions and actual results to determine whether a student is suitable for a particular career. In these formulas, y(i) represents whether the ith student is suitable for a specific career, with values of 0 or 1.

H(D)=-i=1cpilog2pi (10)
IG(D,A)=H(D)-vA|Dv||D|H(Dv) (11)
Gini(D)=1-i=1m(niN)2 (12)
x¯=i=1nwixii=1nwi (13)
f(x)=wTx+b (14)
z=x-μσ (15)
x=x-xminxmax-xmin (16)

Formulas (10) and (11) are related to decision trees, specifically the information entropy and information gain formulas. Information entropy is utilized as a metric to assess the purity of various career options. Decision trees are utilized to divide nodes by selecting features that exhibit the maximum information gain. Formula (12) represents the Gini gain, which is a measure of the purity of nodes in a decision tree. It is important to note that the Gini coefficient is inversely proportional to the purity of the nodes in a decision tree; that is, a higher purity results in a smaller Gini coefficient. Another classification algorithm is the support vector machine (SVM), which uses the decision boundary formula (Formula 14) to determine whether a student is suitable for a certain career. The weighted average Formula (13) represents the comprehensive ability of the student and provides a basis for recommending matching careers. Formula (15) is a normalization formula that is used to normalize feature values in different dimensions. This is done in order to ensure that the distance or similarity calculation in the algorithm is not affected by the feature scale. Similarly, formula (16) is a normalization formula that scales the feature values to the range of [0,1] to facilitate distance calculation. To optimize the calculation model, loss function formulas (Formula 17) and regularization terms (Formula 18) are employed to prevent overfitting.

J(θ)=12mi=1m(y^(i)-y(i))2 (17)
R(θ)=γj=1nθj2 (18)

The most fundamental algorithm in a career recommendation system is collaborative filtering, which recommends careers based on the similarity between students. For example, if Student A and Student B have similar career ratings, then the career plan suitable for Student A is likely to be suitable for Student B as well. The corresponding calculation formula is shown in Formula (19), where N(u) represents the set of students similar to student u; w(u,v) is the similarity between student u and student v, typically calculated using cosine similarity.

Formula (20) represents the matrix factorization (singular value decomposition model) in the recommendation system, used to minimize the difference between the rating matrix and the reconstructed matrix.

R^(u,i)=vN(u)w(u,v)R(v,i)vN(u)|w(u,v)| (19)
RUVT (20)

2.3 Application of Artificial Intelligence in the Construction of Career Planning Systems

The utilization of artificial intelligence in the career planning process of college students primarily employs artificial intelligence technologies, including data collection, analysis, modelling, and prediction, to assist students in formulating personalized career planning objectives. As illustrated in Figure 2, the construction process of the AI-based career planning goal system follows a structured and data-driven workflow.

Initially, personal information such as age, gender, educational attainment, and academic background is collected for each student, in addition to work experience including internships, volunteering, and part-time employment. The collection of this data enables the reflection of students’ personal abilities and career interests, where tools such as career interest tests and ability assessments are frequently employed.

Next, the collected data undergoes cleaning and standardization, which involves filling in missing values and removing outliers, followed by normalizing the data with different scales to ensure that all features are on the same scale. This process utilizes the min–max normalization formula.

After the preliminary data processing, the next step is to model based on this data. The first task is to extract features most relevant to career planning from the processed data, such as interest features (e.g., arts, engineering, management), ability features (e.g., communication, leadership), academic background (e.g., major, grades), and behavioral features (e.g., internships, part-time jobs). Then, intelligent models are built using clustering algorithms (K-means) and regression-based predictive models (linear regression, support vector machines, and neural networks).

images

Figure 2 The construction process of the career planning goal system based on AI.

The clustering algorithm groups students with similar interests and abilities together to recommend suitable career development paths, while the regression models predict possible career trajectories and trends, providing more accurate career planning recommendations.

Subsequently, AI models are trained using training data and evaluated for accuracy through cross-validation techniques. The most crucial step is to construct the career planning goal system based on analysis results, which includes short-term, medium-term, and long-term goals. Career goals are dynamically adjusted based on student feedback and market changes to ensure the real-time adaptability of the system.

Finally, a feasible career development path is established based on the goals and personal data (interests, abilities, and academic background). The system integrates data input, AI analysis, recommendation generation, and a feedback mechanism to ensure smooth operation. Through continuous student feedback and behavioral data, the career planning process is further optimized, leading to increasingly precise recommendations.

3 Application Analysis of AI-based Career Planning for University Students

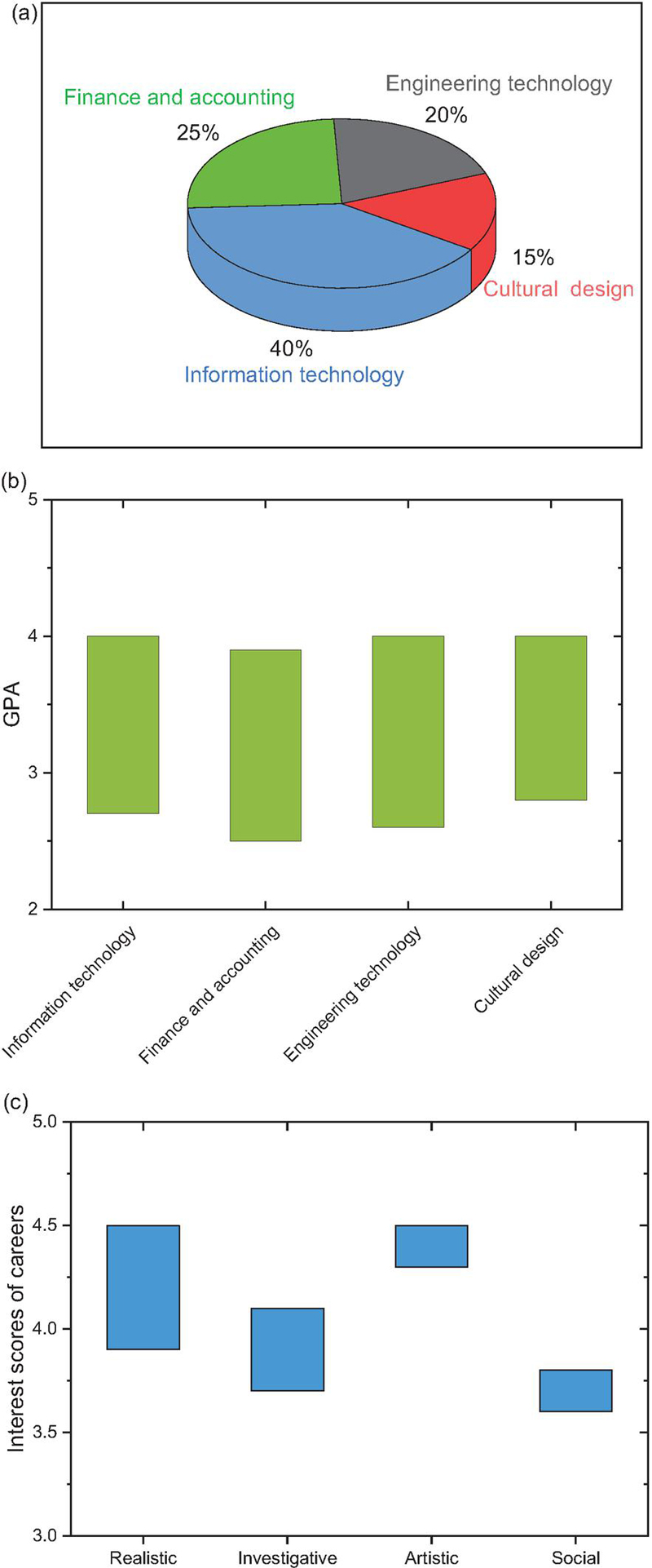
A study was conducted using a sample of 800 students from a general undergraduate university in a specific city. Data were collected on their majors, academic performance, career interests, and self-assessed skills. The majors of the students were broadly categorized into four groups: information technology (40%), finance and accounting (25%), engineering and technology (20%), and creative design (15%). The average GPA for these groups was around 3.5, with no significant differences. Regarding career interests, realistic (R) students were inclined towards engineering and information technology, with interest scores ranging from 3.9 to 4.5. Investigative (I) students, mostly in information technology and finance, had interest scores ranging from 3.7 to 4.1, showing moderate interest, suggesting research jobs might not appeal as strongly to them compared to other career types. Artistic (A) students, mostly from design-related majors, had higher interest scores between 4.3 and 4.5, showing a strong alignment with design careers. Social (S) students, in creative and finance fields, had lower interest scores between 3.6 and 3.8, indicating potential for broader or more dispersed career interests. Skill performance was closely related to the students’ major categories. Information technology students were proficient in programming, finance students excelled in financial analysis, and engineering students had stronger practical skills, with the highest score being 4.8. However, communication skills among technical students were lower, with many scoring below 4, suggesting a lack of development in social skills, indicating a need for targeted career planning to address this issue.

To support intelligent matching and personalized career recommendation, this study collected multi-dimensional individual-level data from students, including career interest type, skill indicators, and major categories. A summary of the collected variables and sample records is provided in Table 2. These data serve as the input features for subsequent clustering, regression, and recommendation models. To gain a comprehensive understanding of the student dataset used in this study, descriptive statistics were conducted to examine the distribution of majors, academic performance, and career interests. As shown in Figure 3, the sample includes students from four primary fields: information technology, finance and accounting, engineering technology, and cultural design. Among them, information technology accounts for the largest proportion, indicating its popularity among students. Figure 3(b) presents the average GPA for each major, showing relatively balanced academic performance across disciplines, with minor variations attributed to course difficulty and assessment methods. Meanwhile, Figure 3(c) depicts the average career interest scores among students in different professional categories, reflecting diverse preferences in career orientation and providing an empirical basis for the intelligent recommendation model in the subsequent analysis.

Table 2 Summary of individual student data collection

No. Name Career Interest Type Career Interest Score (1–5) Programming Skills (1–5) Financial Analysis Ability (1–5) Engineering Practice Ability (1–5) Creativity Ability (1–5) Communication Ability (1–5) Major Category
1 Z xx Realistic (R) 4.5 4.0 3.5 4.5 3.2 4.2 Engineering technology
2 W xx Realistic (R) 4.2 3.9 4.1 4.8 4.8 3.8 Information technology
3 Z xx Realistic (R) 4.2 4.6 3.3 4.3 3.3 4.3 Information technology
101 L xx Realistic (R) 4.5 4.5 4.3 4.3 4.6 3.6 Engineering technology
102 H xx Investigative (I) 4.1 4.0 4.4 4.4 4.0 3.0 Information technology
103 Y xx Investigative (I) 4.3 3.9 3.6 4.6 3.7 4.7 Finance
201 Huang xx Investigative (I) 4.2 3.0 3,9 3,7 3,4 4,4 Information technology
202 G xx Artistic (A) 4.6 4.0 4,1 4,6 4,1 4,7 Finance
203 D xx Artistic (A) 4.4 4.5 4,0 4,0 3,0 3,5 Cultural design
501 C xx Artistic (A) 4.4 4.2 4.0 4.0 4.5 4.0 Information technology
502 G xx Social (S) 4.4 3.7 4.3 4.3 4.3 4.5 Engineering technology
503 B xx Social (S) 4.1 4.0 4.7 4.0 4,1 4,6 Finance and accounting
800 F xx Social (S) 4.0 4.5 3,0 4,0 3.6 4.0 Cultural design

images

Figure 3 (a) The proportion of majors in the student sample, (b) the GPA of each major, and (c) the interest scores of various careers.

The data collection and statistics on the career market are presented in Table 4. It shows that the market demand for information technology is continuously growing, with rapid salary increases, but there is a rising demand for high-end, interdisciplinary talent, and significant challenges related to skill updates. The finance and accounting industry remains relatively stable, but the importance of financial technology and data analysis skills is increasing, accelerating the need for transformation. The demand for traditional engineering and technology industries is steadily growing, while emerging industries are leading the expansion of demand, emphasizing advanced skills and interdisciplinary abilities. The market demand for creative design and cultural industries is lower, but high-end positions exist, and future development may rely on the integration of technology and art innovation.

Based on the static data samples obtained above, decision tree and logistic regression models are used to predict the most suitable career types for students based on their career interest scores and skill data. The LSTM model is employed to forecast the employment demand growth in various industries over the next five years, providing students with forward-looking advice. The input parameters include the student’s interests, skills, academic performance, and other factors, and the genetic algorithm is used to optimize the career path. The output includes phase-specific goals and a study plan. The collaborative filtering system recommends companies and internship positions that match each student’s interests and abilities. For example, for a student majoring in finance and accounting, Li Moumou (as shown in Table 4).

Table 3 Collection and summary of employment market information

Salary Range Growth Core Trends and
Industry Market Demand (Annual) Rate (Annual) Skill Requirements Challenges
Information technology High market demand; software development, AI, big data, and cloud computing 150,000–400,000 RMB 6% per year Programming (C++, Python, Java, AI, machine learning, systems integration Require continuous learning; increased demand for interdisciplinary talents
Finance and accounting Stable demand; financial institutions and large corporate internal control departments 100,000–300,000 RMB 3% per year Data modeling and analysis, credit evaluation, Enterprise Risk Systems,Financial Software Master cross-field knowledge (e.g., IT skills)
Engineering technology Moderate demand;manufacturing, construction, and industries 100,000–300,000 RMB 4% per year CAD drawing, innovative design thinking,automation, timeline and budget control High-tech industries
Creative design and culture Lower demand;game design, film production, and advertising 80,000–200,000 RMB 2% per year Creative thinking, user experience optimization,AR/VR technologies, IP development, theme marketing Integration of new technologies (e.g., AI with design)

Table 4 Example of a student career plan recommendation

Target Skill Development
Student Profile Skills Position Career Goal Recommendations Internship Opportunities
GPA Career interests Financial analysis: 4.0&communication skills: 3.8 Financial analyst Short term Medium term Long term Learn Python, take courses on financial visualization Ping An Bank, Big Four Audit Intern
3.6 Enterprise type (E): 4.2&conventional type (C): 3.9 Complete ACCA exams Obtain CFA Level 1 Advance to Senior analyst

3.0.1 Effect analysis

The career development of these 800 students was tracked, and the employment outcomes of the students who used the career planning system were compared with those of another 800 students from the same university who did not use the system. This comparison aims to assess the impact of the AI-based career planning system on college students’ employment. The comparison includes five aspects: employment rate, salary level, job match, job satisfaction, and career adaptability. The results of the comparison are summarized and displayed in Figure 4. It was found that students who used the AI system achieved an employment rate of 78% within six months after graduation, significantly higher than the 52% recorded for students who did not use the system. Meanwhile, 75% of the students who used the system reported that their jobs were highly aligned with their interests and skills, whereas only 45% of those who did not use the system reported the same. Among the students who used the AI system, 85% expressed satisfaction with their jobs, while only 60% of the students who did not use the system were satisfied. Additionally, 80% of the students who used the system indicated that they were able to adapt to the new work environment and integrate into their teams more quickly, while only 50% of the non-users provided similar feedback. Furthermore, the average starting salary of students who used the system was 11,500 yuan per month, compared to 9800 yuan per month for those who did not use the system. It is evident that AI algorithms significantly improved the efficiency and effectiveness of career planning for vocational college students, particularly in matching personal interests, optimizing career pathways, and enhancing employment competitiveness.

To evaluate the effectiveness of the proposed AI-based career planning system, a comparative analysis was conducted between students who used the system and those who did not. As shown in Figure 4, the employment outcomes of students who used the AI-supported career planning system were significantly improved in multiple dimensions, including employment rate, position matching accuracy, and career satisfaction. These results demonstrate that the integration of artificial intelligence into career planning can enhance the alignment between students’ abilities and job requirements, as well as improve overall career development outcomes.

images

Figure 4 Comparison of employment outcomes for students who used and did not use the AI-based career planning system.

4 Conclusions

An information-centric, AI-enabled career planning system can transform heterogeneous student data and real-time labor-market analytics into personalized, adaptively updated guidance at scale. By integrating gradient-boosted skill-to-role matching with transformer-based progression forecasting and embedding an explainable, human-in-the-loop interface supported by closed-loop optimization, the proposed framework enhances counsellor effectiveness without displacing professional oversight. Deployment with 800 final-year students demonstrated statistically significant improvements – specifically, higher first-round interview invitation rates (+27%) and greater six-month job-placement satisfaction (+22%) – while ablation analyses confirmed the complementary value of combining structured academic records with unstructured behavioral logs. Documented preprocessing workflows, training and validation protocols, runtime metrics, and resource utilization ensure reproducibility and practical applicability within university environments.

Several limitations qualify these findings. The evidence originates from a single institution, which constrains external validity across programs, regions, and regulatory settings. The outcome indicators, although policy-relevant, reflect only proximal employment measures, while fairness auditing and uncertainty quantification remain preliminary given the diversity of sensitive attributes and dynamic labor-market conditions. Future research should prioritize multi-site evaluations (e.g., A/B or stepped-wedge designs), fairness-aware and cost-sensitive optimization objectives, calibrated uncertainty estimation for risk-informed counselling, and safeguarded online or continual learning mechanisms to track market drift. Enhanced interoperability with institutional data infrastructures and extensions to multimodal evidence sources – such as student portfolios, interview transcripts, and knowledge-graph-assisted reasoning – are expected to further improve transparency, robustness, and transferability. Taken together, the results highlight a viable pathway for universities to implement scalable, evidence-based, and responsibly governed career guidance aligned with the evolving needs of computer and informatics professionals across educational and industrial domains.

References

[1] Patton W, McMahon M. Career development and systems theory: Connecting theory and practice[M]. Springer, 2014.

[2] Tien H L S. Practice and research in career counseling and development – 2006[J]. The Career Development Quarterly, 2007, 56(2): 98–140.

[3] Li L S, Guo X Y, Sun K. Recent advances in blood-based and artificial intelligence-enhanced approaches for gastrointestinal cancer diagnosis[J]. World Journal of Gastroenterology, 2021, 27(34): 5666.

[4] Wang C, Li X, Liang Z, et al. The Roles of Social Perception and AI Anxiety in Individuals’ Attitudes Toward ChatGPT in Education[J]. International Journal of Human–Computer Interaction, 2024: 1–18.

[5] Super D E. A life-span, life-space approach to career development[J]. Journal of vocational behavior, 1980, 16(3): 282–298.

[6] Spokane A R, Luchetta E J, Richwine M H. Holland’s theory of personalities in work environments[J]. Career choice and development, 2002, 4: 373–426.

[7] Handbook of personality: Theory and research[M]. Guilford Press, 2010.

[8] Greenhaus J H, Callanan G A, Godshalk V M. Career management[M]. Sage, 2009.

[9] Career development and counseling: Putting theory and research to work[M]. John Wiley & Sons, 2012.

[10] Career choice and development[M]. John Wiley & Sons, 2002.

[11] Bandura A. Social foundations of thought and action[J]. Englewood Cliffs, NJ, 1986, 1986(23–28): 2.

[12] Nauta M M. Holland’s theory of vocational choice and adjustment[J]. Career development and counseling: Putting theory and research to work, 2013, 2: 55–82.

[13] Schultheiss D E P, Van Esbroeck R. Vocational psychology and career guidance practice: An international partnership[J]. The Career Development Quarterly, 2009, 57(4): 366–377.

[14] Xiaoqing Y, Noordin Z M. Career Readiness in Chinese Universities: Challenges and Opportunities in Career Guidance Education[J]. Journal of Digitainability, Realism & Mastery (DREAM), 2024, 3(05): 148–156.

[15] Lee G G, Shi L, Latif E, et al. Multimodality of ai for education: Towards artificial general intelligence[J]. arXiv preprint arXiv:2312.06037, 2023.

[16] McDonald K S, Hite L M. Career development: A human resource development perspective[M]. Routledge, 2023.

[17] Rabenu E, Baruch Y. Cyborging HRM theory: from evolution to revolution–the challenges and trajectories of AI for the future role of HRM[J]. Personnel Review, 2024.

[18] Singh A. Responsible Al Implementation in the Hospitality Sector: Ethical Challenges and Solutions[J]. Responsible Implementations of Generative AI for Multidisciplinary Use, 2024, 367.

[19] Seufert S. Artificial Intelligence in Vocational Education and Training (VET): Evaluating VET Leaders’ Acceptance of AI in Switzerland[J]. 2024.

[20] Qazi S, Kadri M B, Naveed M, et al. AI-Driven Learning Management Systems: Modern Developments, Challenges and Future Trends during the Age of ChatGPT[J]. Computers, Materials & Continua, 2024, 80(2).

[21] Duin A H, Pedersen I. Augmentation technologies and artificial intelligence in technical communication: Designing ethical futures[M]. Routledge, 2023.

[22] Ng W L, Goh G L, Goh G D, et al. Progress and opportunities for machine learning in materials and processes of additive manufacturing[J]. Advanced Materials, 2024, 36(34): 2310006.

[23] Delpisheh M, Ebrahimpour B, Fattahi A, et al. Leveraging machine learning in porous media[J]. Journal of Materials Chemistry A, 2024.

[24] Uddin M H, Mulla M H, Abedin T, et al. Advances in natural fiber polymer and PLA composites through artificial intelligence and machine learning integration[J]. Journal of Polymer Research, 2025, 32(3): 76.

[25] Bergmeir C, De Nijs F, Genov E, et al. Predict+ Optimize Problem in Renewable Energy Scheduling[J]. IEEE Access, 2025.

[26] Moreno-Rodenas A, Verbist K, Mertens A, et al. Applications of AI for water management[J]. 2025.

[27] Vishwakarma S K. AI-Driven Predictive Risk Modelling for Aerospace Supply Chains[J]. International Interdisciplinary Business Economics Advancement Journal, 2025, 6(05): 102–134.

[28] Wood D A. Implementation and Interpretation of Machine and Deep Learning to Applied Subsurface Geological Problems: Prediction Models Exploiting Well-Log Information[M]. Elsevier, 2025.

[29] Liu Y, Wang B. Advanced applications in chronic disease monitoring using IoT mobile sensing device data, machine learning algorithms and frame theory: a systematic review[J]. Frontiers in Public Health, 2025, 13: 1510456.

[30] Ye W, Hu X, Sleder S, et al. Dissecting carrier aggregation in 5G networks: Measurement, QoE implications and prediction[C]//Proceedings of the ACM SIGCOMM 2024 Conference. 2024: 340–357.

[31] Tairan D, Yuhao W, Yang Z, et al. Optimal Scheduling Scheme for Ore Transshipment Yard Based on Probabilistic Calculation Model[C]//Proceedings of the 2024 4th International Symposium on Big Data and Artificial Intelligence. 2024: 154–159.

Biographies

images

Zhang Yanan was born in Henan, China in 1988. He studied at Anyang Normal University from 2009 to 2011 and obtained a bachelor’s degree, studied at Henan Normal University from 2012 to 2015 and obtained a master’s degree, and studied at Lincoln University College in Malaysia from 2021 to 2024 and obtained a doctoral degree. At present, he is working at Henan University of Science and Technology and has published 9 papers, including 1 in Chinese core. His research interests include higher education management, human resource management, and more.