Performance Analysis of Evolved RAN Architectures with Open Interfaces

Atanas Vlahov1,*, Georgios Kougioumtzidis1, Albena Mihovska2 and Vladimir Poulkov1

1Technical University Sofia, Bulgaria
2Aarhus University, Denmark
E-mail: ici-lab@sofiatech.bg; gkougioumtzidis@tu-sofia.bg; amihovska@btech.au.dk; vkp@tu-sofia.bg
*Corresponding Author

Received 30 April 2022; Accepted 31 May 2022; Publication 20 September 2022

Abstract

The paper presents a short overview of the evolution of the Radio Access Network (RAN) towards virtualized, open and intelligent RAN architectures. Major KPIs used for performance analysis in the process of the evolution of the RAN are identified. KPIs that are considered of primary importance for ensuring high-quality multimedia communications (MMC) in a scenario of wireless Radio Access Networks based on 4G/5G Open-RAN architectures are measured and analyzed. Different split scenarios according to the O-RAN specifications are considered, as well as relevant to MMC KPIs, such as round trip time, delay jitter and packet loss. Although the variation in the results from the evaluation of these parameters in different RAN architecture scenarios is not drastic, in the context of MMC and future near to-real time services, the results show advantages of these scenarios over legacy RAN architectures. In addition, we propose a network slicing model for optimizing the network performance and enhancing the quality of MMC, by implementing optimal utilization of network resources.

Keywords: Open RAN, multimedia communications, network slicing, functional split.

1 Introduction

The widespread usage of mobile smart devices in recent years has resulted in tremendous growth in the volume of mobile traffic over private and enterprise networks, as well as the worldwide Internet [1]. New multimedia services such as virtual reality (VR), augmented reality (AR), and ultra-high definition (UHD) video streaming, have exploded in popularity, significantly increasing mobile data traffic. This increase resulted in the need for higher bandwidth and reduced latency and is one of the reasons for the introduction of the fifth-generation (5G) mobile network. 5G mobile networks can support high user density, while at the same time providing high data rates and reduce latency. Although it is a good solution for the presented challenges, some hardware improvements still have to be utilized, which in turn increases the network’s capital expenditure (CAPEX) and operational expenditure (OPEX) [2]. New technologies such as network function virtualization (NFV) and software-defined networks (SDN) have introduced the opportunity to handle such challenges without the need of making infrastructure upgrades [3]. These technologies significantly improve network scalability and flexibility, allowing the network to be divided into logical subnetworks, called slices, each dedicated to different use cases. The ability to create network slices tailored to the needs of each service is a key differentiator for the next-generation (NG) networks and allows flexible and dynamic control of the network’s resources in order to meet the demands of today’s complex applications.

“Opening” the network is another driving force in the development of the NG mobile networks. Open-source solutions will bring exciting potential for the whole communications industry, starting with the development of vendor-independent interoperable solutions promoting innovation and competition, decreasing costs, boosting business efficiency, and so on. In the context of the radio access network (RAN), network function virtualization using open-source solutions has already got researchers’ interest [4]. The RAN’s opening will enable more efficient and intelligent network deployments, creative access solutions, and new avenues for disruptive innovators and enterprises [57].

In this paper, we examine and analyze RAN evolution towards virtualized, open and intelligent architectures. Moreover, we identify and analyze the critical key performance indicators (KPIs) related to ensuring high-quality multimedia communications (MMC). For the purpose of measuring and analyzing the MMC-related KPIs, we develop a small-scale testbed based on 4G/5G open-RAN (O-RAN) architectures, and apply different split scenarios according to the O-RAN specifications. Furthermore, we introduce a network slicing framework to optimize the network performance and guarantee high-quality MMC.

The structure of the paper is as follows: in Section 2, we review in detail the O-RAN concept. In Section 3, we present an end-to-end (E2E) O-RAN testbed. In Section 4, we present experimental results drawn from the measurement of KPIs that are considered important for the network performance. In Section 5, we propose a network slicing model for the use case of MMC, and finally, in Section 6, we formulate our conclusions.

2 Open RAN

The techniques of virtualization allow for the logical separation of resources like networks, computational capacity and storage, whilst physical resources are distributed in a dynamic and scalable manner. Network virtualization supports the development of pliable control systems, effective usage of resources, and cost-effective applications, by deploying multiple nodes and links on a single physical equipment [8]. The virtualization of a cellular network targets several elements of the network’s architecture, including infrastructure, spectrum, air interface, radio access technologies and computing resources, and provides benefits like efficient usage of resources, optimized network operation, simpler migration to new technologies, lower CAPEX and OPEX, higher revenues and creation of new markets. The development of O-RAN technology, as advocated by the O-RAN alliance, is one of the key prospects in RAN virtualization. The O-RAN alliance is a consortium of significant members of the telecommunications industry, dedicated in the development of O-RAN solutions based on virtualized RAN elements, white-box hardware, open-source software, and standardized interoperable interfaces that effectively integrate O-RAN’s fundamentals of intelligence and openness.

2.1 Open RAN Architecture

O-RAN concept promotes the definition of an open standard for the virtualized RAN (vRAN), focusing on two principal objectives [9]: (1) the definition of an open architecture, capacitated by well-designated interfaces among the different elements of the RAN; and (2) the incorporation of machine learning (ML) and artificial intelligence (AI) techniques in the RAN design framework, owing to deployment of intelligent controllers at the mobile edge. Every O-RAN element should utilize the same application programming interfaces (APIs), which permit O-RAN-based 5G deployments to embed features from multiple vendors and renders feasible the usage of commercial off-the-self (COTS) hardware.

images

Figure 1 O-RAN logical architecture [5].

The design framework of O-RAN is built to enable NG RAN systems; therefore it is founded on the principles of intelligence and openness, giving the foundations for the building of vRAN on open hardware with AI-based radio control. O-RAN architecture is based on well-defined, standardized interfaces, resulting in an open, interoperable network service delivery environment that complements 3GPP and other industry standardization bodies [5]. The elements of the O-RAN architecture as they are depicted in Figure 1, refer to the centralized unit (CU), distributed unit (DU) and radio unit (RU), in which 5G gNBs as well as 4G eNBs are split. The CU is additionally split in a control plane CU and a user plane CU. Between the unlike options examined by the 3GPP, O-RAN has concluded in a 7-2x split for the DU/RU, in which coding, modulation and mapping to resource features are carried out in the DU, whereas the inverse fast Fourier transformation (FFT), the cyclic prefix addition, and the digital-to-analog conversion are executed in the RU.

2.2 RAN Intelligent Controller

A non-real-time (non-RT) and a near-real-time (near-RT) RAN intelligent controller (RIC) is included in the O-RAN architecture. The non-RT RIC layer is managed and orchestrated by the service management and orchestration (SMO) unit. In the RIC, the non-RT control functions (>1s) and near-RT control functions (<1s) are decoupled. For near-RT RAN operations, non-RT functions include service and policy administration, RAN analytics, and model training. The non-RT RIC produces trained models and real-time control functions, which are then distributed to the near-RT RIC for runtime execution [5].

The RIC’s near-RT layer implements a control loop with a substantially tighter timing constraint (as little as 10 ms), executing operationally demanding functions, including per-UE controlled load balancing, resource block (RB) management, and interference detection and mitigation. It also includes new embedded intelligence-based services, including QoS management, connectivity management, and seamless handover control. The near-RT RIC provides a stable, secure, and scalable platform for third-party control application onboarding. Handovers, resource allocation, load balancing, traffic steering, and other activities might all be controlled using the near-RT RIC [5].

2.3 Advantages of Open RAN Architecture

The advantages provided by the O-RAN architecture can be summarized in the following [10]:

1. Reduction of network’s CAPEX and OPEX. A multi-vendor ecosystem with scale economics can lessen CAPEX in the following ways:

∙ The open interfaces of O-RAN reduce the need for a single manufacturer and allow for multi-vendor collaborative implementations, resulting in a dynamic and competitive supplier system.

∙ Via a wider mobile network ecosystem, open-source software and hardware reference models facilitate speedier innovation.

∙ Scale out designs for capacity, reliability, and availability are possible using O-RAN’s native cloud functionality, instead of deploying expensive scale up models.

RAN automation minimizes OPEX by embedding intelligence in the RAN design and adopting new learning-based techniques to greatly automate operational network services and decrease operational activities.

2. RAN automation increases network efficiency and operation. O-RAN allows for continuous monitoring of network performance and resources, as well as for real-time close-loop control with minimal human interaction. Still in the most complicated networks, O-RAN’s intrinsic capacity to provide effective, closed-loop control of radio resources, will improve network operation and user experience. Non-RT RIC and Near-RT RIC interactions can be utilized to enhance and fine-tune control operations, including load balancing, mobility management, multi-connection control, QoS management, and network energy conservation.

3. Through simple software upgrades of O-RAN’s native cloud infrastructures, new features with remarkable agility can be introduced.

2.4 Usage Scenarios

The agile and open structure of O-RAN will enable the deployment of a diverse range of novel usage scenarios. The following are some instances that are currently being considered in the research and development (R&D) community [10]: low-cost radio access network, white-box hardware, traffic steering, quality of experience (QoE) optimization, QoS based resource optimization, massive multiple-input multiple-output (MIMO) optimization, RAN slice service level agreement (SLA) assurance, context-based dynamic handover management for vehicle-to-everything (V2X), flight path based dynamic unmanned aerial vehicle (UAV) resource allocation, radio resource allocation for UAV applications, and RAN sharing.

By distributing, virtualizing and effectively decoupling RAN functionality, the O-RAN shows significant capacity to foster future edge compute-enabled usage scenarios, allowing for more choice and flexibility in the RAN components implemented to enable service innovation. The software-defined, unbundled, programmable and flexible O-RAN architecture can address the demands for increased mobile broadband and ultra-low latency. Moreover, it enables 5G network sharing, which allows numerous virtual networks to be created from a single shared infrastructure to support particular use cases within large-scale and dynamic networks. In conclusion, O-RAN provides a service creation environment that has the capacity to enable the modernization and digital transformation of numerous industries, including connected robotics, industry 4.0, smart agriculture and smart cities.

3 Open RAN Testbed

The experiments are made on a small-scale testbed that supports both LTE and 5G NSA. It is based on OpenAirInterface, with three types of eNB architectures (monolithic, split option 2, and split option 7.2), one type of gNB architecture (monolithic), and evolved packet core (EPC) [11]. The EPC is deployed inside of docker containers, while the RAN is deployed bare-metal. However, all network components are deployed on the same physical machine with 64GB of RAM and Intel i9 3.6 GHz CPU. For the eNB, the wireless transmission is set in FDD mode with 20 MHz bandwidth in band 7, while for gNB it is set in TDD with 40 MHz bandwidth in band 78. The main features and components of the testbed are shown in Figures 1 and described below:

• Remote radio head (RRH): For all RAN architectures, the RRH is deployed via USRP B210 in SISO mode, connected to the PC with USB 3.0.

• DU and CU: These components exist only in the functional split architectures. For Functional split Option 2, all functions below the packet data convergence protocol (PDCP) layer are implemented in the DU, while the rest are performed in the CU. For option 7.2, the DU performs all low PHY functions such as RF mapping, while in the CU are deployed the rest. The two units are connected to each other via Ethernet-based interfaces (F1 for Option 2 and IF4p5 for Option 7.2)

images

Figure 2a: Monolithic eNB.

images

Figure 2b: Functional split eNB.

images

Figure 2c: Monolithic gNB (5G NSA).

• Virtualized baseband unit (vBBU): This component exists only in the case of monolithic architecture and performs the functionality of all of the layers.

• Evolved packet core (EPC): The EPC consists of the standard 3GPP-based MME, HSS, SGW, and PGW. The service and packet gateways however have separated user and control planes.

• User equipment (UE): As user equipment, we are using a Samsung Galaxy E42 smartphone, and a Lenovo Legion Y520 laptop connected to the network via a Huawei E3372 LTE dongle.

4 General Network KPIs

KPIs data gathering is an important part of efficient network planning, performance analysis and optimization cycle. Inadequate KPI data gathering can result to limited and inefficient network planning, which in turn leads to higher OPEX and worse network performance. In this section we are going to take a look at some basic network KPIs, that are considered important for the performance evaluation of mobile networks.

4.1 Input Parameters and KPIs

For the evaluation of our Open RAN testbed, the following KPIs are considered of primary importance for the case of high-quality MMC.

• Round trip time (RTT): The round-trip time is the time needed for a data packet to travel from its source to its destination and back to the source. It is usually measured in milliseconds (ms) and is frequently used for measuring and diagnosing network health, speed, and dependability [12]. High RTT values worsen the performance of real-time applications, create preconditions for traffic congestions, and make it difficult for the transport-layer protocols to sustain high bandwidths [13]. In our experiments, RTT is evaluated by sending 3600 ICMP packets from the UE to an Internet server (for E2E RTT) and from the UE to the base station (for radio link RTT).

• Delay jitter and packet loss: Delay jitter is the time variation in the delay between transmitted and received data packets. If the data packet does not reach its destination after its transmission, we observe a packet loss. Performance of services such as VoIP and video streaming are negatively impacted by high delay jitter and packet loss. For such services, ideally the jitter should be less than 30 ms and packet loss should be kept under 1% for VoIP, and between 0.05 and 5% for video streaming (depending on the quality of the video) [14]. We benchmark the data transmission by using iperf. During a one-hour UDP connection metrics like delay jitter and packet loss, for both links are captured.

All of the KPI measurements are made with three types of eNB architectures (monolithic eNB, split option 2, and split option 7.2) and one type of gNB architecture (monolithic gNB). The testbed main parameters for 4G and 5G are presented in the tables below:

Table 1 4G testbed input parameters

Parameter Value
Bandwidth 20 MHz
Downlink frequency 2.68 GHz
Uplink frequency 2.56 GHz
Spectrum usage technique FDD
Downlink modulation 64QAM
Uplink modulation QPSK
Transmission mode 1 (SISO)
TX gain 0
RX gain 0
Number of connected UEs 1

Table 2 5G testbed input parameter

Parameter Value
Bandwidth 40 MHz
Frequency 3.6 GHz
Frequency 3.6 GHz
Spectrum usage technique TDD
SCS 30 KHz
Uplink modulation QPSK
Transmission mode 1 (SISO)
TX gain 0
RX gain 0
Number of connected UEs 1

4.2 Round Trip Time

The E2E and air interface RTTs are evaluated by sending 3600 ICMP packets from the UE to an internet server and from UE to the base station. The obtained results for each base station architecture are summarized in the figures below. For the LTE we observe that for all the three types of eNB architectures the results are almost identical, with insignificant differences. As expected, 5G has lower RTT values, compared to the LTE.

images

Figure 5 RTT results.

images

Figure 6 Network bottleneck.

We also have noticed that E2E RTT is higher than usual, we can see that half of it is due to the delay in the air interface, however, the other half is due to the presence of a bottleneck located after the EPC, as shown in Figure 6.

images

Figure 7 Delay Jitter results.

4.3 Delay Jitter and Packet Loss

The delay jitter and packet loss of the network are measured by setting up a one-hour-long UDP connection for both downlink (DL) and uplink (UL). Obtained results are summarized in the figures below. For the DL we see that all base station architectures have similar results, however in UL, gNB and split option 7.2 have much better performance compared to the other architectures. We see that almost 100% of the packets for gNB have a delay jitter value lower than 9 ms. For split 7.2 the results are not such consistent we see that the boxplot is quite wide and the top quartile has values higher than 10 ms, however the first quartile has almost the same jitter value as the minimum value. Which means 25% of the packets sent with split option 7.2 have the lowest jitter of all 4 architecture tests.

Even if the performance for gNB has better and more consistent delay jitter results, it is the only architecture that experienced a significant packet loss. In the table below are summarized the packet loss results for all 4 architectures. We see that for DL 1% of the UDP packets sent from the Server to the UE are lost.

Table 3 Packet loss

Packet Loss (%)
eNB Option 2 Option 7.2 gNB
Downlink 0.00% 0.00% 0.00% 1.00%
Uplink 0.00% 0.00% 0.00% 0.18%

5 Performance Optimization for High-Quality MMC

The exponential increase in network traffic volume, combined with the trend towards network densification to increase network capacity, along with the overprovisioning to accommodate peak traffic demands, adds further strain to the operational complexity and cost of mobile networks. To overcome these challenges, it is important to develop network optimization frameworks that will be able to address dynamic resource sharing scenarios, facilitate on-demand resource allocation, and perform admission control based on traffic and mobility monitoring and prediction [15]. Therefore, it is a necessity for mobile networks to be characterized by flexible and scalable architectures, tailored to the specific context of a particular usage scenario, and be able to support a broad range of service indicators such as throughput, latency, reliability and availability, along with operational requirements such as energy and cost efficiency [16]. Network slicing (NS) architecture has the aptitude to facilitate and optimize the design of mobile networks by assuring the aforementioned characteristics, and supporting diverse usage scenarios and services, including high-quality MMC.

5.1 Network Slicing Overview

The concept of NS was introduced by the next generation mobile networks (NGMN) alliance [17] and consists on the principle of creating and managing multiple independent logical mobile networks over a common physical infrastructure. Each of these virtual networks is called slice and is dedicated to providing custom network services with specific quality of service (QoS) attributes for different usage scenarios. NS provides flexibility and scalability in mobile networks and is the necessary means for the development of multitenancy networks, by allowing different vertical services with differentiated QoS requirements to coexist in a shared physical infrastructure.

The implementation of NS is based on slicing the physical network into a multitude of logical networks, with the aim of utilizing the common physical network resources for the simultaneous support of heterogeneous, personalized, and on-demand applications. Network resources assisted by NS can be dynamically and efficiently distributed to logical network slices according to the QoS demands [18]. A slice can be defined as an isolated collection of programmable resources via software components, which implements segregate network functions and application services. It is crucial for each slice to be able to host individual network functions and application services without interacting and interfering with coexisting slices [19].

NS imposes significant resource management implications, and consequently, it can be considered as an inherent trade-off between the following [20]:

• Service customization, which favours the deployment of customized slices with tailored functions for each service, accompanied with resource assurance and dedication.

• Resource management efficiency, which increases with the dynamic sharing of the common physical infrastructure resources between the various services and slices.

• System complexity, which arises from the introduction of more dynamic resource allocation structures to achieve greater efficiency, at the expense of using elaborate operation and maintenance functions.

5.2 Experimental Setup

The testbed setup for the experiment of network optimization for high-quality MMC is based on the configuration depicted in Figure 2a. Regarding UE, we used a Lenovo Legion Y520 laptop connected to the network through an LTE dongle Huawei E3372. The scope of our experiment is to apply NS on our network architecture, and analyse its contribution in the efficient use of radio resources, and, consequently, in the optimized network performance and enhanced quality of MMC.

For the creation of slices, we used the open-source FlexRAN platform [21] as shown in Figure 8. FlexRAN is a flexible and programmable software-defined RAN (SD-RAN) platform that provides separation between the control and data plane of RAN architecture, via a southbound API. FlexRAN supports real-time RAN control functions, assisted by virtualized control features and programmability, following the principles of network softwarization and its to two main components: SDN and NFV [22].

images

Figure 8 Experimental setup.

We conducted a small-scale experiment within the context of mobile video streaming. In the experiment scenario, we used the dynamic adaptive streaming over HTTP (DASH) video streaming service [23], and examined the effect of NS on the quality of video that an end-user experiences in the DASH reference client 4.3.0 [24]. We studied the mobile streaming of a roughly 10-minute DASH video in two resolutions: (1) standard definition (SD) DASH video, i.e., 720×480 pixel resolution; and (2) ultra-high definition (UHD) DASH video, i.e., 3840×2160 pixel resolution. The quality indicators measurements were conducted client-side, and include the video download time in sec, the latency in ms, the ratio of playback time to total download time, the buffer level in sec, and the number of dropped frames.

5.3 Experimental Results

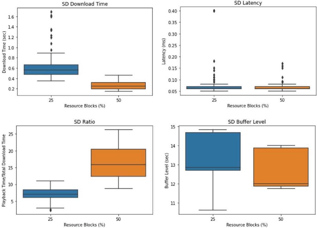
In order to examine NS functionality, we created two slices. We used the first slice to stream the SD video, and the second slice to stream the UHD video. Initially, we allocated to both slices roughly 50% of the available RBs, in an attempt to study the network performance and its impact on video quality when it operates in a best-effort delivery manner. As it is displayed in the Figure 9, the allocation of 50% of RBs is over-sufficient for the streaming of SD video, as it ensures extremely low download and latency times, as well as optimum values for the ratio and the buffer level. This remark is reinforced if we observe Table 4, where the dropped frames for this particular case is zero. On the contrary, in the case of UHD, the 50% of the available resources in our network configuration is insufficient to support the streaming and ensure high quality video for the end-users. This is obvious if we observe the Figure 10, where we can note the prohibitively high download and latency times, and the poor output in the ratio and buffer level features. The insufficiency of 50% of network resources for UHD video streaming is evident in the Table 4 as well, as the number of dropped frames is extremely high, compromising severely the video quality that the end-user experiences.

Table 4 Dropped Frames for SD and UHD Video Streaming

SD (25% RBs) SD (50% RBs) UHD (50% RBs) UHD (75% RBs)
7 0 6897 158

Subsequently, we allocated roughly 25% of RBs to SD streaming, and 75% of RBs to UHD streaming. As we can observe in Figure 9, this change in network configuration, which reduces the number of RBs available for SD video streaming, has minimal impact on its quality Both the download and latency times are increased, but remain within accepted boundaries, as is the case with the values of ratio and buffer level. This is obvious in the Table 4 as well, as the number of dropped frames is only 7, suggesting more than efficient levels of video quality for the end-users. With regard to UHD streaming, as we can see in Figure 10, the allocation of increased radio resources, which reaches about 75% of the available RBs, has significantly contributed to the improvement of video quality. It is evident that both the download and latency times are considerably decreased, and the ratio and buffer level values are within accepted levels. Moreover, as it is shown in Table 4, the number of dropped frames has been drastically reduced, ensuring satisfactory levels of video quality for the end-users.

images

Figure 9 Quality indicators measurements for SD video streaming.

images

Figure 10 Quality indicators measurements for UHD video streaming.

The conclusion that it is drawn from the utilization of NS concept, is that NS can provide optimum usage of the network resources, improving the quality of MMC, and allowing the network to host greater number of users. In case of absence of NS or equal distribution of RBs, where the network operates in a best-effort delivery manner, the SD streaming over-utilizes unneeded radio resources, resulting in lack of necessary resources for more bandwidth-demanding applications such as UHD streaming. The integration of NS in mobile networks architecture, accompanied with real-time QoS monitoring, would guarantee the efficient utilization of the finite radio resources and ensure satisfactory levels of QoE for the end-users of MMC applications.

6 Conclusion

The colossal growth of mobile traffic volume, in conjunction with the emergence of novel and bandwidth-demanding MMC services such as VR, AR, and UHD video streaming, has led to the need to develop virtual, open and intelligent network architectures that would utilize efficiently the network resources. In this paper, we presented an overview of O-RAN concept, and analysed its architecture and usage scenarios. Moreover, we considered and analysed all the crucial KPIs to obtain high-quality MMC, and developed a small-scale testbed for their evaluation, based on 4G/5G O-RAN architectures and different split scenarios. Furthermore, we proposed a network slicing model for the optimization of the network performance and the enhancement of MMC quality, by implementing optimal use of the finite radio resources.

Acknowledgement

The authors would like to acknowledge the support of the EU Project RECOMBINE, Grant agreement ID: 872857 and the “Intelligent Communication Infrastructures R&D Lab” at Sofia Tech Park, Bulgaria (https://sofiatech.bg/en/).

References

[1] G. Aceto, D. Ciuonzo, A. Montieri, A. Pescapé, “Mobile encrypted traffic classification using deep learning: experimental evaluation, lessons learned, and challenges,” IEEE Trans. Netw. Serv. Manag., 2019.

[2] R. Vannithamby, A. Soong, “5G Verticals: Customizing Applications, Technologies and Deployment Techniques,” Wiley, New York, 2020.

[3] S.R. Ali, “Next Generation and Advanced Network Reliability Analysis: Using Markov Models and Software Reliability Engineering,” Springer, Berlin, 2018.

[4] M. A. Habibi, M. Nasimi, B. Han and H. D. Schotten, “A Comprehensive Survey of RAN Architectures Toward 5G Mobile Communication System,” in IEEE Access, vol. 7, pp. 70371–70421, 2019.

[5] ORAN Alliance white paper, “O-RAN: Towards an Open and Smart RAN,” 2018. [Online] Available: https://www.oran.org/resources, Accessed: Feb. 2022.

[6] ORAN Alliance white paper, “O-RAN: Building the Next Generation RAN,” 2018. [Online]. Available: https://www.oran.org/resources, Accessed: Feb, 2022.

[7] C. Wang, M. D. Renzo, S. Stanczak, S. Wang, and E. G. Larsson, “Artificial intelligence enabled wireless networking for 5G and beyond: Recent advances and future challenges,” IEEE Wireless Communications, vol. 27, no. 1, pp. 16–23, 2020.

[8] M. Hoffmann and M. Staufer, “Network Virtualization for Future Mobile Networks: General Architecture and Applications,” In Proc. IEEE ICC 2011, Kyoto, Japan, Jun. 5–9, 2011.

[9] M. Polese, R. Jana, V. Kounev, K. Zhang, S. Deb and M. Zorzi, “Machine Learning at the Edge: A Data-Driven Architecture with Applications to 5G Cellular Networks,” Jun. 2020, [Online] Available: arXiv:1808.07647, Accessed, Feb. 2022.

[10] O-RAN Alliance, “O-RAN: Towards an Open and Smart RAN,” Oct. 2018.

[11] O-RAN Alliance, “O-RAN Use Cases and Deployment Scenarios,” Feb. 2020.

[12] Almes, G., Kalidindi, S., and M. Zekauskas, “A Round-trip Delay Metric for IPPM”, RFC 2681, Sep. 1999.

[13] Stephen R. Smoot, Nam K. Tan, “Chapter 4 - Branch Consolidation and WAN Optimization,” Private Cloud Computing, Morgan Kaufmann, pp. 99–125, 2012.

[14] K. Muhammad, Analysis of the Effects of Packet Loss and Delay Jitter on MPEG-4 Video Quality, 2008.

[15] K. Samdanis, X. Costa-Perez and V. Sciancalepore, “From network sharing to multi-tenancy: The 5G network slice broker,” IEEE Communications Magazine, vol. 54, no. 7, pp. 32–39, Jul. 2016.

[16] P. Rost et al., “Network Slicing to Enable Scalability and Flexibility in 5G Mobile Networks,” IEEE Communications Magazine, vol. 55, no. 5, pp. 72–79, May 2017.

[17] NGMN Alliance, “NGMN 5G White Paper,” 2015.

[18] H. Zhang, N. Liu, X. Chu, K. Long, A.-H. Aghvami and V. C. Leung, “Network Slicing Based 5G and Future Mobile Networks: Mobility, Resource Management, and Challenges,” IEEE Communications Magazine, vol. 55, no. 8, pp. 138–145, 2017.

[19] A. Nakao et al., “End-to-end Network Slicing for 5G Mobile Networks,” Journal of Information Processing, vol. 25, pp. 153–163, 2017.

[20] C. Marquez, M. Gramaglia, M. Fiore, A. Banchs and X. Costa-Perez, “How Should I Slice My Network? A Multi-Service Empirical Evaluation of Resource Sharing Efficiency,” In Proc. 24th Annual International Conference on Mobile Computing and Networking (ACM MobiCom 2018), New Delhi, India, Oct. 29–Nov. 2, 2018.

[21] X. Foukas, N. Nikaein, M. M. Kassem, M. Marina and K. Kontovasilis, “FlexRAN: A Flexible and Programmable Platform for Software-Defined Radio Access Networks,” In Proc. 12th International on Conference on emerging Networking EXperiments and Technologies (CoNEXT 2016), Irvine, California, Dec. 12–15, 2016.

[22] K. V. Cardoso, C. B. Both, L. R. Prade and C. J. A. Macedo, “A softwarized perspective of the 5G networks,” 2020, [Online] Available: arXiv:2006.10409, Accessed: Feb. 2022.

[23] I. Sodagar, “The MPEG-DASH Standard for Multimedia Streaming Over the Internet,” in IEEE MultiMedia, vol. 18, no. 4, pp. 62-67, April 2011.

[24] DASH reference client 4.3.0, [Online] Available: https://reference.dashif.org/dash.js/nightly/samples/dash-if-reference-player/index.html, Accessed: Feb. 2022.

Biographies

images

Atanas Vlahov has received his BSc and MSc degrees in Telecommunications from Technical University of Sofia (TUS), Bulgaria, in 2019 and 2021, respectively. Currently he is a PhD student in the Faculty of Telecommunication of TUS. His current research interests in the field of telecommunications are related to Open Radio Access Network and Software Defined Networks.

images

Georgios Kougioumtzidis received the B.Sc. degree in electronics engineering from the Alexander Technological Educational Institute of Thessaloniki, Thessaloniki, Greece, in 2007, the M.Sc. degree in wireless communication systems from the Open University of Cyprus, Nicosia, Cyprus, in 2017, and the M.A. degree in acoustic design and multimedia from the Hellenic Open University, Patras, Greece, in 2018. From 2013 to 2020 he was with the Hellenic Telecommunications Organization, Thessaloniki, Greece. He is currently pursuing a Ph.D. degree at the Faculty of Telecommunications, Technical University of Sofia, Sofia, Bulgaria, as recipient of an Early Stage Researcher (ESR) position in European Union’s Horizon 2020 MOTOR5G project. His research interests include QoE enhancement in future wireless networks, open radio access networks, machine learning, and extended reality and holographic telepresence communications.

images

Albena Mihovska received the Ph.D. degree in mobile communications from Aalborg University, Denmark. Since 2017, she has been an Associate Professor with the Department of Business Development and Technology, Aarhus University, Denmark, where she is leading the research activities of the 6G Knowledge Laboratory, with a focus on 6G connectivity and enabling technologies, namely artificial intelligence, and advanced services and applications, such as augmented and extended reality (AR and XR), high-fidelity and real time mobile hologram, and digital twins. She is currently a Senior Research and Academic Professional. She has more than 150 scientific publications.

images

Vladimir Poulkov received the M.Sc. and Ph.D. degrees from the Technical University of Sofia (TUS), Sofia, Bulgaria. He has more than 30 years of teaching, research, and industrial experience in the field of telecommunications. He has been the Dean of the Faculty of the Telecommunications, TUS, and the Vice Chairman of the General Assembly of the European Telecommunication Standardization Institute (ETSI). He is currently a professor. He is also the Head of the “Teleinfrastructure” Research and Development Laboratory at TUS and the Chairman of Cluster for Digital Transformation and Innovation, Bulgaria. He has successfully managed numerous industrial, engineering, research and development, and educational projects. He has authored many scientific publications and is tutoring the B.Sc., M.Sc., and Ph.D. courses in the field of information transmission theory and wireless access networks. He is a fellow of the European Alliance for Innovation.

Abstract

1 Introduction

2 Open RAN

2.1 Open RAN Architecture

images

2.2 RAN Intelligent Controller

2.3 Advantages of Open RAN Architecture

2.4 Usage Scenarios

3 Open RAN Testbed

images

images

images

4 General Network KPIs

4.1 Input Parameters and KPIs

4.2 Round Trip Time

images

images

images

4.3 Delay Jitter and Packet Loss

5 Performance Optimization for High-Quality MMC

5.1 Network Slicing Overview

5.2 Experimental Setup

images

5.3 Experimental Results

images

images

6 Conclusion

Acknowledgement

References

Biographies