Logical Platforms for Mobile Application in Decision Support Systems Based on Color Information Processing

Victor Timchenko1,*, Yuriy Kondratenko2, 3 and Vladik Kreinovich4

1Admiral Makarov National University of Shipbuilding, Ukraine
2Petro Mohyla Black Sea National University, Ukraine
3Institute of Artificial Intelligence Problems of MES and NAS of Ukraine
4University of Texas at El Paso, El Paso, Texas, USA
E-mail: vl.timchenko58@gmail.com; y_kondrat2002@yahoo.com; vladik@utep.edu
*Corresponding Author

Received 08 November 2023; Accepted 07 February 2024

Abstract

This work is devoted to the creation of mobile applications for a wide class of decision-making problems with large databases based on effective optical logical systems. Such systems use (a) the representation of color as a carrier of logical fuzzy information and (b) the construction of logical decisions by transforming the light emitter with appropriate color filters. Optical processing of fuzzy information is carried out using the proposed block diagram of fuzzy logic gates (logical coloroid). Input data is generated based on expert assessments. The fuzzy database is formed by defining the corresponding color as a quantum (set) of information. The article discusses (a) the main steps in the synthesis of logical inference procedures for decision-making systems and (b) a generalized block diagram of an optical logical coloroid as the basis for creating multi-level mobile decision-making systems with artificial intelligence components. The use of color as a carrier of logical information allows the creation of high-speed mobile devices with convenient visualization.

Keywords: Logical coloroid, decision support system, optical logic architecture, color fuzzy information.

1 Introduction

The development of optoelectronic technologies in recent years has generated interest in the development of optical computing devices capable of performing parallel computing operations at high speed. Two main directions have emerged in the development of optical computing (logical) devices, the first uses binary optoelectronic logic devices that combine the advantages of optical and semiconductor components with the ability to parallel process large amounts of data. The second direction is to design all-optical logic devices [16] on the physical principles of interference, polarization, and coherence, as well as the use of the properties of diffraction gratings and photonic crystals. The researchers demonstrated experimental results [7, 8] that showed an increase in the performance of all-optical devices. The wider use of such devices is hampered by currently imperfect production technologies.

At the same time, in computer science, an approach based on linguistic variables and fuzzy sets developed [919]. The implementation of optical devices for fuzzy sets [2023] is based on: polarization effects [20], matrix prism systems [21], printed color filters [22] and other solutions. The papers [24, 25] present a detailed comparative analysis of the elements of integrated optics computing systems, which reflect the advantages and disadvantages of optical and semiconductor architectures.

The use of optical logic devices in artificial intelligence systems or, somewhat narrower, in decision-making systems involves processing an extremely large array of data and a multi-level decision-making process. Using a binary encoding and calculation system for the simplest data input and inference tasks requires performing many binary computational operations, which naturally reduces their performance. The works [2628] provide an analysis of the effectiveness of various approaches to the generalized problem of creating artificial intelligence and draw a conclusion with which we can agree that data input and the decision-making process are inherently vague and unclear.

The authors have now developed the basic principles of operation and proposed the architecture of optical computing components (coloroids), which perform all the necessary logical operations: disjunction, conjunction, negation, and triggered of a new solution.

At the same time, for a more complete mathematical description of logical operations, including using a matrix description of color quanta, it is necessary to expand the implementation base of optical color conversion to all possible logical rules (axioms).

The use of the basic principles of optical physics, already used in modern television and video devices for the additive and subtractive transformation of the light emitter with color filters, as well as giving a certain color the property of a fuzzy information set, made it possible to present this transformation as natural logical operations and form a new approach to processing big databases.

The proposed architecture of optical computing and decision-making has autonomous color mathematics, but naturally, its development depends on technological solutions for creating nano-sized coloroids, which are currently at the initial stage of development.

The use of color as a source of information and the associated high-quality visualization of the results of data assessment and decision-making, as well as the matrix description of color (developed by the authors) and basic logical operations corresponding to optical operations, allow us to propose principles for constructing the structures of mobile applications with various purposes for use in mobile gadgets.

For example, in the medical field: the constant and steady growth of interest in scientific developments to create decision-making systems with elements of artificial intelligence, including for mobile applications, is explained by the desire to increase the efficiency and reliability of processing a large array of input information [29, 30].

Let’s explain the main idea of combining color information processing and mobile applications in decision-making processes using the specific purpose of the mobile application in the direction mentioned above.

Consider a family doctor who cares for a group of patients and the procedure of remote monitoring of health conditions in the chain of “medical doctor–patient”.

We can propose a special mobile application or device that provides, for example, 12 input data about the patient’s condition in the form of information of a certain color.

The input data obviously assesses the general condition of the patient at the beginning of the day: temperature, pressure, general condition, condition of certain organs and other similar things, which of course presupposes a professional approach. Each color presentation of each of the 12 input data involves, for example, six ratings (granules of information) and, accordingly, a specific color: Very Bad (high temperature, pressure, etc.) – red; Threateningyellow; Anxiousmagenta; More or Less Normalgreen; Goodcyan; Very Goodblue. The patient enters this color information on his mobile device and receives a score based on optical information processing. It can be in the form of a specific one of the six listed colors or a solution, or rather the absence of one, in case of a certain contradiction in assessments, which will require the generation of a new assessment by updating the input information. Next, the patient transmits the final assessment to the doctor on his mobile device, where it falls into a certain position window. Thus, the doctor sees a generalized color assessment of the condition of his patients at the beginning of the working day.

Similar tasks of qualitative expert assessment of various situations are possible for many situations in the different fields of human activity: from a preliminary assessment of the safety of working conditions to an assessment of the safety of ship navigation in narrow channels and in complicated dangerous situations at the sea and port areas [31, 32].

For the development of computing systems in mobile applications, an innovative color network architecture with a three-level hierarchy can be proposed as an element of a decision support system with a large number of input data.

Thus, the purpose of the article is to create operating principles and structures of generalized computing platforms for mobile applications with the aim of reliable and fast decision-making in a variety of tasks with a large number of input data in the social, technical, military and medical fields.

2 General Information About Color as a Quantum of Information

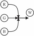
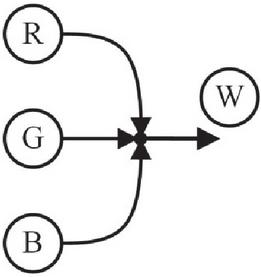
Additive light transformation describes the operations of combining (summing) corresponding combinations of three primary colors: red {R}, green {G}, and blue {B}. The absence of light radiation (and therefore color), there is black {Blc}. When three primary colors are added, the result is (Figure 1), white {W}; when red and blue light are added together, get purple {M}; when summed, red and green are {Yel}, and green and blue are cyan {C} which is written for color as a quantum of information [33, 34] in the form:

{R}+{G}+{B} ={W};{R}+{G}={Yel};
{R}+{B} ={M};{G}+{B}={C}. (1)

For primary colors, applying a light filter of a certain color blocks the light beam of a different color. For example, a red filter blocks green and blue components, allowing only red light to pass through:

{R}={W}-{G}-{B}.

Similar formulas can be written for a blue filter

{B}={W}-{R}-{G}

and the green filter

{G}={W}-{R}-{B}.

images

Figure 1 Additive logical coloroid.

When all three components of white radiation are blocked, the color black is produced (Figure 2):

{W}-{R}-{G}-{B}={Blc}; (2)

cyan filter

{W}-{R}={G}+{B}={C}; (3)

magenta filter

{W}-{G}={R}+{B}={M}; (4)

yellow filter

{W}-{B}={R}+{G}={Yel}. (5)

When yellow light radiation passes through a red filter, the green color is blocked and the output is red

{Yel}-{G}={R}. (6)

The red color is blocked through the green filter and the output is green.

{Yel}-{R}={G}. (7)

Red and green colors are blocked through a blue filter and the output is black (i.e., no light radiation)

{Yel}-{R}-{G}={Blc}. (8)

The degrees of reliability of estimates and solutions ({Y} and {N}) for quanta of color information are presented in [34, 35].

When converting a quantum of color information into a fuzzy variable, it is useful to determine the weight (cores, heights) of the set based on the quantitative distribution of the weights of the primary colors in a certain sequence.

images

Figure 2 Subtractive logical coloroid.

Thus, with the help of the proposed digital transformation, it is possible to use digital computing devices to process input data in the form of color quantum [33].

3 Logic of Color Mathematics

We can show that additive and subtractive optical color transformations have the same properties as Boolean variables using the basic axioms as an example.

Associatively.

The sum of the {R} and {B} colors produces magenta for both combinations, just as a red filter blocks blue, and a blue filter blocks red:

{R}{B}={B}{R}{R}{B}={B}{R}. (9)

Commutatively.

In any combination, the sum of the colors will give white, and subtraction will give black.

{R}({B}{G}) =({R}{B}){G}
{R}({B}{G}) =({R}{B}){G} (10)

Absorption.

For the first formula, taking a magenta color and passing it through a blue filter produces blue, for the second formula, red light passing through blue is blocked, and no color and blue produces blue color.

({R}{B}){B}={B}({R}{B}){B}={B} (11)

Distributively.

In the first case we get a red color for this combination, in the second - the absence of light.

{R}({B}{G}) =({R}{B})({R}{G})
{R}({B}{G}) =({R}{B})({R}{G}) (12)

Additionalitively.

If we define colors as opposite (i.e. {B}=¬{R}), then the additionality property will be satisfied:

({R}¬{R}){B}={B}({R}¬{R}){B}={B}. (13)

Idempotence.

Summing the color does not change the color, nor does passing the color through a filter of the same color.

{R}{R}={R}{R}{R}={R} (14)

The operations of addition (2) and subtraction ((2)–(8)) of color taking into account are identical to the operations of disjunction and conjunction of sets (logical statements, operations).

Naturally, the representation of primary and additional colors goes into the ternary (six-digit) logic of the concept: false/true; probably false/true; very probably false/true. The colors can be represented as follows: R (false); B (true), G (true/false), M (false/true), C (true/true/false), Yel (true/false/false) or in the form of numeric values (Table 1).

Table 1

Color Boolean Logic
{R} 0
{G} 1/0
{B} 1
{C} 1/1/0
{M} 0/1
{Yel} 0/0/1

An example of the correspondence between Boolean logic and logical coloroid for red {R} (false, 0), blue {B} (true, 1) and green {G} (true/false, 1/0) colors is given in the tables for the logical operations of disjunction (2–4) and conjunction (5–7).

Table 2

Color1 Color2 Result
R(0) R(0) R R = R(0)
R(0) B(1) R B = M(0/1)
B(1) R(0) B R = M(0/1)
B(1) B(1) B B = B(1)

Table 3

Color1 Color2 Result
R(0) R(0) R R = R(0)
R(0) G(1/0) R G = Yel(0/0/1)
G(1/0) R(0) G R = Yel(0/0/1)
G(1/0) G(1/0) G G = G (1/0)

Table 4

Color1 Color2 Result
G(1/0) G(1/0) G G = G(1/0)
G(1/0) B(1) G B = C(1/1/0)
B(1) G(1/0) B G = C(1/1/0)
B(1) B(1) B B = B(1)

Table 5

Color1 Color2 Result
R(0) R(0) RR = R(0)
R(0) B(1) RB = 0(0)
B(1) R(0) BR = 0(0)
B(1) B(1) BB = B(1)

Table 6

Color1 Color2 Result
R(0) R(0) RR = R(0)
R(0) G(1/0) RG = 0(0)
G(1/0) R(0) GR = 0(0)
G(1/0) G(1/0) GG = G(1/0)

Table 7

Color1 Color2 Result
G(1/0) G(1/0) GG = G(1/0)
B(1) G(1/0) BG = 0(0)
G(1/0) B(1) GB = 0(0)
B(1) B(1) BB = B(1)

Analysis of the presented tables shows one, at first glance, contradictory to logic, logical operation (Table 7, first line). However, here we can give the following explanation: two identical assessments increased the truth compared to two different assessments, although one of them is closer to the truth.

4 Matrix Representation of Color

One can consider a more general approach to describing light emitters of different colors as sets, based on a matrix representation [34, 35] with a refinement of the expression for a certain color as a trace of the corresponding matrix.

Let us present the basic axioms ((9)–(14)) of Boolean algebra in matrix form.

Associatively.

diag(R,0,0)+diag(0,0,B)=diag(0,0,B)+diag(0,0,R);
diag(R,0,0)×diag(0,0,B)=diag(0,0,B)×diag(R,0,0).

Commutatively.

(diag(R,0,0)+(diag(0,0,B))+diag(0,G,0)
  =diag(R,0,0)+(diag(0,0,B)+diag(0,G,0));
(diag(R,0,0)×(diag(0,0,B))×diag(0,G,0)
  =diag(R,0,0)×(diag(0,0,B)×diag(0,G,0))
  =diag(0,0,0).

Absorption.

(diag(R,0,0)+diag(0,0,B))×diag(0,0,B)=diag(0,0,B);
(diag(R,0,0)×diag(0,0,B))+diag(0,0,B)=diag(0,0,B).

Distributively.

diag(R,0,0)+(diag(0,0,B)×diag(0,G,0))
  =(diag(R,0,0)+diag(0,0,B))
  ×(diag(R,0,0)+diag(0,G,0))=diag(R,0,0);
diag(R,0,0)×(diag(0,0,B)+diag(0,G,0))
  =(diag(R,0,0)×diag(0,0,B))+(diag(R,0,0)
  ×diag(0,G,0))=diag(0,0,0).

Additionalitively.

(diag(R,0,0)+(diag(0,0,B))×diag(0,0,B)=diag(0,0,B);
(diag(R,0,0)×(diag(0,0,B))+diag(0,0,B)=diag(0,0,B).

Idempotence.

diag(R,0,0)+diag(R,0,0)=diag(R,0,0);
diag(R,0,0)×diag(R,0,0)=diag(R,0,0).

5 Logic Platforms for Decision Making With 12 Input Ports

For an extended optical platform, the authors justified [31, 34] the use of a basic logical coloroid with 12 input fuzzy data (Figure 3, where F are filters of the corresponding color, S, W are a white light emitter).

images

Figure 3 Basis logical coloroid.

For example, with filter values {R,G,B} on the first logical level (disjunction), the decision will be positive and the decision-making process will continue at the second logical level (conjunction) with the values of filter pairs {Yel,M}, {Yel,C}, {M,C}, which for this example will also be a positive decision, but will be blocked at the third level (conjunction) by a triple of filters {Yel,C,M}, which will give the output the absence of light {Blc}, i.e. absence of solution.

Next, a search for a new solution is triggered using a white light emitter {S,W}, subject to updating the input data.

Solutions for various options for expert assessments are formed in a similar way. A logical coloroid can be an integral part of a system (network) of serial-parallel, hierarchically organized elements, then the output signal of a certain coloroid will be one of the input signals for the next coloroid, etc.

Examples of implementation of matrix logical operations for some combinations of input information:

for input set {R,G,B}, filters {Yel,M},{Yel,C},{M,C} and {Yel,C,M};
for input set {R,R,R}, filters {Yel,M},{Yel,C},{M,C} and {Yel,C,M};
for input set {R,R,R}, filters {Yel,M},{Yel,C},{M,C} and {Yel,Yel,M};
for input set {R,B,B}, filters {C,C},{M,M},{Yel,Yel} and {C,M,C}.

6 Logical Hierarchical Networks Based on 12-Port Platforms

The proposed structure of the optical coloroid (without the output unit of an ordinary decision [34]) (Figure 4) can be used as the basis for a coloroid’s logical decision network, one of the variants of which is shown in Figure 3.

It is natural to base the construction of the network structure on the need to output one main solution (the third hierarchical level), which is provided by a 12-input platform with three main lower inputs. These inputs receive decisions or estimates of the second hierarchical level, which then consists of three platforms with a total of 9 lower inputs.

The decision logical network includes three hierarchical levels: at the first level there are 9 basic coloroids Col1I,,Col9I, each of which receives 12 input information quantum QmI (m is coloroid number) of a certain color (108 quanta in total). At the second Col1II,Col2II,Col3II and third ColIII hierarchical levels of the network, the input information for each coloroid includes 9 quantum, QmII and QmIII, accordingly (36 quantum in total).

Examples of implementation of matrix logical operations for some combinations of input information (Tables 12, ab):

• I hieratical network, coloroid ColI1, for input set {R,B,B}, filters {C,C},{M,M},{Yel,Yel} and {C,M,C}] {B} (Table 12, a);

• II hieratical network, ColII1,2,3, for input set {B,M,G}, filters {C, M}, {M,M},{Yel, M} and {C,M,M}] {B} (Table 12, b);

• III hieratical network, ColIII, for input set {B,M,G}, filters {C,C}, {M,C},{C,M} and {C,M,C}] {B} Final Decision (Table 12, c).

Table 12a:

Matrix form
diag(R,0,0)+diag(0,0,B)+diag(0,0,B)=diag(R,0,B)
diag(R,0,B)×diag(0,G,B)×diag(0,G,B)=diag(0,0,B)
diag(R,0,B)×diag(R,0,B)×diag(R,0,B)=diag(R,0,B)
diag(R,0,B)×diag(R,G,0)×diag(R,G,0)=diag(R,0,0)
diag(0,0,B)+diag(R,0,B)+diag(R,0,0)=diag(R,0,B)
diag(R,0,B)×diag(0,G,B)×diag(R,0,B)×diag(0,G,B)=diag(0,0,B){B}

Table 12b:

Matrix form
diag(0,0,B)+diag(R,0,B)+diag(0,G,0)=diag(R,G,B){W}
diag(R,G,B)×diag(0,G,B)×diag(R,0,B)=diag(0,0,B)
diag(R,G,B)×diag(R,0,B)×diag(R,0,B)=diag(R,0,B)
diag(R,G,B)×diag(R,G,0)×diag(R,0,B)=diag(R,0,0)
diag(0,0,B)+diag(R,0,B)+diag(R,0,0)=diag(R,0,B)
diag(R,0,B)×diag(0,G,B)×diag(R,0,B)×diag(R,0,B)=diag(0,0,B){B}

Table 12c:

Matrix form
diag(0,0,B)+diag(R,0,B)+diag(0,G,0)=diag(R,G,B){W}
diag(R,G,B)×diag(0,G,B)×diag(0,G,B)=diag(0,0,B)
diag(R,G,B)×diag(R,0,B)×diag(0,G,B)=diag(0,0,B)
diag(R,G,B)×diag(0,G,B)×diag(R,0,B)=diag(0,0,B)
diag(0,0,B)+diag(0,0,B)+diag(0,0,B)=diag(0,0,B)
diag(0,0,B)×diag(0,G,B)×diag(R,0,B)×diag(0,G,B)=diag(0,0,B){B}
Final Decision

images

Figure 4 Coloroid’s network.

Of course, when constructing logical decision-making networks, it is necessary in further research to solve problems of optimization and increasing the reliability of decisions, taking into account the rules of “new decision”, “blocking decision”, “idempotency” and other logical rules for more specific decision-making problems.

7 Conclusion

The presented work suggests directions for the development of optical color computing to solve problems in systems with a large amount of input fuzzy information. Based on the matrix representation of optical computing, the possibility of implementing architectural solutions for optical devices in mobile digital applications is proposed.

The architecture of the logical decision network for a system with a large amount of fuzzy input information in the form of a multicoloroid parallel-serial structure is discussed in detail. Network architecture consists of 3 hierarchical levels (I, II and III) with 9, 3 and 1 coloroids platform, correspondently. During the functioning process, the network will operate with 144 information quantum. Preliminary authors’ investigations confirm the efficiency of the proposed network architecture.

With the further development of nano-architectural implementations of optical computing, it becomes possible to use a number of their advantages in mobile applications, this is, first of all, the almost unlimited possibility of implementing parallel processes and high speed of information processing, resistance to electromagnetic interference during information processing and transmission.

Formalization of fuzzy databases in the form of combinations of certain colors, application for the synthesis of computational logical procedures based on additive and subtractive transformation of light radiation without the need to use switching elements for logical operations of disjunction and conjunction will improve computational performance by more than two orders of magnitude.

References

[1] Y. J. Jung, et al., ‘Reconfigurable all-optical logic AND, NAND, OR, NOR, XOR and XNOR gates implemented by photonic crystal nonlinear cavities’, 2009 Conference on Lasers & Electro Optics & The Pacific Rim Conference’, Shanghai, China, pp. 1–2, 2009, doi: 10.1109/ CLEOPR.2009.5292059.

[2] S. Ma, Z. Chen, N. K. Dutta, ‘All-optical logic gates based on two-photon absorption in semiconductor optical amplifiers’, Optics Communications, Vol. 282 (23), pp. 4508–4512, 2009. https://doi.org/10.1016/j.optcom.2009.08.039.

[3] V. Jandieri, R. Khomeriki, et al., ‘Functional all-optical logic gates for true time-domain signal processing in nonlinear photonic crystal waveguides’, Optics Express, Vol. 28(12), pp. 18317–18331, 2020, https://doi.org/10.1364/OE.395015.

[4] X. Wang, et al., ‘High-performance spiral all-optical logic gate based on topological edge states of valley photonic crystal’, arXiv:2209.08358, 2022. https://doi.org/10.48550/arXiv.2209.08358.

[5] L. Caballero, et al., ‘Photonic crystalintegrated logic gates and circuits’, Optics Express, Vol. 30(2), pp. 1976–1993, 2022, https://doi.org/10.1364/OE.444714.

[6] Z. Zhu, J. Yuan, L. Jiang, ‘Multifunctional and multichannels all-optical logic gates based on the in-plane coherent control of localized surface plasmons’, Optics letters, Vol. 45(23), pp. 6362–6365, 2020, https://doi:10.1364/OL.402085.

[7] C. Qian, et al., ‘Performing optical logic operations by a diffractive neural network’, Light Sci Appl 9, 59, 2020, https://doi.org/10.1038/s41377-020-0303-2.

[8] Y. Wang, et al., ‘Fuzzy logic based feedback control systems for the frequency stabilization of external-cavity semiconductors lasers’, International Journal of Optomechatronics, Vol. 14(1), pp. 44–51, 2020, https://doi:10.1080/15599612.2020.1828516.

[9] L. Zadeh, ‘The role of fuzzy logic in modelling, identification and control’, Modelling, Identification and Control, Vol. 15(3), pp. 191–203, 1994, https://doi:10.4173/mic.1994.3.9.

[10] V. Kreinovich (ed.), ‘Uncertainty Modeling’, Springer Verlag, Cham, Switzerland, 2017.

[11] J. M. Merigó, A. M. Gil-Lafuente, R. R. Yager. ‘An overview of fuzzy research with bibliometric indicators’, Applied Soft Computing, Vol. 27, pp. 420–433, 2015.

[12] J. Kacprzyk, et al., ‘A Fuzzy Multistage Control Model for Stable Sustainable Agricultural Regional Development’, Studies in Systems, Decision and Control, v. 415, Springer, Cham, pp. 299–329, 2022, https://doi.org/10.1007/978-3-031-00978-5\_13

[13] J. Kacprzyk, et al., ‘A Status Quo Biased Multistage Decision Model for Regional Agricultural Socioeconomic Planning Under Fuzzy Information’, Studies in Systems, Decision and Control, vol. 203, Springer, Cham, pp. 201–226, 2019, https://doi.org/10.1007/978-3-030-21927-7\_10.

[14] M. Solesvik, et al. ‘Fuzzy decision support systems in marine practice’, in: Fuzzy Systems (FUZZ-IEEE), 2017 IEEE International Conference on, 9–12 July 2017, IEEE, pp. 1–6, 2017, doi: 10.1109/FUZZ-IEEE.2017.8015471.

[15] A. I. Shevchenko, M. S. Klymenko, ‘Developing a Model of Artificial Conscience’, International Scientific and Technical Conference on Computer Sciences and Information Technologies, 1, pp. 51–54, 9321962, 2020, CSIT 2020, Lviv-Zbarazh, 23–26 September 2020.

[16] Y. Kondratenko, A. Shevchenko, Y. Zhukov, G. Kondratenko, O. Striuk, ‘Tendencies and Challenges of Artificial Intelligence Development and Implementation’, Proceedings of the 12th IEEE International Conference on Intelligent Data Acquisition and Advanced Computing Systems: Technology and Applications, IDAACS’2023, Vol. 1, pp. 221–226, 2023.

[17] A. I. Shevchenko, ‘Natural Human Intelligence – The Object of Research for Artificial Intelligence Creation’, International Scientific and Technical Conference on Computer Sciences and Information Technologies, 1, pp. XXVI–XXIX, 8929799, 2019, CSIT 2019, Lviv, 17–20 September 2019.

[18] V. Timchenko, Yu. Kondratenko, V. Kreinovich, ‘Why Color Optical Computing?’, Studies in Computational Intelligence, 1097, pp. 227–233, 2023, https://doi.org/10.1007/978-3-031-29447-1\_20.

[19] V. Timchenko, Yu. Kondratenko, V. Kreinovich, ‘Interval-Valued and Set-Valued Extensions of Discrete Fuzzy Logics, Belnap Logic, and Color Optical Computing’, Lecture Notes in Computer Science (including subseries Lecture Notes in Artificial Intelligence and Lecture Notes in Bioinformatics), 14069 LNCS, pp. 297–303, 2023.

[20] E. Gur, D. Mendlovic, Z. Zalevsky, ‘Optical Generation of Fuzzy Based Rules’, Applied Optics, vol. 41(23), pp. 4653–4761, 2002, https://doi:10.1364/ao.41.004753.

[21] T. Mitsuishi, N. Kayaki, K. Saigusa, ‘Color Construction Using Dual Fuzzy System’, The 3rd International Workshop on Scientific Use of Submarine Cables and Related Technologies, 2003, Lugano, Switzerland, pp. 136–139, 2003, doi: 10.1109/CIMSA.2003.1227216.

[22] K. Moritaka, T. Kawano, ‘Spectroscopic analysis of the model color filters used for computation of CIELAB-based optical logic gates’, ICIC Express Letters, Part B: Applications, vol. 5(6), pp. 1715–1720, 2014.

[23] M. Davoudi, et al., ‘Adaptive Subtitle and Caption Coloring Using Fuzzy Analysis’, 2009 WRI World Congress on Computer Science and Information Engineering, Los Angeles, CA, USA, pp. 764–768, 2009, doi: 10.1109/CSIE.2009.841.

[24] N. L. Kazanskiy, M. A. Butt, S. N. Khonina, ‘Optical Computing: Status and Perspectives’, Nanomaterials (Basel), vol. 12(13): 2171, 2022, doi: 10.3390/nano12132171.

[25] C. Cole, ‘Optical and electrical programmable computing energy use comparison’, Optics Express, Vol. 29, Issue 9, pp. 13153–13170, 2021.

[26] N. Sugano, ‘Fuzzy Set Theoretical Approach to the Tone Triangle System’, International Journal of Software Science and Computational Intelligence, vol. 5(3), pp. 33–54, 2015, https://doi:10.4018/ijssci.2013070103.

[27] P. L. Gentili, ‘The fundamental fuzzy logic operators and some complex Boolean logic circuits implemented by the chromogenism of a spirooxazine’, Phys. Chem., Vol. 13(45), pp. 20335–20344, 2011, https://doi.org/10.1039/C1CP21782H.

[28] E. Kim, J. Park, J. Kim, S. Kim, ‘Color Decision System based on Deep Learning and Fuzzy Inference System’, Joint 10th International Conference of Soft Computing and Intelligent, pp. 236–239, 2018, https://doi:10.1109/SCIS-ISIS.2018.00049.

[29] S. Velliangiri, et al., ‘Intelligent Personal Health Monitoring and Guidance Using Long Short-Term Memory’, Journal of Mobile Multimedia, vol. 18(2), pp. 349–372, 2022.

[30] A. Khade, et al., ‘Design of an Optimized Self-Acclimation Graded Boolean PSO with Back Propagation Model and Cuckoo Search Heuristics for Automatic Prediction of Chronic Kidney Disease’, Journal of Mobile Multimedia, vol.19(6), pp. 1395–1414, 2023.

[31] V. Timchenko, Yu. Kondratenko, V. Kreinovich, ‘Decision support system for the safety of ship navigation based on optical color logic gates’, CEUR Workshop Proceedings, 3347, pp. 42–52, 2022.

[32] Y. Kondratenko, S. Sidorenko, ‘Ship Navigation in Narrowness Passes and Channels in Uncertain Conditions: Intelligent Decision Support’, in: P., Stefanovski, J., Kacprzyk, (eds), Complex Systems: Spanning Control and Computational Cybernetics: Foundations. Studies in Systems, Decision and Control, vol. 414, Springer, Cham, pp. 475–493, 2022, https://doi.org/10.1007/978-3-030-99776-2\_24.

[33] V. Timchenko, Yu. Kondratenko, O. Kozlov, V. Kreinovich, ‘Fuzzy color computing based on optical logical architecture’, Lecture Notes in Networks and Systems, 758 LNNS, pp. 491–498, 2023.

[34] V. Timchenko, Yu. Kondratenko, V. Kreinovich, ‘The Architecture of Optical Logical Coloroid with Fuzzy Computing’, CEUR Workshop Proceedings, 3373, pp. 638–648, 2023.

[35] V. Timchenko, Yu. Kondratenko, V. Kreinovich, ‘Implementation of Optical Logic Gates Based on Color Filters’, Lecture Notes on Data Engineering and Communications Technologies, 181, pp. 126–136, 2023.

Biographies

images

Victor Timchenko received the master’s degree in Electrical Engineering from Admiral Makarov National University of Shipbuilding in 1982, and the philosophy of doctorate degree in Design of Ships from National University of Shipbuilding named Admiral Makarov in 1988, and of doctor of science degree in Automation Control from Odessa National Polytechnic University in 2013, respectively. He is currently working as an Professor at the Department of Computer Engineering, Automation and Electrical Institute, National University of Shipbuilding. His research areas include robust optimal control systems, optical architecture and computing, and decision support systems.

images

Yuriy Kondratenko, Doctor of Science, Professor, Honour Inventor of Ukraine (2008), Corr. Academician of Royal Academy of Doctors (Barcelona, Spain), Leading Researcher at the Institute of Artificial Intelligence Problems (IAIP) of MES and NAS of Ukraine, Head of the Department of Intelligent Information Systems at Petro Mohyla Black Sea National University (PMBSNU), Ukraine. He has received (a) the Ph.D. (1983) and Dr.Sc. (1994) in Elements and Devices of Computer and Control Systems from Odessa National Polytechnic University, (b) several international grants and scholarships for conducting research at Institute of Automation of Chongqing University, P.R. China (1988–1989), Ruhr-University Bochum, Germany (2000, 2010), Nazareth College and Cleveland State University, USA (2003), (c) Cleveland State University, USA (2015/2016, Fulbright Program. Research interests include robotics, automation, sensors and control systems, intelligent decision support systems, fuzzy logic.

images

Vladik Kreinovich, Professor of Computer Science, University of Texas at El Paso, El Paso, Texas, USA, Vice President of International Fuzzy Systems Association (IFSA) and Vice President of European Society of Fuzzy Logic and Technology (EUSFLAT), AT&T Fellow in Information Technology.

Areas of Interest: interval computations, intelligent control (including fuzzy and neural approaches), reasoning under uncertainty. He is the author of more than 1500 publications.

Abstract

1 Introduction

2 General Information About Color as a Quantum of Information

images

images

3 Logic of Color Mathematics

4 Matrix Representation of Color

5 Logic Platforms for Decision Making With 12 Input Ports

images

6 Logical Hierarchical Networks Based on 12-Port Platforms

images

7 Conclusion

References

Biographies