A MultiStack Parallel (MSP) Partition Algorithm Applied to Sorting
Apisit Rattanatranurak and Surin Kittitornkun*
Dept. of Computer Engineering, Faculty of Engineering, King Mongkut’s Institute of Technology Ladkrabang, Bangkok, Thailand 10520
E-mail: apisit.ra@ssru.ac.th; surin.ki@kmitl.ac.th
* Corresponding Author
Received 19 May 2020; Accepted 24 June 2020; Publication 08 September 2020
The CPUs of smartphones are becoming multicore with huge RAM and storage to support a variety of multimedia applications in the near future. A MultiStack Parallel (MSP) sorting algorithm is proposed and named MSPSort to support manycore systems. It can be regarded as many threads of single-pivot interleaving block-based Hoare’s algorithm. Each thread performs compare-swap operations between left and right (stacked and interleaved) data blocks. A number of multithreading features of OpenMP and our own optimization strategies have been utilized. To simulate those smartphones, MSPSort is fine tuned and tested on four Linux systems, e.g. Intel i7-2600, Xeon X5670, AMD R7-1700 and R9-2920. Their memory configurations can be classified as either uniform or non-uniform memory access. The statistical results are satisfied compared to parallel-mode sorting algorithms of Standard Template Library, namely Balanced QuickSort and MultiWay MergeSort. Moreover, MSPSort looks promising to be developed further to improve both run time and stability.
Keywords: Partition, Sort, Multithread, Parallel, OpenMP, Stack.
Manycore CPUs are prevalent in both servers and high-end desktop personal computers as uniform/non-uniform memory access (UMA/NUMA) systems. In the near future, smartphones’ CPUs are becoming multicore towards manycore to support a variety of multimedia applications. Therefore, basic computing algorithms shall be adapted to exploit that. Sorting and data partitioning are mostly based on the well known single-pivot Hoare’s algorithm. It is known as QuickSort divide and conquer (D&Q) behavior. The first level partition is the bottleneck of D&Q Hoare’s algorithm This paper intends to tackle this problem with multithreading techniques while minimizing the unnecessary memory accesses.
In this paper, we propose a single-pivot block-based data partition algorithm named MultiStack Parallel Partition (MSPPartition). As an application of MSPPartition, MSPSort is proposed to recursively divide the data array into shorter subarrays and to sort them in parallel. Unlike other block-based partitioning algorithms, MSPSort is based on stacks rather than queues and deques. Our contributions can be listed here. Firstly, the MSPSort is in-place and requires zero extra memory to buffer the partitioned data. Secondly, the parallel multistack compare-swap operation is similar to the sequential Hoare’s algorithm thus demanding low memory bandwidth. Thirdly, a hybrid breadth-first depth-first task scheduling is proposed to support cache locality while maximizing parallelism.
This paper is organized as follows. Section 2 reviews related background and previous work of parallel D&Q sorting algorithms. The MSPPartition and MSPSort are elaborated in Section 3. Later on, experiment results are discussed in detail. The last section is Conclusions and Furture Work.
This section consists of the following subsections, Parallel Sorting Algorithms and STLSort: Sequential and Parallel Modes.
In 1990, Heidelberger et al. [4] first presented simulation results of parallel QuickSort based on three parallel partitioning algorithms using Fetch-and-Add (F&A) operations and two scheduling algorithms. Speedup of 400× can be obtained from sorting 220 data with upto 500 processors, low-cost F&A operations and other ideal assumptions. In 2003, Tsigas and Zhang [14] proposed a block-based parallel partitioning QuickSort algorithm. The block size is as small the L1 cache which we consider it as fine-grained parallelism. Its speedup of 11× can be achieved with 32 processors of SUN-T1 architecture. Süß and Leopold [12] presented several alternative algorithms of parallel QuickSort based on Pthread and OpenMP 2.0 in 2004. It can achieve 3.24× on a 4-core AMD Opteron 848. In 2007, Singler et al.[11] developed Multi-Core Standard Template Library (MCSTL) based on C++ Standard Template Library. This parallel sorting algorithm is similar to Tsigas and Zhang’s [14] with a double-ended queue (deque). Its Speedup of 21× can be achieved on an 8-core 32-thread SUN-T1.
In 2008, Traoré et al. [13] described work-optimal parallelizations of STL sort based on work-stealing technique. However, their Introspective sort based on parallel block-based partition [8], [15] is deque-free. Speedup of 8.1× with 16 processors can be obtained. One year later in 2009, Ayguadé et al.[2] proposed MultiSort based on MergeSort which splits the input data equally, sorts them using QuickSort in parallel and then merges them using OpenMP 3.0 Task construct. A maximum Speedup of 13.6× on 32 cores can be achieved with Intel’s C++ Compiler version 9.1 and Cilk compiler version 5.4.3 using last in first out software thread queue. Meanwhile, Man et al. [6, 7] developed psort(), a hybrid QuickSort and MergeSort algorithm. Their work can achieve 11×-Speedup on a 24-core Intel Xeon 7460 system.
In 2013, Mahafzah [5] split the input array with multi-pivot/threads into partitions using extra space and then sort them in parallel with 8 software threads. Speedup of 3.8× is achieved on a dual-core HyperThread processor. Later on, Ranokpanuwat and Kittitornkun [9] proposed Parallel Partition and Merge QuickSort (PPMQSort). They can achieve Speedup of 12.29× relative to qsort() on an 8-core HyperThread Xeon E5520 in 2016. More recently in 2017, Axtmann et al. [1] presented an IPS4o sorting algorithm. It is a recursive multithread in-place bucket sort. Each thread is responsible for classifying a number of data blocks into local k buckets based on multipivot values. The local buckets are merged to replace the input array. Once the merged subarrays are shorter and then sorted independently. Speedup can be as high as 29× over its sequential version on a 32-core Intel Xeon E5-2683 v4. In 2018, Rattanatranurak [10] proposed parallel sorting named Dual Parallel Partition sorting (DPPSort). Speedups of 5.95× and 4.70× can be achieved relative to qsort(), and STLSort, respectively on 4-core Hyper-Thread Intel i7-3770. In summary, Table 1 compares some parallel sorting algorithms in chronological order such as partition granularity, bottleneck, recursion, Big-O time complexity and parallel library.
Table 1 Comparison of Sorting Algorithms in terms of Partition Granularity, Merge Algorithm, Time Complexity and Library in chronological order (BQSort: Balanced QuickSort, MWSort: MultiW Merge Sort, DFWSort: Deque-Free Work-Optimal Parallel STLSort, PMQSort: Parallel Multithreaded QuickSort, PPMQSort: Parallel Partition and Merge QuickSort, IPS4o: In-Place Parallel Super Scalar Sample Sort, DPPSort: Dual Parallel Partition Sort (B-neck: Bottleneck, Seq: Sequential, NA: Not Available, N: Array Size, c: CPU cores)
| Algorithm | [14](2003) | [11](2007) |
| Name | PQuicksort | BQSort |
| Granularity | Fine: L1 Cache | Fine: L1 Cache |
| B-neck | Seq Swap to Middle | Swap to Middle |
| Recursive | Yes | Yes |
| Time | ||
| Library | Pthread | OpenMP |
| Algorithm | [11](2007) | [13](2008) |
| Name | MWSort | DFWSort |
| Granularity | NA | Fine: L1 Cache |
| B-neck | pW merging | Swap to Middle |
| Recursive | Yes | Yes |
| Time | ||
| Library | OpenMP | OpenMP |
| Algorithm | [6](2009) | [9](2016) |
| Name | psort | PPMQSort |
| Granularity | Coarse: N/c | Coarse: N/2 |
| B-neck | Seq Merge then qsort | Seq Swap |
| Recursive | No | Yes |
| Time | ||
| Library | OpenMP | OpenMP |
| Algorithm | [1](2017) | [10] (2018) |
| Name | IPS4o | DPPSort |
| Granularity | Fine: block-based | Coarse: N/2 |
| B-neck | In-place buckets | Partition then Swap |
| Recursive | Yes | Yes |
| Time | NA | |
| Library | OpenMP | OpenMP |
The Standard Template Library (STL)Sort is a sequential sorting function for any data type. It is available in almost C++ compilers and prototyped as follow.
Parameters first and last are pointers to the first and the last positions, respectively. On the other hand, GNU libstdc++ parallel mode [11] provides two parallel sorting functions based on OpenMP. Namely, Balanced Quick-Sort and Multiway Merge Sort, are subject to evaluation in our experiments. Its function is declared in < parallel/algorithm > directive as follow.
BQSort is block based similar to Tsigas and Zhang’s [14] partition method. It compares/swaps data between pairs of left and right blocks in parallel until either side is finished. The unfinished (leftover) data blocks are pushed to a double ended queue (deque) to process later. As a result, a pair of blocks can be stolen to any free processor core. The unfinished blocks are swapped to the middle of the input array so that the array can be eventually partitioned. Sequential STLSort is executed locally after it is partitioned successfully. It is claimed to be an in-place algorithm which can be load-balanced using Work Stealing method. Run time of this algorithm is varied depending on data distribution.
MWSort divides data into several subarrays equally and STLSort them in parallel. Each subarray is sorted independently with small overheads. MWSort relies on parallel multiway merging algorithm to obtain the final data array. Subsequently, the sorted temporary array is copied to the input array. As a result, this MWSort requires at least twice the space of input data size. Its run time is stable compared with quicksort algorithm.
This section begins with the overview of our algorithm consisting of the Recursive MultiStack Parallel Partition and Sorting Phases. Consecutively, a number of BF-DF Scheduling algorithms are proposed and compared.
In the MSPSort() function, Median of Five function MO5() (Alg. 1, line 5) selects a pivot index p and moves it to the middle of array A. The Recursive MSPPartition partititions the input array A according to the pivot and finally returns the position of pivot p (Alg. 1, line 7). MSPSort continues according to our proposed scheduling (Alg. 1, lines 12 and 15). The resulting shorter than ustl subarray is sorted as an independent thread (Task) (Alg. 1, line 20) using STLSort where ustl = Ustl × κl3/sizeof(Type), Ustl is Sorting Cutoff parameter, κl3 represents the Level 3 cache size and Type corresponds to the data type to be sorted. Note that, the number of software threads τ is reduced to τ/2 (Alg. 1, line 9) and remained at τ = τmax/r in order to balance the workload and achieve parallelism where τmax is the maximum number of threads and r is called Reduction factor.
The Recursive MultiStack Parallel Partition Phase consists of 2 steps: Parallel Stacked Blocks Partition Step and Middle Blocks Partition Step.
The Parallel Stacked Blocks Partition Step begins with dividing A = A[0], A[1], . . . , A[N − 1], an unsorted array into left and right halves. Each half is divided into blocks of b = B × κl3/sizeof(Type) elements from both ends (Alg. 2, line 4) where B is a block size parameter. Both left and right block boundaries on the both halves are assigned in round robin to τ threads and pushed from the middle towards both ends (Alg.2, lines 4 and 5). Therefore, each thread is assigned with about the same number of blocks to manipulate and balance the workload while achieving parallelism simultaneously.
When the stacks are ready, OpenMP parallel for is applied to fork τ threads (Alg. 2, line 8) with private (local to each thread) variables i, j, lb, rb. Subsequently, these block boundaries are popped off so that data within the left and right blocks can be compared with A[p] and swapped from both ends to the middle until either local left or right stack is empty (Alg. 2, lines 10). Each thread has its own private variables i and j that are left and right indices of the current left and right blocks, respectively. In addition, variables, lb and rb are the current boundaries of left and right blocks, respectively. Eventually, the boundaries of the unfinished block are pushed back to their corresponding stacks (Alg.2, lines 27 and 30). This step stops when all τ threads finish.
After that, two indices, lmin = min(Ls[t],∀t) and rmax = max(Rs[t], ∀t) of all τ threads, must be determined to compute rmax − lmin whether the leftover part is longer than ustl (Alg. 2, line 37). In Middle Blocks Partition Step, the length of the leftover can indicate the number of μ threads to call MSPPartition() (Alg. 2, line 38) just in case. Otherwise, the Lomuto’s Partition [3] eventually returns the pivot index p (Alg. 2, line 41). That is because Lomuto’s algorithm requires fewer memory accesses than Hoare’s.
In the earlier phase, the data subarray is partitioned into smaller subarrays recursively. Any shorter subarray up to ustl elements can be sorted using STLSort as a independent task (Alg. 1, lines 20 and 42) without any synchronization (OpenMP no wait).
The Recursive MSPPartition Phase initially employs default scheduling of OpenMP and thus called BF (Breadth First) method to achieve high parallelism. The problem of BF scheduling is due to its random order of executions depending on the partition sizes and branch/memory stalls. This may cause unnecessary page faults and cache misses. To avoid this problem, we have proposed and implemented DF (Depth First) sorting algorithm in DFMSP-Sort() function. Once enough number of tasks are queued up in the thread pool by BF algorithm, the partitioning process is continued in DF order.
Initially, if the subarray (jR − iL) is still greater than udf elements (Alg. 1, line 11), BFMSPSort() is called recursively (Alg. 1, line 12) as two OpenMP tasks. In other words, BFMSPSort() is executed recursively and continued until the resulting subarray is smaller than udf elements where udf = Udf × κl3/sizeof(Type) and Udf is Scheduling Cutoff. Otherwise, the alternative DFMSPSort() function is invoked instead (Alg. 1, line 15).
On line 32 of Alg. 1, a local stack Ps is instantiated to keep the subarray boundaries and enforce the execution order so that last-level cache misses can be minimized. Programmers can easily implement the DF scheduling by themselves without worrying about OpenMP supports. It makes use of a local stack Ps to keep the subarray boundaries. This stack can order the execution with one of these scheduling algorithms, RAL, LAL, SPF and LPF, to improve cache locality.
First of all, the first partition is pushed onto the stack Ps (Alg. 1, line 31). The popped off indices iL, jR are passed to Recursive MSPPartition Phase (Alg. 1, line 36). Once the left and right subarrays are obtained, the boundaries of the left one are pushed prior to the right one resulting to depth first traversal to the right hand side (Right Always: RAL). The Recursive MSPP Phase continues until the subarray is shorter than ustl. Note that STLSort is executed independently with OpenMP nowait compiler directive (Alg. 1, line 43). The traversal continues until Ps is empty (Alg. 1, line 32). The LAL (Left Always) algorithm is the opposite of RAL.
Both RAL and LAL algorithms make the decisions based on the direction only regardless of the subarray size. It can be more beneficial to our MSPPartition if cache replacement policy is taken into consideration. The shorter partition first (SPF) and longer partition first (LPF) decide longer or shorter subarray to push onto the stack first, respectively. As such, the SPF decision may exploit more recently accessed data inside the caches. On the other hand, the LPF one may prefer longer workload to sustain parallelism.
This section presents how to set up the experiments on four different Linux systems. Experiment parameters are listed and rationalized. Consecutively, the obtained results are elaborated and discussed.
The proposed MSPSort algorithm is evaluated on four different systems as listed in Table 2. They all run the same Ubuntu 18.04 LTS and G++ version 7.4.0. Both Intel and AMD processors are provided equally and subject to our resource constraints. The number of cores c is reported by Linux System Monitor. Moreover, these systems widely differ in terms of memory size, technology and configuration. Nonetheless, their caches are quite similar. Most of their L3 caches are multiples of 8MB that we use κls to denote. Note that NUMA stands for non-uniform memory access time. R7-1700 consists of two memory controllers, one on each die and interconnected with the Infinity Fabric. That results in non-uniform memory latency [www.tomshardware.com].
The experiments are parameterized as shown in Table 3. The data types to be evaluated include Unsigned 32-bit integer (Uint32), Unsigned 64-bit integer (Uint64) and 64-bit double precision floating point numbers (Double). They are randomized with uniform distribution. All algorithms are optimized with -O2 compiler flag. The data size N ranges from 200M to 2000M elements due to system RAM limit. Our proposed BF-DF scheduling can be chosen among these algorithms, LPF, SPF, RAL and LAL.
Table 2 Specifications of multicore CPUs in experiments, KB: Kilobytes, MB: Megabytes
| Series Number | Core i7 i7-2600 | Xeon X5670 | Ryzen R7-1700 | ThreadRipper R9-2920 |
| Clock (GHz) | 3.40 | 2.93 | 3.00 | 3.50 |
| c (cores) | 8 | 24 | 16 | 24 |
| Sockets | 1 | 2 | 1 | 1 |
| RAM | 32GB | 24GB | 32GB | 64GB |
| Configuration | 4×8GB | 12×2GB | 4×8GB | 8×8GB |
| Technology | DDR3 | DDR3 | DDR4 | DDR4 |
| NUMA | No | Yes | Almost | Yes |
| Memory | 2 ch | 4 ch | 2 ch | 4 ch |
| L1 I-Cache | 4×32KB 8W | 2×6x32KB 4W | 8×64KB 4W | 12×64KB 4W |
| L1 D-Cache | 4×32KB 8W | 2×6x32KB 8W | 8×32KB 8W | 12×32KB 8W |
| L2 Cache | 4×256KB 8W | 2×6x256KB 8W | 8×512KB 8W | 12×512KB 8W |
| L3 Cache | 8MB 16W | 2×12MB 16W | 2×8MB 16W | 4×8MB 16W |
Table 3 Experiment parameters of MSPSort, BF: Bread-First, DF: Depth-First,M=106
| Parameters | Values |
| Algorithms | MSPSort, BQSort, MWSort |
| Data Types | Uint32, Uint64, Double |
| Random Dist | Uniform |
| GCC Optimization | O2 |
| Data size N | 200M, 500M, 1000M, 2000M |
| Scheduling | RAL, LAL, LPF, SPF |
| L3 Cache size κl3 | 8MB |
| Block size B(×κl3) | 10−4, 10−3, 10−2, 10−1, 1 |
| Cutoff Ustl(×κl3) | 0.5, 1, 2, 4, 8 |
| Cutoff Udf (×κl3) | 0.5, 1, 2, 4, 8, 16 |
| Multiplier m | 1, 2, 4 |
| Reduction r | c, c/2, c/3, c/4 |
As mentioned earlier, the block size B, Sorting Cutoff Ustl and Scheduling Cutoff Udf are functions of L3 Cache size κl3=8MB. The block size B=10−4, 0.001, 0.01, 0.1, 1. Sorting Cutoff Ustl = 0.5, 1, 2, 4. Scheduling Cutoff Udf = 1, 2, 4, 8, 16. The Multiplier m is set to be power of two, m = 1, 2, 4 as such the MSPSort can fork as many τmax = c × m threads. The Reduction r can be formulated as a function of c cores reported by the OS, r = c, c/2, c/3, c/4.
In this paper, some experiment results shall be normalized and compared based on these KPIs. They all represent time domain aspects of each sorting algorithm.
The Average Run Time (T̄) is averaged over a number of trials as specified in each experiment. The proposed Run Time per 100M (T̄100M) is easy to visualize and compare at any data size for certain experiments. In addition, this normalized run time can enable comparison between systems.
Run Time Standard of Deviation (σT) represents the stability of each algorithm due to the randomness of generated data set. In addition, the normalized standard deviation (σ100M) can justify some parameters specially Block size B and Ustl.
In addition to arithmetic mean and standard deviation of of Run Time T, the first, second and third quartiles are TQ1, TQ2 and TQ3, respectively. In addition, InterQuartile Range can be determined as TIQR=TQ3-TQ1 for stability analyses. These statistics can specify how the Run Time T distributes over 1,000 trials.
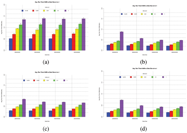
This single round MSPPartition is a prerequisite experiment as a guidance to the main ones. In order to fine tune block size B, a simple partition is tested at various block sizes as listed in Table 3. This experiment is intended to investigate Block size B effects of MSPPartition (Alg. 2, Line 1). Within this experiment, data within left and right blocks are always swapped to get rid of branch prediction (comparison) effects, Given a data array size N, Function MSPPartition is executed for just one round without further recursive calls. The Block size B in this experiment spans a wide range, {10−4, 0.001, 0.01, 0.1, and 1}×κl3 cache size. The maximum number of threads τmax = c × 1. Note that OpenMP nested parallelism flag is turned off, omp_set_nested(0).
The resulting T̄100M (bar) and ±σ100M (error bar) in seconds are plotted in Figure 1 at different data sizes after 100 trials. All systems show the same behavior of T̄100M vs B. It can also be observed that the larger the data size N, the higher the T̄100M. This can be due to poor cache locality accessing data from both ends. The smallest B=10−4 × κl3 ≈800 Bytes yields the worst performance. The best T̄100M can be found as B ranges between 0.001 to 0.1 × κl3 that is between the size of L1 and L2 caches. As a result, B = 0.01 × κl3 is chosen as a representative.
Figure 1 T̄100M (Bargraph) and ±σ100M (Error bar) of Single-Round MSPPartition at B={10−4, 0.001, 0.01, 0.1, 1}×κl3, m=1 (a) i7-2600, (b) X5670, (c) R7-1700, (d) R9-2920 for Uint32 data and 100 trials
Note that all graphs are plotted on the same scale of Y axis. With m=1, each system gets different number of threads c to execute. That means i7-2600 can achieve lower T̄100M on the same N than X5670 despite much lower core count. Similarly, R7-1700 yields faster T̄100M than R9-2920 despite lower clock frequency and lower core count. This phenomenon could be due to non-uniform (longer) memory access of large data arrays on X5670 and R9-2920 as listed in Table 2.
To investigate how Sorting Cutoff Ustl affects the Run Time, a data array of N elements is divided with equal chunks of ustl elements and assigned to a thread to sort in parallel. Divided subarrays are independently STLsorted with c × 1 threads as m=1. Note that OpenMP nested parallelism flag is turned off just like the previous experiment. This experiment can be beneficial to any D&Q sorting algorithm in general because the partitioning overhead is neglected. The random data array of a given size N is divided equally to Ustl={10−4, 0.001, 0.01, 0.1, 1}×κl3.
Figure 2 T̄100M (Bargraph) and ±σ100M (Error bar) of Independent Parallel Sort at [Ustl={10−4, 0.001, 0.01, 0.1,1} × κl3, m=1 (a) i7-2600, (b) X5670, (c) R7-1700, (d) R9-2920 for Uint32 data and 100 trials
The experiment is repeated for 100 trials to obtain T̄100M (bar) and σ100M (error bar) as plotted in Figure 2. In general, the same behavior can be observed for all systems. It can be noticed that given the same data size N the smaller cutoff Ustl the lower T̄100M. This can be concluded that smaller Ustl is better provided that there is no dependency between these data chunks.
The current and later experiments are different from the preliminary ones where OpenMP Nested Parallelism is switched ON and MSPPartition is recursively invoked. MSPSort with BF scheduling corresponds to line 12 of Alg. 1 and line 11 is always true. Due to an extremely large number of parameter combinations, this experiment is intended to obtain and pick (m, r) pair with the most consistent performance for each system. Run Time T’s are collected according with BF Scheduling for all N’s, B=0.01, Ustl=0.5, 1, 2, 4 after 20 Trials. The (m, r) pairs with most appearances in Top-10 minimum T̄ of all data size N are listed in Table 4. The most consistent (m,r) pairs (top row of each data type) in Table 4 are selected for each system/data type as representatives for the next experiment.
Table 4 Top-three (m,r) pairs with BF Scheduling for all N’s, B=0.01, Ustl=0.5,1,2,4 after 20 Trials
| System | i7-2600 | X5670 | R7-1700 | R9-2920 |
| Uint32 | (2,8) | (1,6) | (2,16) | (2,12) |
| (1,8) | (2,12) | (2,8) | (1,8) | |
| (2,4) | (1,8) | (1,16) | (1,6) | |
| Uint64 | (2,8) | (1,6) | (2,16) | (1,8) |
| (1,4) | (2,12) | (1,8) | (1,6) | |
| (2,4) | (1,8) | (2,8) | (2,12) | |
| Double | (2,8) | (1,6) | (2,16) | (1,8) |
| (1,4) | (2,12) | (1,8) | (1,6) | |
| (2,4) | (1,8) | (2,8) | (2,12) | |
This experiment is intended to obtain the most consistent performance of (Ustl, Udf) pair and BF-DF scheduling algorithm given each data size N as listed in Table 5 for each system after 100 trials. For all data types, it can be observed that the (m,r) pairs are almost the same on many systems except R9-2920. It is not guaranteed that these parameters can yield consistent performance. Therefore, extensive run time statistics should be collected and compared against BQSort and MWSort.
Table 6 to Table 9 tabulates the run time statistics of all sorting algorithms after 1000 trials. According to the chosen parameters in Table tb:para:chosen, the time-domain KPIs of MSPSort can be investigated analyzed thoroughly. Although lower T̄ and σT are better in terms of run time and stability, other statistics play important roles as well. We shall discuss the experiment results with respect to the following aspects.
There are two different approaches of BF-DF scheduling, direction versus size oriented. Both RAL and LAL are direction oriented. On the contrary, LPF and SPF are size oriented. SPF and LPF are good for small data type such as Uint32. It can be also noticed that they mostly are characterized by smaller (Ustl,Udf) pairs. On the other hand, LAL and RAL are beneficial to MSPSort on larger data types such as both Uint64 and Double. The (Ustl,Udf) pairs are generally larger than those of Uint32.
Table 5 Chosen parameters Ustl:Udf:m:r, B=0.01 after 100 trials
| System | i7-2600 | X5670 | R7-1700 | R9-2920 |
| Uint32 | ||||
| BFDF | LPF | SPF | SPF | SPF |
| N=200M | 0.5:2:2:8 | 0.5:1:1:6 | 0.5:1:2:16 | 0.5:1:2:12 |
| N=500M | 0.5:2:2:8 | 1:4:1:6 | 1:2:2:16 | 1:2:2:12 |
| N=1000M | 0.5:2:2:8 | 1:8:1:6 | 2:4:2:16 | 1:4:2:12 |
| N=2000M | 4:8:2:8 | 2:16:1:6 | 2:4:2:16 | 2:4:2:12 |
| Uint64 | ||||
| Double | ||||
| BFDF | RAL | RAL | LAL | LAL |
| N=200M | 1:8:2:8 | 2:4:1:6 | 1:2:2:16 | 0.5:2:1:8 |
| N=500M | 1:8:2:8 | 2:4:1:6 | 1:2:2:16 | 1:4:1:8 |
| N=1000M | 2:8:2:8 | 4:8:1:6 | 2:2:2:16 | 2:8:1:8 |
| N=2000M | 2:8:2:8 | 4:8:1:6 | 2:2:2:16 | 2:8:1:8 |
As shown in Figures 1 and 2, all systems behave in the same fashion. It can be noticed in Figure 1 that T̄100M significantly increases as N doubles up for all systems. Unlike partitioning T̄100M, sorting T̄100M is almost constant for all data sizes N given the same Ustl. That means sorting can be traded off with partitioning at larger N as the subarrays become shorter.
In order to minimize the Run Time T, BD-DF Cutoff Udf grows according to N to reduce the recursion levels. We have showed in Figure 1 that partitioning T̄100M is significantly higher as N doubles. Sorting cutoff Ustl is quite similar to Udf. It can be observed that Ustl is proportional to Udf as well. That is because sorting T̄100M grows slowly as Ustl is ten fold longer in Figure 2. Therefore, sorting a longer subarray can take the same amount of time as partitioning it and sorting two resulting shorter subarrays.
Compared to BQSort only, MSPSort can achieve better run time statistics on all data types on every system except X5670. This can be due to the fact that BQSort can steal the workloads to distribute to available CPU cores. Thus, BQSort is more tolerant to multi-socket NUMA effects than MSPSort.
Table 6 Statistics of Run Time T of MSPSort vs BQSort vs MWSort for all data types at various sizes N on i7-2600 system after 1000 trials
| Alg. | KPI (Sec.) | 200M | 500M | 1000M | 2000M |
| Uint32 | |||||
| MSPSort | TQ1 | 3.042 | 8.113 | 17.832 | 37.880 |
| TQ2 | 3.073 | 8.179 | 17.963 | 38.340 | |
| T̄ | 3.182 | 8.342 | 17.928 | 38.332 | |
| TQ3 | 3.318 | 8.283 | 18.039 | 38.797 | |
| σT | 0.196 | 0.436 | 0.171 | 0.536 | |
| BQSort | TQ1 | 3.212 | 8.578 | 18.285 | 38.670 |
| TQ2 | 3.247 | 8.665 | 18.447 | 39.105 | |
| T̄ | 3.348 | 8.856 | 18.484 | 39.503 | |
| TQ3 | 3.491 | 8.804 | 18.663 | 40.130 | |
| σT | 0.198 | 0.503 | 0.270 | 1.111 | |
| MWSort | TQ1 | 3.649 | 9.550 | 20.132 | 40.920 |
| TQ2 | 3.700 | 9.675 | 20.382 | 41.588 | |
| T̄ | 3.812 | 9.710 | 20.385 | 41.764 | |
| TQ3 | 4.016 | 9.812 | 20.633 | 42.470 | |
| σT | 0.231 | 0.266 | 0.383 | 1.105 | |
| Uint64 | |||||
| MSPSort | TQ1 | 3.648 | 9.855 | 21.540 | 44.592 |
| TQ2 | 3.772 | 9.909 | 21.725 | 44.813 | |
| T̄ | 3.813 | 9.956 | 21.712 | 44.887 | |
| TQ3 | 4.065 | 9.973 | 21.893 | 45.104 | |
| σT | 0.205 | 0.234 | 0.243 | 0.454 | |
| BQSort | TQ1 | 3.702 | 10.023 | 21.780 | 45.898 |
| TQ2 | 3.767 | 10.104 | 21.976 | 46.332 | |
| T̄ | 3.877 | 10.254 | 21.977 | 46.511 | |
| TQ3 | 4.151 | 10.233 | 22.144 | 47.073 | |
| σT | 0.227 | 0.442 | 0.270 | 0.776 | |
| MWSort | TQ1 | 4.194 | 11.202 | 23.721 | 49.292 |
| TQ2 | 4.253 | 11.312 | 23.947 | 49.633 | |
| T̄ | 4.326 | 11.338 | 23.975 | 49.703 | |
| TQ3 | 4.360 | 11.449 | 24.218 | 50.044 | |
| σT | 0.209 | 0.233 | 0.391 | 0.709 | |
| Double | |||||
| MSPSort | TQ1 | 3.851 | 10.521 | 22.908 | 48.058 |
| TQ2 | 3.917 | 10.595 | 23.048 | 48.684 | |
| T̄ | 4.013 | 10.725 | 23.050 | 49.038 | |
| TQ3 | 4.110 | 10.693 | 23.187 | 50.166 | |
| σT | 0.222 | 0.422 | 0.202 | 1.151 | |
| BQSort | TQ1 | 3.937 | 10.754 | 23.399 | 49.553 |
| TQ2 | 4.093 | 10.962 | 23.711 | 50.771 | |
| T̄ | 4.197 | 11.235 | 23.769 | 50.883 | |
| TQ3 | 4.413 | 11.283 | 24.183 | 52.384 | |
| σT | 0.266 | 0.706 | 0.458 | 1.484 | |
| MWSort | TQ1 | 4.247 | 11.361 | 24.243 | 50.250 |
| TQ2 | 4.522 | 11.873 | 25.080 | 51.807 | |
| T̄ | 4.522 | 11.857 | 25.122 | 52.190 | |
| TQ3 | 4.696 | 12.213 | 25.966 | 54.108 | |
| σT | 0.312 | 0.607 | 0.939 | 2.212 | |
Table 7 Statistics of Run Time T of MSPSort vs BQSort vs MWSort for all data types at various sizes N on R7-1700 system after 1000 trials
| Alg. | KPI (Sec.) | 200M | 500M | 1000M | 2000M |
| Uint32 | |||||
| MSPSort | TQ1 | 1.722 | 4.416 | 9.382 | 19.238 |
| TQ2 | 1.735 | 4.438 | 9.413 | 19.294 | |
| T̄ | 1.746 | 4.476 | 9.418 | 19.307 | |
| TQ3 | 1.773 | 4.561 | 9.445 | 19.353 | |
| σT | 0.032 | 0.083 | 0.063 | 0.120 | |
| BQSort | TQ1 | 1.780 | 4.643 | 9.897 | 20.358 |
| TQ2 | 1.811 | 4.722 | 10.051 | 20.695 | |
| T̄ | 1.807 | 4.725 | 10.026 | 20.635 | |
| TQ3 | 1.827 | 4.778 | 10.125 | 20.845 | |
| σT | 0.032 | 0.101 | 0.160 | 0.316 | |
| MWSort | TQ1 | 1.973 | 5.096 | 10.436 | 21.290 |
| TQ2 | 2.145 | 5.470 | 11.114 | 22.498 | |
| T̄ | 2.109 | 5.389 | 10.959 | 22.214 | |
| TQ3 | 2.187 | 5.549 | 11.241 | 22.696 | |
| σT | 0.041 | 0.086 | 0.146 | 0.236 | |
| Uint64 | |||||
| MSPSort | TQ1 | 2.149 | 5.723 | 12.046 | 25.406 |
| TQ2 | 2.161 | 5.744 | 12.091 | 25.494 | |
| T̄ | 2.163 | 5.752 | 12.104 | 25.514 | |
| TQ3 | 2.174 | 5.772 | 12.144 | 25.584 | |
| σT | 0.022 | 0.048 | 0.092 | 0.168 | |
| BQSort | TQ1 | 2.137 | 5.706 | 11.990 | 25.231 |
| TQ2 | 2.153 | 5.746 | 12.077 | 25.423 | |
| T̄ | 2.160 | 5.762 | 12.102 | 25.487 | |
| TQ3 | 2.177 | 5.805 | 12.196 | 25.671 | |
| σT | 0.033 | 0.083 | 0.158 | 0.348 | |
| MWSort | TQ1 | 2.216 | 5.845 | 12.184 | 25.469 |
| TQ2 | 2.225 | 5.864 | 12.223 | 25.625 | |
| T̄ | 2.227 | 5.868 | 12.228 | 26.223 | |
| TQ3 | 2.236 | 5.887 | 12.268 | 27.148 | |
| σT | 0.015 | 0.033 | 0.063 | 0.890 | |
| Double | |||||
| MSPSort | TQ1 | 2.312 | 6.094 | 12.699 | 26.616 |
| TQ2 | 2.324 | 6.120 | 12.749 | 26.720 | |
| T̄ | 2.327 | 6.125 | 12.757 | 26.745 | |
| TQ3 | 2.338 | 6.146 | 12.805 | 26.829 | |
| σT | 0.026 | 0.046 | 0.090 | 0.210 | |
| BQSort | TQ1 | 2.312 | 6.097 | 12.721 | 26.568 |
| TQ2 | 2.327 | 6.134 | 12.799 | 26.751 | |
| T̄ | 2.333 | 6.147 | 12.830 | 26.810 | |
| TQ3 | 2.347 | 6.188 | 12.906 | 26.942 | |
| σT | 0.030 | 0.074 | 0.159 | 0.631 | |
| MWSort | TQ1 | 2.735 | 7.037 | 14.366 | 29.394 |
| TQ2 | 2.774 | 7.106 | 14.485 | 29.608 | |
| T̄ | 2.778 | 7.121 | 14.505 | 29.628 | |
| TQ3 | 2.818 | 7.196 | 14.626 | 29.838 | |
| σT | 0.051 | 0.120 | 0.191 | 0.333 | |
Table 8 Statistics of Run Time T of MSPSort vs BQSort vs MWSort for all data types at various sizes N on X5670 system after 1000 trials
| Alg. | KPI (Sec.) | 200M | 500M | 1000M | 2000M |
| Uint32 | |||||
| MSPSort | TQ1 | 1.587 | 4.139 | 8.334 | 16.708 |
| TQ2 | 1.601 | 4.177 | 8.408 | 16.845 | |
| T̄ | 1.605 | 4.184 | 8.440 | 16.907 | |
| TQ3 | 1.618 | 4.216 | 8.500 | 17.000 | |
| σT | 0.027 | 0.072 | 0.171 | 0.334 | |
| BQSort | TQ1 | 1.684 | 4.039 | 8.145 | 16.576 |
| TQ2 | 1.692 | 4.057 | 8.176 | 16.662 | |
| T̄ | 1.691 | 4.073 | 8.215 | 16.757 | |
| TQ3 | 1.699 | 4.088 | 8.209 | 16.788 | |
| σT | 0.011 | 0.063 | 0.155 | 0.304 | |
| MWSort | TQ1 | 1.686 | 4.039 | 8.155 | 16.642 |
| TQ2 | 1.693 | 4.055 | 8.183 | 16.708 | |
| T̄ | 1.692 | 4.070 | 8.235 | 16.819 | |
| TQ3 | 1.699 | 4.078 | 8.223 | 16.840 | |
| σT | 0.011 | 0.062 | 0.168 | 0.300 | |
| Uint64 | |||||
| MSPSort | TQ1 | 2.696 | 6.694 | 13.360 | 24.210 |
| TQ2 | 2.736 | 6.829 | 13.663 | 24.831 | |
| T̄ | 2.746 | 6.843 | 13.688 | 25.004 | |
| TQ3 | 2.788 | 6.980 | 14.024 | 25.582 | |
| σT | 0.072 | 0.206 | 0.466 | 1.065 | |
| BQSort | TQ1 | 2.543 | 6.340 | 12.695 | 24.110 |
| TQ2 | 2.584 | 6.344 | 12.951 | 24.953 | |
| T̄ | 2.601 | 6.417 | 13.021 | 25.315 | |
| TQ3 | 2.638 | 6.525 | 13.270 | 26.085 | |
| σT | 0.086 | 0.275 | 0.491 | 1.767 | |
| MWSort | TQ1 | 2.065 | 5.103 | 10.166 | NA |
| TQ2 | 2.085 | 5.133 | 10.753 | NA | |
| T̄ | 2.078 | 5.170 | 10.693 | NA | |
| TQ3 | 2.100 | 5.205 | 10.880 | NA | |
| σT | 0.035 | 0.113 | 0.492 | NA | |
| Double | |||||
| MSPSort | TQ1 | 2.737 | 6.672 | 13.497 | 24.569 |
| TQ2 | 2.771 | 6.774 | 13.808 | 25.186 | |
| T̄ | 2.780 | 6.796 | 13.835 | 25.334 | |
| TQ3 | 2.812 | 6.892 | 14.139 | 25.808 | |
| σT | 0.068 | 0.186 | 0.468 | 1.065 | |
| BQSort | TQ1 | 2.610 | 6.414 | 13.032 | 24.890 |
| TQ2 | 2.647 | 6.495 | 13.248 | 25.601 | |
| T̄ | 2.664 | 6.534 | 13.321 | 25.981 | |
| TQ3 | 2.697 | 6.603 | 13.547 | 26.725 | |
| σT | 0.078 | 0.187 | 0.441 | 1.650 | |
| MWSort | TQ1 | 2.245 | 5.711 | 11.717 | NA |
| TQ2 | 2.262 | 5.769 | 11.787 | NA | |
| T̄ | 2.258 | 5.724 | 11.790 | NA | |
| TQ3 | 2.277 | 5.811 | 11.878 | NA | |
| σT | 0.031 | 0.149 | 0.197 | NA | |
Table 9 Statistics of Run Time T of MSPSort vs BQSort vs MWSort for all data types at various sizes N on R9-2920 system after 1000 trials
| Alg. | KPI (Sec.) | 200M | 500M | 1000M | 2000M |
| Uint32 | |||||
| MSPSort | TQ1 | 1.171 | 2.972 | 6.124 | 12.589 |
| TQ2 | 1.181 | 2.991 | 6.157 | 12.659 | |
| T̄ | 1.182 | 2.994 | 6.173 | 12.681 | |
| TQ3 | 1.191 | 3.012 | 6.203 | 12.730 | |
| σT | 0.017 | 0.033 | 0.086 | 0.158 | |
| BQSort | TQ1 | 1.237 | 3.221 | 6.727 | 13.971 |
| TQ2 | 1.261 | 3.287 | 6.859 | 14.375 | |
| T̄ | 1.264 | 3.303 | 6.891 | 14.488 | |
| TQ3 | 1.285 | 3.352 | 6.991 | 14.831 | |
| σT | 0.040 | 0.127 | 0.288 | 0.774 | |
| MWSort | TQ1 | 1.237 | 3.125 | 6.423 | 14.343 |
| TQ2 | 1.248 | 3.142 | 6.850 | 14.524 | |
| T̄ | 1.260 | 3.175 | 6.774 | 14.454 | |
| TQ3 | 1.269 | 3.197 | 6.942 | 14.686 | |
| σT | 0.035 | 0.075 | 0.294 | 0.367 | |
| Uint64 | |||||
| MSPSort | TQ1 | 1.680 | 4.514 | 9.602 | 20.180 |
| TQ2 | 1.691 | 4.547 | 9.678 | 20.353 | |
| T̄ | 1.694 | 4.556 | 9.690 | 20.357 | |
| TQ3 | 1.703 | 4.588 | 9.771 | 20.537 | |
| σT | 0.023 | 0.065 | 0.148 | 0.330 | |
| BQSort | TQ1 | 1.703 | 4.549 | 9.529 | 20.332 |
| TQ2 | 1.732 | 4.638 | 9.742 | 20.815 | |
| T̄ | 1.746 | 4.682 | 9.838 | 20.980 | |
| TQ3 | 1.775 | 4.769 | 10.048 | 21.448 | |
| σT | 0.063 | 0.205 | 0.483 | 0.990 | |
| MWSort | TQ1 | 1.457 | 3.898 | 8.106 | 16.388 |
| TQ2 | 1.474 | 3.997 | 8.207 | 16.584 | |
| T̄ | 1.474 | 3.946 | 8.190 | 16.582 | |
| TQ3 | 1.489 | 4.050 | 8.300 | 16.766 | |
| σT | 0.027 | 0.159 | 0.187 | 0.356 | |
| Double | |||||
| MSPSort | TQ1 | 1.747 | 4.679 | 9.757 | 20.611 |
| TQ2 | 1.759 | 4.708 | 9.826 | 20.756 | |
| T̄ | 1.762 | 4.718 | 9.837 | 20.777 | |
| TQ3 | 1.772 | 4.744 | 9.905 | 20.906 | |
| σT | 0.024 | 0.069 | 0.118 | 0.263 | |
| BQSort | TQ1 | 1.756 | 4.677 | 9.806 | 20.655 |
| TQ2 | 1.782 | 4.760 | 10.003 | 21.051 | |
| T̄ | 1.798 | 4.799 | 10.081 | 21.306 | |
| TQ3 | 1.826 | 4.871 | 10.253 | 21.688 | |
| σT | 0.059 | 0.173 | 0.418 | 1.047 | |
| MWSort | TQ1 | 1.554 | 3.938 | 8.791 | 17.919 |
| TQ2 | 1.566 | 3.960 | 8.877 | 18.096 | |
| T̄ | 1.570 | 4.028 | 8.732 | 18.044 | |
| TQ3 | 1.582 | 4.002 | 8.936 | 18.243 | |
| σT | 0.024 | 0.160 | 0.342 | 0.406 | |
With respect to MWSort, MWSort was unable to test at N=2000M of Uint64 and Double on X5670 system because the amount of RAM was limited to 24 GB. MWSort can achieve faster average Run Time T̄ and low σT for all data sizes. It could be due to balanced and independent memory accesses. Both X5670 and R9-2920 systems are NUMA with 4 memory channels supporting high memory traffic. The tradeoffs between run time and memory resources are still debatable especially on server systems that CPU cores and memory are shared among many processes/threads.
It can be noticed that almost all of the run time statistics on every system are right skew where T̄ is mostly higher than TQ2 (median). For stability analyses, run time statistics σT and TIQR can be of interests. The σT and TIQR of MSPSort are mostly lower than BQSort and MWSort for every data type except on X5670 system. It can be concluded that MSPSort is consistently stable on a wide variety of systems.
MSPPartition is a block-based multithreaded version of the single-pivot Hoare’s partition algorithm. A number of threads are forked to compare-swap left and right data from both ends to the middle. Each thread has its own private left and right stacks to keep track of those block boundary indices. The partition process continues until the stack on either side is empty first. At last, the sequential Lomuto’s is invoked to finish the small leftover region.
The MSPPartition can be recursively applied to become a parallel MSPSort on manycore and even NUMA systems. MSPSort is evaluated on four Linux systems and benchmarked against two STL parallel mode algorithms namely, BQSort and MWSort. MSPSort can achieve better run time statistics than BQSort for all data types and sizes except on Intel X5670 system. However, only MWSort can take advantages of NUMA systems for Uint64 and Double over MSPSort.
As future works, other candidate parameters shall be investigated further to be parameterized as functions of core count. Block size B should be fine-tuned to align with virtual memory page so that cache/TLB misses can be minimized. Different data distributions shall be experimented. In addition, MSPPartition shall be applied to support parallel multipivot partition operations.
[1] Michael Axtmann, Sascha Witt, Daniel Ferizovic, and Peter Sanders. In-place parallel super scalar samplesort (ipsssso). 25th European Symposium on Algorithms: ESA 2017, 2017.
[2] Eduard Ayguadé, Nawal Copty, Alejandro Duran, Jay Hoeflinger, Yuan Lin, Federico Massaioli, Xavier Teruel, Priya Unnikrishnan, and Guansong Zhang. The design of openmp tasks. IEEE Transactions on Parallel and Distributed Systems, 20(3):404–418, 2009.
[3] Thomas H. Cormen, Charles E. Leiserson, Ronald L. Rivest, and Clifford Stein. Introduction to Algorithms, Third Edition. The MIT Press, 3rd edition, 2009.
[4] Philip Heidelberger, Alan Norton, and John T. Robinson. Parallel quicksort using fetch-and-add. IEEE Transactions on Computers, 39(1):847–857, January 1990.
[5] Basel A. Mahafzah. Performance assessment of multithreaded quicksort algorithm on simultaneous multithreaded architecture. J of Supercom-puting, 66(1):339–363, 2013.
[6] Duhu Man, Yasuaki Ito, and Koji Nakano. An efficient parallel sorting compatible with the standard qsort. In International Conference on Parallel and Distributed Computing, Applications and Technologies, pages 512 – 517, Hiroshima, Japan, December 8-11 2009.
[7] Duhu Man, Yasuaki Ito, and Koji Nakano. An efficient parallel sorting compatible with the standard qsort. International Journal of Foundations of Computer Science, 22(05):1057–1071, 2011.
[8] David R. Musser. Introspective sorting and selection algorithms. Software: Practice and Experience, pages 983–993, 1997.
[9] Ratthaslip Ranokpanuwat and Surin Kittitornkun. Parallel partition and merge quicksort (ppmqsort) on multicore cpus. J of Supercomputing, 72(3):1063–1091, 2016.
[10] A. Rattanatranurak. Dual parallel partition sorting algorithm. In Proceedings of 2018 the 8th International Workshop on Computer Science and Engineering, WCSE 2018, pages 685–690, 2018.
[11] Johannes Singler, Peter Sanders, and Felix Putze. Mcstl : The multi-core standard template library. Euro-Par 2007 Parallel Processing. Springer Berlin Heidelberg, pages 682–694, 2007.
[12] Michael Süß and Claudia Leopold. A user’s experience with parallel sorting and openmp. In Proceedings of the Sixth European Workshop on OpenMP-EWOMP 2004, pages 23–38, 2004.
[13] Daouda Traoré, Jean-Louis Roch, Nicolas Maillard, and Thierry Gautier. Deque-free work-optimal parallel stl algorithms. Euro-Par 2008–Parallel Processing. Springer Berlin Heidelberg, pages 887–897, 2008.
[14] Philippas Tsigas and Yi Zhang. A simple, fast parallel implementation of quicksort and its performance evaluation on sun enterprise 10000. In 11th Euromicro Conference on Parallel Distributed and Network based Processing (PDP 2003), pages 372–381, Genoa, Italy, February 5th-7th 2003.
[15] John Valois. Introspective sorting and selection revisited. Software: Practice and Experience, pages 617–638, 2000.

Apisit Rattanatranurak received his M.Eng. and B.Eng. degrees in Computer Engineering from King Mongkut’s Insitute of Technology Ladkrabang (KMITL), Bangkok, Thailand. Now, he is pursuing a doctoral degree at the Faculty of Engineering, KMITL. His research interest is in the area of parallel programming, computing on multi-core CPU and GPU on Linux/Unix system.

Surin Kittitornkun received his Ph.D. and M.S. degrees in Computer Engineering from University of Wisconsin-Madison, USA. Currently, he is an Assistant Professor at Faculty of King Mongkut’s Insitute of Technology Lad-krabang (KMITL), Bangkok, Thailand. His research interests include parallel algorithms, mobile/high performance computing and computer architecture.
Journal of Mobile Multimedia, Vol. 16_3, 293–316.
doi: 10.13052/jmm1550-4646.1632
© 2020 River Publishers
2.1 Parallel D&Q Sorting Algorithms
2.2 STLSort: Sequential and Parallel Modes
2.2.1 Balanced QuickSort (BQSort)
2.2.2 MultiW Merge Sort (MWSort)
3 MultiStack Parallel Sort (MSPSort)
3.1 Recursive MultiStack Parallel Partition Phase
3.3 BF-DF Scheduling Algorithms
4 Experiments, Results and Discussions
4.2 Key Performance Indicators (KPIs)
4.2.1 Average Run Time (T̄) and Run Time per 100M (T̄100M)
4.2.2 Standard Deviation of T (σT) and T̄100M (σ100M)
4.4 Parallel Sorting of Independent Data Blocks
4.5 MSPSort with BF Scheduling
4.6 MSPSort with BF-DF Scheduling