A New Generalization of the Exponentiated Fréchet Distribution with Applications

Lamya A. Baharith

Department of Statistics, Faculty of Science, King Abdulaziz University, Jeddah 21551, Saudi Arabia
E-mail: lbaharith@kau.edu.sa

Received 16 August 2021; Accepted 09 February 2022; Publication 16 March 2022

Abstract

The addition of an extra parameter to standard distributions is a common technique in statistical theory. This study introduces a new generalization of the Exponentiated Fréchet distribution named alpha power exponentiated Fréchet distribution (APEF). The APEF allows for a significant amount of versatility in modeling various data forms as it accommodates upside-down bathtubs, decreasing, and reversed-J shapes for hazard rate function. Some of the APEF’s mathematical properties are derived in close forms. The maximum likelihood technique is used to estimate the new distribution parameters. Numerical results are calculated to demonstrate the estimators’ performance. Five well-known real-life applications show the flexibility and potentiality of the APEF empirically. The APEF outperforms other competing distributions based on model selection criteria.

Keywords: Alpha Power Exponentiated Fréchet, Exponentiated Fréchet Distribution, entropy, moment.

1 Introduction

In recent years, many statistical studies have developed different methods and techniques to introduce more flexible distributions for various types of applications by combining standard distributions or adding parameter(s) to the existing distributions; see for example [18, 13, 38, 10, 5, 6].

Recent works by [26] introduced a new useful technique that incorporates the skewness to any distribution called alpha power transformation (APT). This technique adds an extra parameter, α, to base distribution, making the resulting distribution more flexible in real-life modeling data with different failure rates. Several authors employed APT to propose new distributions such as the APT-Weibull by [32], APT-inverse Lindley by [14], APT-Pareto by [20], APT-Marshall–Olkin by [33], APT-Fréchet (APF) by [31], APT-Weibull Fréchet by [15], APT-inverse Lomax by [42], APT-Gompertz by [16], APT-exponentiated Weibull-exponential by [22] and APT-Weibull—exponential by [7], among others. The cumulative distribution function (CDF) and probability density function (PDF) of an APT are defined as:

FAPT(x) ={αR(x)-1α-1if α>0,α1,R(x)if α=1, (1)
fAPT(x) ={logαα-1r(x)αR(x)if α>0,α1,r(x)if α=1, (2)

where R(x) and r(x) are the CDF and PDF of any base distribution.

The Fréchet distribution is a well-known distribution in extreme value theory due to its many applications in different spheres [23, 12]. Several researchers proposed different extension of the Fréchet distribution in order to model different types of real life applications in all fields of study. Among these, the exponentiated Fréchet (EF) [28, 29], the beta Fréchet [9], the gamma extended Fréchet [37], the Marshall-Olkin Fréchet (MO-F) [24], the transmuted exponentiated Fréchet (TEF) [17], the Kumaraswamy Fréchet [27], the Wiebull Fréchet [1], the odd Fréchet-G [19], the extended odd Fréchet-G [30], the Fréchet Topp Leone-G [34], the generalized transmuted Fréchet [36], the exponential transmuted Fréchet [35] and recently the exponentiated Fréchet-Lomax distributions [8].

The exponentiated Fréchet distribution (EF) is motivated by its attractive physical interpretation and the Fréchet’s multitude of applications, see [17, 29]. The CDF and PDF of EF distribution with shape parameters θ,c>0, and scale parameter b>0 are as follows:

G(x;b,θ,c) =1-[1-exp{-(bx)θ}]c,x>0, (3)
g(x;b,θ,c) =bθθcx-(θ+1)exp{-(bx)θ}[1-exp{-(bx)θ}]c-1. (4)

This research aims to introduce and study a more flexible and simpler extended model of the EF called the Alpha power exponentiated Fréchet (APEF) distribution. That is, the following are the primary motives for proposing APEF in practice:

• Increase the flexibility of EF using the APT technique.

• Introduce an extended version of EF with simple and attractive expressions for a number of desirable features like moments, order statistics, and entropy.

• Provide a more suitable fit for modeling various data in many areas compared to modified competitive models.

This article is structured as follows: Section 2 presents the APEF distribution with some graphical representations. Important Expansion of the APEF density is obtained in Section 3. Section 4 investigates some of the APEF structural properties. Sections 5 and 6 provide maximum likelihood (ML) estimation of APEF parameters in addition to numerical studies. In Section 7, five applications in a variety of fields are analyzed to examine the potentiality and efficiency of the APEF distribution. Finally, conclusions are reported in Section 8.

2 The APEF Distribution

In this section, we introduce the APEF distribution. The APEF’s PDF and CDF are obtained by substituting Equation (3) and Equation (4) in Equation (1) and Equation (2) as follows:

F(x)={α1-[1-exp{-(bx)θ}]c-1α-1,α1,1-[1-exp{-(bx)θ}]c,α=1, (5)

and

f(x)={logαα-1αbθθcx-(θ+1)exp{-(bx)θ}[1-exp{-(bx)θ}]c-1α-[1-exp{-(bx)θ}]c,α1,bθθcx-(θ+1)exp{-(bx)θ}[1-exp{-(bx)θ}]c-1,α=1, (6)

where α, b, c, θ>0, x0.

The APEF’s Survival function, S(x), is expressed as

S(x)={αα-1(1-α-[1-exp{-(bx)θ}]c),α1,[1-exp{-(bx)θ}]c,α=1. (7)

The hazard rate function, HRF, of the APEF is expressed as

HRF(x)={bθθcexp{-(bx)θ}[1-exp{-(bx)θ}]c-1α-[1-exp{-(bx)θ}]cx(θ+1)(1-α-[1-exp{-(bx)θ}]c)logα,α1,bθθcx-(θ+1)exp{-(bx)θ}[1-exp{-(bx)θ}]-1,α=1. (8)

images

Figure 1 Plots of the APEF densities.

images

Figure 2 Plots of the APEF hazard rates.

Plots of the APEF density in Equation (6) and hazard rate in Equation (8) are displayed, respectively, in Figures 1 and 2. It is observed from Figure 1 the various shapes of APEF density function as it takes decreasing, increasing, and right-skewed shapes. Additionally, as demonstrated in Figure 2, the HRF of APEF can take several shapes, including monotonically decreasing, uni-modal, and reversed j-shape. Therefore, this illustrates APEF’s considerable versatility, making it ideal for a wide range of real-world applications.

2.1 Special Sub-Models

The APEF approaches several distributions such as the Fréchet, EF, inverse exponential (IE) [21], APT-Fréchet and APT-IE [11]. Table 1 shows the essential sub-models of APEF.

Table 1 Special sub-models of the APEF

α b c θ Resulting Distribution
- b - θ Fréchet
- b c θ EF
- b - - IE
α b - θ APF
α b - - AP-IE

3 Important Expansion of the APEF Density

This section presents essential expansion of the APEF density to simplify the derivation of APEF structural properties. The exponential series representation for α-z is expressed as

α-z=ν1=0(-logα)ν1ν1!(z)ν1. (9)

Therefore, employing Equation (9) to Equation (6) for α1, the PDF of APEF will be

f(x) =logαα-1αbθθcx-(θ+1)exp{-(bx)θ}ν1=0(-logα)ν1ν1!
×[1-exp{-(bx)θ}]cν1+(c-1).

Then, by employing the following binomial series expansion

(1-z)a-1=ν2=0(-1)ν2(a-1ν2)(z)ν2, (10)

the PDF will be

f(x) =αbθθcα-1x-(θ+1)ν1,ν2=0(logα)ν1+1ν1!(-1)ν1+ν2
×(c(ν1+1)-1ν2)[exp{-(bx)θ}]ν2+1.

Then, the PDF of APEF can be reduced to

f(x)=bθθν2=0ην2x-(θ+1)exp{-(ν2+1)(bx)θ}, (11)

where

ην2=αcα-1ν1(-1)ν1+ν2(logα)ν1+1ν1!(c(ν1+1)-1ν2). (12)

4 Mathematical Properties

The following mathematical features of the APEF are investigated:

4.1 Quantile and Median

The pth quantile of the APEF could be expressed in the following form

Qp=b[-log(1-(1-log(p(α-1)+1)logα)1c)]1θ. (13)

Then setting p=0.5 in Equation (13), the median of the APEF is

Med=Q0.5=b[-log(1-(1-log(0.5(α+1))logα)1c)]1θ. (14)

4.2 Moments, Moment Generating and Characteristics Functions

The rth moment is obtained from Equation (11) as

μr=E(xr)=0xrfAPEF(x)dx=bθθν2=0ην20xrx-(θ+1)exp{-(ν2+1)(bx)θ}dx.

Taking g=(ν2+1)(bx)θ,dx=x(θ+1)dg-bθθ(ν2+1) , limits will change from to 0, then after some simplification, we have

E(xr)=ν2=0ην2br(ν2+1)(1-rθ)0g-rθexp(-g)dg.

The rth moment of the APEF is expressed as

μr=ν2=0ην1brΓ((1-rθ)(ν2+1)(1-rθ),r<θ, (15)

where ην2 is defined in Equation (12). Subsequently, the mean and variance can be obtained by substituting r=1 and r=2 in Equation (15), respectively.

Therefore, based on the rth moment in Equation (15) of APEF, the moment generating function (mgf) is expressed as

Mx(t)=E(etx)=r=0trr!μr. (16)

Substituting Equation (15) in Equation (16), will have

Mx(t)=r=0ν2=0ην2trr!brΓ((1-rθ)(ν2+1)(1-rθ),r<θ, (17)

where ην2 is defined in Equation (12).

Similarly, the characteristics function of APEF is easily obtained as

ϕx(t)=E(etx)=r=0ν2=0ην2(it)rr!brΓ((1-rθ)(ν2+1)(1-rθ),r<θ, (18)

where ην2 is defined in Equation (12).

4.3 Incomplete Moment

The incomplete moment is considered important for many applications in various fields. Therefore, the rth incomplete moment of APEF is derived using Equation (11) as

ξr=0txrfAPEF(x)dx=bθθν2=0ην20tx-(θ+1)+rexp{-(ν2+1)(bx)θ}dx

Then after some simplification and using the incomplete gamma function given by

Γ*(s,x)=xws-1e-wdw,

the APEF’s incomplete moment is expressed as

ξr=ν2=0ην2brΓ*(1-rθ,(ν2+1)(bx)θ)(ν2+1)(1-rθ),r<θ. (19)

4.4 Mean Residual Life Function and Mean Waiting Time

If XAPEF, then the mean residual life function of X, μ(t), is defined as

μ(t)=1S(t)(E(t)-0txf(x)dx)-t, (20)

where

0txf(x)dx=0txbθθν2=0ην2x-(θ+1)exp{-(ν2+1)(bx)θ}dx.=ν2=0ην2bΓ*(1-1θ,(ν2+1)(bt)θ)(ν2+1)(1-1θ). (21)

Substituting Equation (7), Equation (15), and Equation (21) in Equation (20), then

μ(t) =(α- 1)(ν2=0ην2b(ν2+1)(1-1θ)[Γ(1-1θ)-Γ*(1-1θ,(ν2+ 1)(bt)θ)])α(1-α-[1-exp{-(bt)θ}]a)-t. (22)

Similarly, the mean waiting time is

μ¯(t)=t-1F(t)0txf(x)dx=t-(α-1)(ν2=0ην2b(ν2+1)(1-1θ)[Γ*(1-1θ,(ν2+1)(bt)θ)])α1-[1-exp{-(bt)θ}]a.

4.5 Rényi Entropy

The Rényi entropy for a random variable X denoted by REx presents a variation measure of uncertainty and is takes the following form

REx(δ)=11-δlog(-[f(x)]δdx);δ>0,ν0.

Then from Equation (6), will have

[f(x)]δ=[logαα-1]δ×(αbθθc)δx-δ(θ+1)exp{-δ(bx)θ}[1-exp{-(bx)θ}]δ(c-1)αδ[1-exp{-(bx)θ}]c.

Applying Equation (9) to expand α-δ[1-exp{-(bx)θ}]a, then

[f(x)]δ=[αbθθclogαα-1]δx-δ(θ+1)exp{-δ(bx)θ}×ν1=0(-logα)ν1ν1![1-exp{-(bx)θ}]c(ν1+δ)-δ.

Additionally, using Equation (10)

[f(x)]δ =(αbθθc)δx-δ(θ+1)(α-1)δν1,ν2=0(-1)ν1+ν2ν1!(logα)ν1+δ
×(c(ν1+δ)-δν2)[exp{-(ν2+δ)(bx)θ}].

Therefore,

REx(δ) =11-δlog
×{(bθθ)δν2=0ην2*0x-δ(θ+1)exp{-(ν2+δ)(bx)θ}dx},

where

ην2*=(αc)δ(α-1)δν1(-1)ν1+ν2ν1!(c(ν1+δ)-δν2)(logα)ν1+δ. (24)

By assuming u=(ν2+δ)(bx)θ, REx for the APEF can be expressed as

REx(δ)=11-δlog{b1-δθδ-1ν2=0ην2*Γ(δ(θ+1)-1θ)(ν2+δ)δ(θ+1)-1θ}. (25)

4.6 Order Statistics

If a random sample X1,,Xn is obtained from APEF in Equation (11), then Xk:n denotes the kth order statistics with the following PDF

fk:n(x)=n!(k-1)!(n-k)!f(x)F(x)k-1[1-F(x)]n-k. (26)

Inserting Equations (6) and (5) into Equation (26), will have

fk:n(x) =n!(-1)k-1f(x)(k-1)!(n-k)!(α-1)n-1(1-α1-[1-exp{-(bx)θ}]c)k-1
×(α-α1-[1-exp{-(bx)θ}]c)n-k.

Applying the binomial theorem

(x-z)m=y=0m(-1)y(my)xm-yzy.

Then, fk:n(x) can be expressed as

fk:n(x)=n!bθθclogα(k-1)!(n-k)!(α-1)nx-(θ+1)×exp{-(bx)θ}[1-exp{-(bx)θ}]c-1×λ1=0k-1λ=0n-k(k-1λ1)(n-kλ2)(-1)k+λ1+λ2-1αn-k+λ1+1α(λ1+λ2+1)[1-exp{-(bx)θ}]c. (27)

5 Estimation

We assume that x1,x2,,xn is a random sample from the APEF. Then, the log-likelihood () for Θ=(α,b,θ,c) is

=nlog(log(α)α-1)+nlog(αbθθc)-(θ+1)i=1nlog(xi)-i=1n(bxi)θ+(c-1)i=1nlog(1-exp{-(bxi)θ})-logαi=1n(1-exp{-(bxi)θ})c. (28)

Then, the likelihood equations are as follows:

α=n(α-1α-logα)(α-1)logα+nα-i=1n(1-exp{-(bxi)θ})cα,
b=nθb-i=1nθ(bxi)θ-1xi+(c-1)θi=1n(bxi)θ-1exp{-(bxi)θ}x(1-exp{-(bxi)θ})-θci=1n(bxi)θ-1exp{-(bxi)θ}(1-exp{-(bxi)θ})c-1xilogα,
θ=n(θbθlog(b)+bθ)θbθ-i=1n(bxi)θlog(bxi)-i=1nlog(xi)+(c-1)i=1n(bxi)θlog(bxi)exp{-(bxi)θ}(1-exp{-(bxi)θ})-ci=1n(bxi)θlog(bxi)(1-exp{-(bxi)θ})c-1×exp{-(bxi)θ}logα,

and

c =nc+i=1nlog(1-exp{-(bxi)θ})
-i=1n(1-exp{-(bxi)θ})c
×log(1-exp{-(bxi)θ})logα.

The ML estimates of α,b,θ and c is obtained by solving the above equations simultaneously or by directly maximizing Equation (28) by non-linear optimization approach.

6 Numerical Studies

In this numerical study, 1000 samples with size 25, 50, 100, 200 and 500 are randomly generated from the APEF for two combinations of parameter values as follows:

Combination1:  α=0.7,b=1.9,θ=5.5,c=1.2),

Combination2:  α=1.5,b=3.9,θ=6,c=0.2).

The ML estimates and mean square errors (MSEs),

MSE^b=1ni=1n(Θ^i-Θ)2,

are calculated to assess the performance of ML estimators.

Table 2 ML estimates and MSE for two combinations of parameter’ values

First Combination Second Combination

Sample size Par. Estimate MSE Estimate MSE
n=25 α 0.8855 0.7785 1.5512 0.9403
b 1.3698 0.7105 4.0663 0.4758
θ 5.5369 0.7197 6.1416 0.7804
c 1.3698 0.7105 0.2170 0.1958
n=50 α 0.8098 0.6104 1.5198 0.6157
b 1.9175 0.0745 3.9867 0.2666
θ 5.5100 0.5641 6.0638 0.4366
c 1.2557 0.4910 0.2049 0.0491
n=100 α 0.7514 0.4504 1.5577 0.4427
b 1.9146 0.0535 3.9334 0.1737
θ 5.4751 0.3622 6.0300 0.3126
c 1.2221 0.3288 0.2034 0.0314
n=200 α 0.7528 0.3984 1.4538 0.1859
b 1.2031 0.1489 3.8653 0.0792
θ 5.4804 0.1802 6.1625 0.2228
c 1.2031 0.1489 0.1881 0.0199

n=500 α 0.7101 0.2521 1.4603 0.0450
b 1.9066 0.0496 3.8268 0.0764
θ 5.5063 0.3433 6.1761 0.2017
c 1.2082 0.2393 0.1824 0.0182

Table 2 reports the simulation results. The results revealed that the ML technique performs effectively as the parameter estimates get closer to their true values. Additionally, the MSEs decrease as the sample size increases for both parameter combinations.

7 Applications

In this section, the APEF is utilized to statistically assess six well-known data sets. In particular, the fit of APEF for each of the five data sets is compared with the fits of some of its sub-models and other competitive generalization of the EF and Fréchet distributions. The CDFs of these distributions are, respectively, as follows:

• APF:

F(x;b,θ)=αexp{-(bx)θ}-1α-1,α1;

• TEF:

F(x;λ,b,θ,c) =[1-(1-exp{-(bx)θ})c]
×[1+λ(1-exp{-(bx)θ})c];

• Marshall-Olkin exponentiated Fréchet (MO-EF):

F(x;δ,b,θ)=1-δ[1-exp{-(bx)θ}][1-(1-δ)(1-exp{-(bx)θ})];

• MO-EF:

F(x;δ,b,θ,c)=1-δ[1-exp{-(bx)θ}]c[1-(1-δ)(1-exp{-(bx)θ})c];

for x>0;α,b,θ,c,δ>0 and |λ|1.

The following goodness-of-fit (GOF) statistics are used to evaluate APEF’s performance compared to other models: Akaike Information Criterion (AIC), corrected AIC (CAIC), Kramér-von Mises (W*), Anderson-Darling (A*), Kolmogorov-Smirnov (KS) and P-value statistics. The model with the shortest values of these statistics, as well as the highest P-value for the KS test, is the best. The calculations are carried out using the package fitdistrplus in the R software [40]. In addition, the fitted CDFs and PDFs of APEF and other competitive models are plotted and compared.

First data set: The first data set were taken from [39], which report the highest annual flood flows of the North Saskachevan River near Edmonton in units of 1000 cubic feet per second for a 48-year period. The data are illustrated Table 8 in the Appendix.

Second data set: The data was studied by [25] and illustrate the Mathematics grades for 48 slow-pace students in the year 2013, see Table 9 in the Appendix.

Third data set: This data present drought mortality rate and are recently studied by [3, 4]. The data report Canada COVID-19 data from 10 April to 15 May 2020 for 36 days, The data are illustrated Table 10 in the Appendix.

Fourth data set: This data corresponds to the remission months of 128 patients suffering from bladder cancer, see [2], see Table 11 in the Appendix.

Fifth data set: This data obtained from [41] which report the survival times of 121 breast cancer patients in the period between 1929 to 1938, see Table 12 in the Appendix.

Table 3 ML estimation and associated GOF statistics for data 1

Distribution APEF APF EF TEF MO-F MO-EF
Estimates α^= 16.132 α^= 122.295 c^= 0.099 λ^= 0.521 δ^= 16.671 δ^=13.789
θ^= 15.444 θ^= 4.633 b^= 21.673 θ^= 0.836 θ^= 3.407 c^=0.164
c^= 0.142 b^= 26.750 θ^= 13.906 c^= 8.109 b^= 18.797 b^= 10.795
b^= 20.447 b^= 154.094 θ^= 13.155
AIC 437.416 466.474 443.753 441.738 440.474 455.488
CAIC 441.159 469.281 446.560 445.480 442.878 459.2305
W* 0.0243 0.4947 0.2970 0.0581 0.0774 0.4056
AD* 0.1652 5.6861 1.5364 0.3924 0.5075 2.4708
KS 0.0647 0.2018 0.1450 0.0860 0.0918 0.1856
P-value 0.9878 0.0401 0.2644 0.8693 0.9075 0.0731

Table 4 ML estimation and associated GOF statistics for data 2

Distribution APEF APF EF TEF MO-F MO-EF
Estimates α^= 4.5076 α^= 64.798 c^= 2.044 λ^= -0.723 δ^= 2.530 δ^=64.798
θ^= 0.628 θ^= 1.727 b^= 22.760 θ^= 1.591 θ^= 1.739 c^=0.367
c^= 7.501 b^= 8.078 θ^= 1.049 c^= 0.945 b^= 10.862 b^= 3.474
b^= 60.877 b^= 10.942 θ^= 6.412
AIC 401.1407 403.2002 403.2120 408.3653 404.8800 401.4828
CAIC 404.8831 406.007 406.0188 412.1077 407.6868 405.2252
W* 0.0348 0.0639 0.1197 0.0748 0.0683 0.0361
AD* 0.2537 0.5360 0.7189 0.8012 0.7112 0.2805
KS 0.0620 0.0911 0.1195 0.0795 0.0753 0.0637
P-value 0.9926 0.8201 0.4988 0.9214 0.9003 0.9899

Table 5 ML estimation and associated GOF statistics for data 3

Distribution APEF APF EF TEF MO-F MO-EF
Estimates α^= 25.4200 α^= 22.100 c^= 1.964 λ^= 0.643 δ^= 8.612 δ^=5.699
θ^= 1.315 θ^= 3.970 b^= 3.303 θ^= 1.166 θ^= 6.915 c^=6.915
c^= 9.729 b^= 2.142 θ^= 2.446 c^= 15.757 b^= 1.938 b^= 3.914
b^= 5.146 b^= 7.542 θ^= 1.625
AIC 102.524 106.0610 107.1282 103.2653 103.8935 102.6079
CAIC 105.691 108.4363 109.5034 106.4324 106.2688 105.775
W* 0.0589 0.1661 0.1925 0.0719 0.1715 0.0715
AD* 0.3665 1.0178 1.1300 0.4381 0.9423 0.4211
KS 0.0985 0.1412 0.1560 0.1029 0.1503 0.1121
P-value 0.8757 0.4689 0.3448 0.8401 0.3901 0.7553

Table 6 ML estimation and associated GOF statistics for data 4

Distribution APEF APF EF TEF MO-F MO-EF
Estimates α^= 60.757 α^= 18.940 c^= 4.320 λ^= -0.826 δ^= 17.497 δ^=12.227
θ^= 0.245 θ^= 0.939 b^= 18.748 θ^= 0.451 θ^= 1.233 c^=5.715
c^= 24.644 b^= 1.204 θ^= 0.487 c^= 4.726 b^= 0.516 b^= 6.319
b^= 328.959 b^= 14.554 θ^= 0.456
AIC 827.8689 871.4901 851.3876 842.6851 855.0750 829.7104
CAIC 833.5729 875.7681 855.6656 848.3892 859.3531 835.4145
W* 0.0145 0.6410 0.5596 0.1750 0.4918 0.0315
AD* 0.1312 4.1151 2.9321 1.1764 3.0411 0.2402
KS 0.0351 0.1153 0.1185 0.0718 0.1116 0.0451
P-value 0.9974 0.0665 0.0550 0.5232 0.0821 0.9563

Table 7 ML estimation and associated GOF statistics for data 5

Distribution APEF APF EF TEF MO-F MO-EF
Estimates α^= 658.747 α^= 20.417 c^= 2.855 λ^= -0.906 δ^= 22.815 δ^=25.439
θ^= 0.253 θ^= 0.833 b^= 59.676 θ^= 0.611 θ^= 1.155 c^=4.640
c^= 19.119 b^= 5.127 θ^= 0.521 c^= 1.808 b^= 1.904 b^= 15.629
b^= 764.733 b^= 17.141 θ^= 0.502
AIC 1181.749 1252.361 1235.402 1234.778 1227.987 1183.347
CAIC 1187.34 1256.554 1239.596 1240.37 1232.181 1188.939
W* 0.1672 1.3575 1.2226 0.9502 1.0044 0.1930
AD* 1.1800 8.2502 6.7873 5.7262 6.2280 1.2830
KS 0.1086 0.1724 0.1748 0.1506 0.1446 0.1111
P-value 0.1147 0.0014 0.0012 0.0082 0.0126 0.1007

images

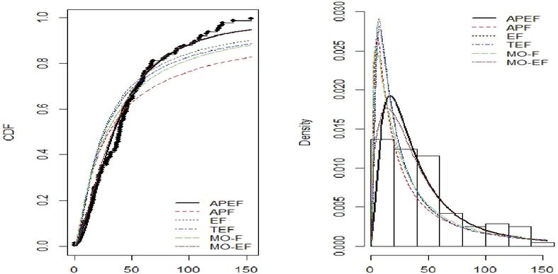
Figure 3 Estimated PDFs and CDFs of APEF, APF, EF, TEF, MO-F, and MO-EF distributions for data 1.

images

Figure 4 Estimated PDFs and CDFs of APEF, APF, EF, TEF, MO-F, and MO-EF distributions for data 2.

images

Figure 5 Estimated PDFs and CDFs of APEF, APF, EF, TEF, MO-F, and MO-EF distributions for data 3.

images

Figure 6 Estimated PDFs and CDFs of APEF, APF, EF, TEF, MO-F, and MO-EF distributions for data 4.

images

Figure 7 Estimated PDFs and CDFs of APEF, APF, EF, TEF, MO-F, and MO-EF distributions for data 5.

Tables 37 report the ML estimation and associated GOF statistics for each model. It can be observed that the GOF statistics are lower for APEF compared to other competitive models, and hence it provides a better fit for all five data sets. Moreover, the promising performance of APEF can be visually seen in Figures 37 as its estimated fits for the five data sets are closer to their empirical CDFs and PDFs.

8 Concluding Remarks

This article proposed a new generalization of EF distribution using APT named Alpha power exponentiated Fréchet distribution. The APEF provides high flexibility, especially for modeling skewed data in different fields. Explicit expressions of various mathematical properties of APEF such as quantile, median, moments, incomplete moments, mean residual life, order statistics, and entropy are derived. The performance of APEF is examined via simulation and Five real-life applications in different fields, which demonstrate its usefulness and great flexibility. Application results indicate that the APEF distribution consistently provides appropriate fit and outperformed other extended forms of the exponentiated Fréchet and Fréchet distributions.

Acknowledgement

The authors would like to thank to the editor and all of the referees for their thoughtful comments, which have helped to improve the manuscript.

Appendix

Table 8 List of Data set I

19.885 20.940 21.820 23.700 24.888 25.460 25.760 26.720 27.500 28.100
28.600 30.200 30.380 31.500 32.600 32.680 34.400 35.347 35.700 38.100
39.020 39.200 40.000 40.400 40.400 42.250 44.020 44.730 44.900 46.300
50.330 51.442 57.220 58.700 58.800 61.200 61.740 65.440 65.597 66.000
74.100 75.800 84.100 106.600 109.700 121.970 121.970 185.560

Table 9 List of Data set II

29 25 50 15 13 27 15 18 7 7 8 19 12 18 5 21 15
86 21 15 14 39 15 14 70 44 6 23 58 19 50 23 11 6
34 18 28 34 12 37 4 60 20 23 40 65 19 31

Table 10 List of Data set III

3.1091 3.3825 3.1444 3.2135 2.4946 3.5146 4.9274 3.3769 6.8686 3.0914 4.9378
3.1091 3.2823 3.8594 4.0480 4.1685 3.6426 3.2110 2.8636 3.2218 2.9078 3.6346
2.7957 4.2781 4.2202 1.5157 2.6029 3.3592 2.8349 3.1348 2.5261 1.5806 2.7704
2.1901 2.4141 1.9048

Table 11 List of Data set IV

0.08 2.09 3.48 4.87 6.94 8.66 13.11 23.63 0.20 2.23 3.52 4.98 6.97
9.02 13.29 0.40 2.26 3.57 5.06 7.09 9.22 13.80 25.74 0.50 2.46 3.64
5.09 7.26 9.47 14.24 25.82 0.51 2.54 3.70 5.17 7.28 9.74 14.76 26.31
0.81 2.62 3.82 5.32 7.32 10.06 14.77 32.15 2.64 3.88 5.32 7.39 10.34
14.83 34.26 0.90 2.69 4.18 5.34 7.59 10.66 15.96 36.66 1.05 2.69 4.23
5.41 7.62 10.75 16.62 43.01 1.19 2.75 4.26 5.41 7.63 17.12 46.12 1.26
2.83 4.33 5.49 7.66 11.25 17.14 79.05 1.35 2.87 5.62 7.87 11.64 17.36
1.40 3.02 4.34 5.71 7.93 11.79 18.10 1.46 4.40 5.85 8.26 11.98 19.13
1.76 3.25 4.50 6.25 8.37 12.02 2.02 3.31 4.51 6.54 8.53 12.03 20.28
2.02 3.36 6.76 12.07 21.73 2.07 3.36 6.93 8.65 12.63 22.69

Table 12 List of Data set V

0.3 0.3 4.0 5.0 5.6 6.2 6.3 6.6 6.8 7.4 7.5 8.4 8.4
10.3 11.0 11.8 12.2 12.3 13.5 14.4 14.4 14.8 15.5 15.7 16.2 16.3
16.5 16.8 17.2 17.3 17.5 17.9 19.8 20.4 20.9 21.0 21.0 21.1 23.0
23.4 23.6 24.0 24.0 27.9 28.2 29.1 30.0 31.0 31.0 32.0 35.0 35.0
37.0 37.0 37.0 38.0 38.0 38.0 39.0 39.0 40.0 40.0 40.0 41.0 41.0
41.0 42.0 43.0 43.0 43.0 44.0 45.0 45.0 46.0 46.0 47.0 48.0 49.0
51.0 51.0 51.0 52.0 54.0 55.0 56.0 57.0 58.0 59.0 60.0 60.0 60.0
61.0 62.0 65.0 65.0 67.0 67.0 68.0 69.0 78.0 80.0 83.0 88.0 89.0
90.0 93.0 96.0 103.0 105.0 109.0 109.0 111.0 115.0 117.0 125.0 126.0 127.0
129.0 129.0 139.0 154.0

References

[1] Afify, A., Yousof, H., Cordeiro, G., Ortega, E. & Nofal, Z. The Weibull Fréchet distribution and its applications. Journal of Applied Statistics. 43, 2608–2626, 2016.

[2] Al-Marzouki, S., Jamal, F., Chesneau, C. & Elgarhy, M. Type II Topp Leone power Lomax distribution with applications. Mathematics. 8(4), 2020.

[3] Almetwally, E., Alharbi, R., Alnagar, D. & Hafez, E. A New Inverted Topp-Leone Distribution: Applications to the COVID-19 Mortality Rate in Two Different Countries. Axioms. 10(25), 2021.

[4] Alotaibi, R., Khalifa, M., Baharith, L., Dey, S. & Rezk, H. The Mixture of the Marshall–Olkin Extended Weibull Distribution under Type-II Censoring and Different Loss Functions. Mathematical Problems in Engineering, 2021.

[5] Alzaatreh, A. & Ghosh, I. On the Weibull-X family of distributions. Journal of Statistical Theory and Applications. 14, 169–183, 2015.

[6] Alzaatreh, A., Lee, C. & Famoye, F. A new method for generating families of continuous distributions. Metron. 71, 63–79, 2013.

[7] Baharith, L. & Aljuhani, W. New Method for Generating New Families of Distributions. Symmetry. 13(4), pp. 726, 2021.

[8] Baharith, L. & Alamoudi, H. The Exponentiated Fréchet Generator of Distributions with Applications. Symmetry. 13(4), pp. 572, 2021.

[9] Barreto-Souza, W., Cordeiro, G. & Simas, A. Some results for beta Fréchet distribution. Communications in Statistics-Theory and Methods. 40, 798–811, 2011.

[10] Bourguignon, M., Silva, R. & Cordeiro, G. The Weibull-G family of probability distributions. Journal of Data Science. 12, 53–68, 2014.

[11] Ceren, Ü., Cakmakyapan, S. & Gamze, Ö. Alpha power inverted exponential distribution: Properties and application. Gazi University Journal of Science. 31, 954–965, 2018.

[12] Coles, S., Bawa, J., Trenner, L. & Dorazio, P. An introduction to statistical modeling of extreme values. Springer, 2001.

[13] Cordeiro, G. & Castro, M. A new family of generalized distributions. Journal of Statistical Computation and Simulation. 81, 883–898, 2011.

[14] Dey, S., Ghosh, I. & Kumar, D. Alpha-power transformed Lindley distribution: properties and associated inference with application to earthquake data. Annals of Data Science. 6, 623–650, 2019.

[15] Eghwerido, J. The alpha power Weibull Frechet distribution: properties and applications. Turkish Journal of Science. 5, 170–185, 2020.

[16] Eghwerido, J., Nzei, L. & Agu, F. The alpha power Gompertz distribution: characterization, properties, and applications. Sankhya A. 1–27, 2020.

[17] Elbatal, I., Asha, G. & Raja, A. transmuted exponentiated Fréchet distribution: properties and applications. Journal of Statistics Applications & Probability. 3, pp. 379, 2014.

[18] Eugene, N., Lee, C. & Famoye, F. Beta-normal distribution and its applications. Communications in Statistics-Theory and Methods. 31, 497–512, 2002.

[19] Haq, M. & Elgarhy, M. The odd Fréchet-G family of probability distributions. Journal of Statistics Applications & Probability. 7, 189–203, 2018.

[20] Ihtisham, S., Khalil, A., Manzoor, S., Khan, S. & Ali, A. Alpha-Power Pareto distribution: Its properties and applications. PloS One. 14, 6:e0218027, 2019.

[21] Keller, A., Kamath, A. & Perera, U. Reliability analysis of CNC machine tools. Reliability Engineering. 3, 449–473 , 1982.

[22] Klakattawi, H. & Aljuhani, W. A New Technique for Generating Distributions Based on a Combination of Two Techniques: Alpha Power Transformation and Exponentiated TX Distributions Family. Symmetry. 13(3), pp. 412, 2021.

[23] Kotz, S. & Nadarajah, S. Extreme value distributions: theory and applications. World Scientific, 2000.

[24] Krishna, E., Jose, K., Alice, T. & Ristić, M. The Marshall-Olkin Fréchet distribution. Communications in Statistics-Theory and Methods. 42, 4091–4107, 2013.

[25] Linhart, H. & Zucchini, W. Model selection. John Wiley & Sons, 1986.

[26] Mahdavi, A. & Kundu, D. A new method for generating distributions with an application to exponential distribution. Communications in Statistics-Theory and Methods. 46, 6543–6557, 2017.

[27] Mead, M. A note on Kumaraswamy Fréchet distribution. Australia. 8, pp. 294–300, 2014.

[28] Nadarajah, S. & Kotz, S. The exponentiated Fréchet distribution. Interstat Electronic Journal. 14, pp. 1–7 , 2003.

[29] Nadarajah, S. & Kotz, S. The exponentiated type distributions. Acta Applicandae Mathematica. 92, 97–111, 2006.

[30] Nasiru, S. Extended odd Fréchet-G family of distributions. Journal of Probability and Statistics, 2018.

[31] Nasiru, S., Mwita, P. & Ngesa, O. Alpha power transformed Frechet distribution. Applied Mathematics & Information Sciences. 13: 129–141, 2019.

[32] Nassar, M., Alzaatreh, A., Mead, M. & Abo-Kasem, O. Alpha power Weibull distribution: Properties and applications. Communications in Statistics-Theory and Methods. 46, 10236–10252, 2017.

[33] Nassar, M., Kumar, D., Dey, S., Cordeiro, G. & Afify, A. The Marshall–Olkin alpha power family of distributions with applications. Journal of Computational And Applied Mathematics. pp. 351, 41–53, 2019.

[34] Reyad, H., Korkmaz, M., Afify, A., Hamedani, G. & Othman, S. The Fréchet Topp Leone-G family of distributions: Properties, characterizations and applications. Annals Of Data Science. 8(2), 345–366, 2021.

[35] Pillai, J. & Moolath, G. A New Generalization of the Fréchet Distribution: Properties and Application. Statistica. 79, 267–289, 2019.

[36] Riffi, M., Ansari, S. & Hamdan, M. A generalized transmuted Frechet distribution. J. Stat. Appl. Pro. 7, 1–10, 2019.

[37] Silva, R., Andrade, T., Maciel, D., Campos, R. & Cordeiro, G. A new lifetime model: The gamma extended Fréchet distribution. Journal of Statistical Theory and Applications. 12, 39–54, 2013.

[38] Tahir, M., Cordeiro, G., Alizadeh, M., Mansoor, M., Zubair, M. & Hamedani, G. The odd generalized exponential family of distributions with applications. Journal of Statistical Distributions and Applications. 2(1), 2015.

[39] Tahir, M., Hussain, M., Cordeiro, G., El-Morshedy, M. & Eliwa, M. A new Kumaraswamy generalized family of distributions with properties, applications, and bivariate extension. Mathematics. 8(11), pp. 1989, 2020

[40] Team, R. & Others R: A language and environment for statistical computing. Vienna, Austria, 2013.

[41] Yang, Y., Tian, W. & Tong, T. Generalized Mixtures of Exponential Distribution and Associated Inference. Mathematics. 9(12), pp. 1371, 2021.

[42] ZeinEldin, R., Haq, M., Hashmi, S. & Elsehety, M. Alpha power transformed inverse Lomax distribution with different methods of estimation and applications. Complexity, 2020.

Biography

Lamya A. Baharith is currently working as a Associate Professor at Department of Statistics, King Abdulaziz University, Jeddah, Saudi Arabia. She has contributed to various fields of Statistics through several research publications in different national and international journals of repute. She has also successfully completed some research projects in the field of Statistics.

Abstract

1 Introduction

2 The APEF Distribution

images

images

2.1 Special Sub-Models

3 Important Expansion of the APEF Density

4 Mathematical Properties

4.1 Quantile and Median

4.2 Moments, Moment Generating and Characteristics Functions

4.3 Incomplete Moment

4.4 Mean Residual Life Function and Mean Waiting Time

4.5 Rényi Entropy

4.6 Order Statistics

5 Estimation

6 Numerical Studies

7 Applications

images

images

images

images

images

8 Concluding Remarks

Acknowledgement

Appendix

References

Biography