Under-5 Child Mortality Determinants in Rural-Urban Areas of Bangladesh: Proportional Hazard Models
Ayesha Siddika Anney* and Soma Chowdhury Biswas
Department of Statistics, University of Chittagong, Hathazari, Chattogram-4331, Bangladesh
E-mail: ayesha.anney@gmail.com; soma.stat@cu.ac.bd
Corresponding Author
Received 23 September 2020; Accepted 09 February 2021; Publication 22 March 2021
The People’s Republic of Bangladesh is a South Asian country with a vast population. The early childhood mortality is a noticeable public health problem. The study work aims to determine the factors related to under-5 aged child mortality in both rural and urban areas of Bangladesh; data pulled out from BDHS (Bangladesh Demographic and Health Survey)-2014. In rural and urban areas, 5306 and 2454 less than five years aged children born before in 5 years preceding the survey respectively. The Kaplan-Meier log-rank test is applied to determine the risk factors in bivariate analysis to multivariate survival models. In multivariate analysis to find out the risk factors of under-five aged child mortality, the Cox proportional hazard model and the Cox frailty model were employed. Religion, father’s educational level, number of antenatal care visits, multiplicity of birth, child size at birth, place of delivery, total children ever born, number of living children are the significant factors of child mortality in rural, urban areas. The variability among children for mortality is 0.000529 and 0.001225 in rural and urban areas individually. Proper notable attention needed for significant determinants, which may increase child survival.
Keywords: Bangladesh, child mortality, Kaplan-Meier estimate; proportional hazard models.
In developing countries, under-5 child mortality is found to be global progress has been made in increasing child survivals. To reducing child (60 months) mortality to at least 25 or less per 1,000 live births in every country, which is one of the vulnerable targets of Sustainable Development Goals (SDGs). Rural-urban differences for under-five child mortality in Bangladesh favor that, urban children who have a risk of dying lower than the rural children before reaching his or her fifth birthday. The rural and urban areas under-five age child mortality are, 49 deaths (per 1,000 live births) and 37 deaths (per 1,000 live births) respectively. Bangladesh has a vast population, about 161.75 million approximately and among majority of them (63.37%) lives in rural area. Also, from the latest census on slum dwellers and floating population conducted by BBS 2.23 million people live in slum area and most of them are from urban areas.
Socioeconomic, demographic and health care development of every citizen is one of the important rights laid down in the laws of Bangladesh. To attain the health facilities at a maximum level of every people in Bangladesh, the Ministry of Health and Family Welfare (MOHFW) planned the 4th Sector-Wide Approach (SWAp), called 4th HPNSP (4th Health, Population and Nutrition Sector Program). This program is for gaining the health-related SDGs by 2017–2022. On the other hand, the health system of Bangladesh is confronting poorest service coverage and is short of economic risk protection mechanism. Then resulting outcome then maternal-child health is at risk and a high level of early childhood mortality at present. The parental educational level is conversely related to child mortality. In describing, lower educational attainment is associated with higher child’s risk of dying because education exposes parents to information about better mother-child health care, nutrition, vaccination, acute respiratory infection (ARI) and treatments. The wealth or economic status of a household linked with the child’s risk of dying. Some demographic variables also correlated with under-five child death. Moreover, age of mother at first birth, sex of the child, birth order number, preceding-succeeding birth interval, child-size at birth, place of delivery (home or medical, clinic, NGO satellite or static clinic), Antenatal care (ANC) visits during pregnancy, mode of delivery (by cesarean section or not), lactation period, Acute Respiratory Infection of the child, vaccination are dynamically related to under-five child mortality. Some hygienic, household and environmental factors (the type of toilet facility, source of drinking water, region, and exposure to mass media) might be significantly associated with, who died before reaching his or her fifth birthday. However, many concerning determinants might be correlated with early childhood (less than five years) mortality in rural-urban areas of Bangladesh.
Data for determinants of under-five child mortality in rural-urban areas in Bangladesh extracted from BDHS (Bangladesh Demographic Health Survey and Data)-2014 is the seventh DHS survey; the expected number of interviews was 17863 with ever-married women age 15–49 years. Among 43842 total live births (weighted) and under-five aged children are 5306, 2454 from rural, urban areas respectively are taken as the sample in two separate datasets. The dependent variable used for the analysis is “survival status of a child (death or alive)”, defined as the probability of dying before reaching the age 60 months in a specific period. The independent variables or determinants of under-five child mortality in rural-urban areas were classified into three categories:
1. Socioeconomic determinants (Region, Type of place of residence, Mother’s educational level, Mother’s working status, Father’s educational level, Father’s occupation, Wealth status of the family, Religion, Sex of the household head)
2. Demographic determinants (Mother’s age at first birth, Place of delivery, Currently breastfeeding, Number of living children, Preceding birth interval, Sex of child, Birth order number, Child is twin or Multiplicity of birth, Child size at birth, Number of ANC visits);
3. Hygienic and household determinants (Source of drinking water, Type of toilet facility, Exposure to Mass media).
The Kaplan-Meier procedure is employed to estimate the survival rate of individuals from survival function. It is a non-parametric method of estimating survival function from right-censored data and utilizes the information content of observed cases. For testing the equality of survival functions, i.e., all event times have the same weights the null hypothesis is, : ; All survival function or curves are the same.
Log-Rank test statistics for more than two groups follow Chi-square distribution. The Cox-Mantel log-rank test statistic is,
| (1) |
is the number of groups. The Bonferroni correction is the method for the adjustment of p-values which are calculated from multiple tests and used for comparisons; when more than two survival curves need to compare.
The multivariate analysis with the Cox proportional hazard model, covariates/determinants are significantly taken by Log-rank test with Bonferroni correction then need to satisfy the proportional hazard assumption using Log-minus-log (LML) plots. If the survival curves of different categories of an independent variable do not cross each other, also parallel and well defined, the proportional hazard (PH) assumption is satisfied. The Cox proportional hazard model has the form as,
| (2) |
Where constitutes the baseline hazard function and common to all the individuals in the study population, is a parameter vector and X is a covariate vector. The exponential part indicates that the hazard rate remains positive for all values of X.
The Cox proportional hazard model let out the effect of the covariates by estimating their coefficients. The covariates do not always fully account for estimating the true differences in risk of getting the event and it is due to the frailty term which not included in the model. Including frailty term in the model allows correctly measuring the covariate effects. The Cox proportional hazard model entered as a random effect in the frailty model. The estimated variance of the frailty component measures the heterogeneity or variability among individuals. Then the Cox proportional hazard model is modified as follows:
| (3) |
is the Cox frailty model and Z is a variable represent the frailty term and for some random positive quantity it is distributed as gamma distribution and the probability density function is,
| (4) |
Where
And,
In the Cox frailty model, the restriction is about the shape parameter and scale parameter () that are equal. By which the result in and ; measure the heterogeneity among the sample.
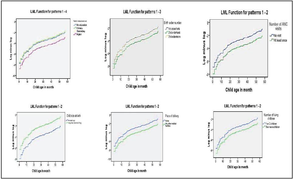
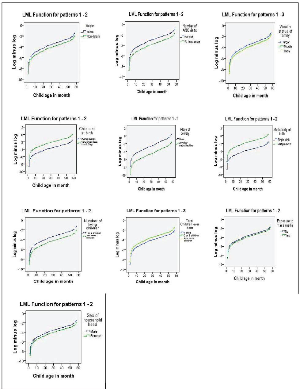
To determine the under-five child mortality, Table 1 represents the percentage distribution of children for selected variables and Log-rank (Mantel-Cox) test results for rural and urban areas. Region, religion, wealth status of family, sex of household head, total children ever born, exposure to mass media, multiplicity of birth were found to be significant determinants in rural areas in bivariate analysis. Father’s educational level, mother’s educational level was significant in urban areas under-five child mortality. Also, in both rural and urban areas, numbers of living children, preceding birth interval, number of ANC visits, place of delivery and child size at birth were common significant determinants. After Bonferroni correction, the LML plots justified that which determinants are satisfied with the PH assumption or not. For rural areas, religion, number of ANC visits, multiplicity of birth, child size at birth, place of delivery, number of living children, total children ever born are satisfied PH assumption and considered as covariates for hazard model (Figure 1). Furthermore, father’s educational level, numbers of ANC visits, child size at birth, place of delivery, number of living children are satisfied PH assumption for multivariate analysis (Figure 2). Table 2 represent the results of hazard ratios and 95% confidence interval for determinants of under-five child mortality in both rural and urban areas.
The Cox proportional hazard model is significant () for both areas. In rural areas, children under-five aged from Muslim family have a higher risk of dying; non-Muslim children have 45% (HR 0.558, ) lower risk of dying than Muslim children. The educational qualification of father is a significant factor for urban areas under-five child mortality; illiterate (HR 2.801 p 0.05), primary educated (HR 3.167, p 0.01) and secondary educated (HR 2.996, p 0.01) father’s children have more risk of dying than the highly educated father’s children. Children whose
Table 1 Percentage distribution of children for selected variables and the results of Log-rank test
| Rural | Urban | |||||
| No. of Deaths | No. of Deaths | |||||
| Determinants | N (%) | Within 5 Years (%) | N (%) | Within 5 years (%) | ||
| Region | ||||||
| Dhaka | 794 (14.96) | 27 (3.40) | 13.211** | 559 (22.78) | 16 (2.86) | 2.673 |
| Chittagong | 1001 (18.87) | 41 (4.10) | 492 (20.05) | 22 (4.47) | ||
| Barisal | 636 (11.99) | 18 (2.83) | 260 (10.59) | 6 (2.31) | ||
| Khulna | 564 (10.63) | 30 (5.32) | 285 (11.61) | 10 (3.51) | ||
| Rajshahi | 656 (12.36) | 26 (3.96) | 287 (11.70) | 10 (3.48) | ||
| Rangpur | 706 (13.30) | 27 (3.82) | 240 (9.78) | 10 (4.17) | ||
| Sylhet | 949 (17.89) | 57 (6.01) | 331 (13.49) | 14 (4.23) | ||
| Religion | ||||||
| Islam | 4900 (92.35) | 215(4.39) | 2.929* | 2228(90.79) | 76(3.41) | 2.154 |
| Non-Islam | 406 (7.65) | 11(2.71) | 226(9.21) | 12(5.31) | ||
| Father’s educational level | ||||||
| No education | 1506 (28.38) | 83 (5.51) | 4.881 | 465 (18.95) | 21 (4.52) | 10.393** |
| Primary | 1731 (32.62) | 74 (4.27) | 608 (24.78) | 27 (4.44) | ||
| Secondary | 1523 (28.70) | 55 (3.61) | 799 (32.56) | 32 (4.01) | ||
| Higher | 546 (10.29) | 14 (2.56) | 582 (23.72) | 8 (1.37) | ||
| Mother’s educational level | ||||||
| No education | 909 (17.13) | 51 (5.61) | 2.619 | 305 (12.43) | 13 (4.26) | 6.506* |
| Primary | 1571 (29.61) | 68 (4.33) | 587 (23.92) | 28 (4.77) | ||
| Secondary | 2454 (46.25) | 99 (1.87) | 1121 (45.68) | 40 (3.57) | ||
| Higher | 372 (7.01) | 8 (0.15) | 441 (17.97) | 7 (1.59) | ||
| Wealth status of family | ||||||
| Poor | 2787 (52.53) | 146 (5.24) | 9.435** | 400 (16.30) | 13 (3.25) | 1.075 |
| Middle | 1163 (21.92) | 39 (3.35) | 328 (13.37) | 16 (4.88) | ||
| Rich | 1356 (25.56) | 41 (3.02) | 1726 (70.33) | 59 (3.42) | ||
| Sex of household head | ||||||
| Male | 4820 (90.5) | 212 (4.40) | 2.738* | 2222 (90.55) | 83 (3.74) | 1.917 |
| Female | 486 (9.16) | 14 (2.88) | 232 (9.45) | 5 (2.16) | ||
| Number of living children | ||||||
| 1 or 2 children | 3573 (67.34) | 180 (5.04) | 29.735*** | 1856 (75.33) | 76 (4.09) | 10.180*** |
| 3 or more | 1733 (32.6) | 46 (2.65) | 598 (24.37) | 12 (2.00) | ||
| Total children ever born | ||||||
| 1 child | 1623 (30.59) | 34 (2.09) | 8.054** | 925 (37.69) | 21 (2.27) | 4.201 |
| 2 or 3 children | 2652 (49.98) | 135 (5.09) | 1232 (50.20) | 48 (3.90) | ||
| 4 or more | 1032 (19.45) | 57 (5.52) | 297 (12.10) | 19 (6.40) | ||
| Exposure to mass media | ||||||
| No | 3305 (62.29) | 155 (4.69) | 3.138* | 629 (25.63) | 25 (3.97) | 0.570 |
| Yes | 2001 (37.71) | 71 (3.55) | 1825 (74.37) | 63 (3.45) | ||
| Preceding birth interval | ||||||
| 1st child | 1985 (37.41) | 95 (4.79) | 4.668* | 1076 (43.85) | 43 (4.00) | 5.588* |
| Interval48 months | 1529 (28.82) | 66 (4.32) | 548 (22.33) | 13 (2.37) | ||
| Interval48 months | 1792 (33.77) | 65 (3.63) | 830 (33.82) | 32 (3.86) | ||
| Number of ANC visits | ||||||
| No visits | 1037 (19.54) | 61 (5.88) | 33.143*** | 218 (8.88) | 13 (5.96) | 13.141*** |
| At least once | 4269 (80.46) | 165 (3.87) | 2236 (91.12) | 75 (3.35) | ||
| Multiplicity of birth | ||||||
| Single birth | 5226 (98.49) | 198 (3.79) | 141.110*** | 2416 (98.45) | 85 (3.52) | 1.309 |
| Multiple birth | 80 (1.51) | 28 (35.00) | 38 (1.55) | 3 (7.89) | ||
| Place of delivery | ||||||
| Home | 2222 (41.88) | 87 (3.91) | 116.499*** | 645 (26.28) | 20 (3.10) | 16.895*** |
| Any other medical facilities | 3084 (58.12) | 139 (4.50) | 1809 (73.72) | 68 (3.76) | ||
| Child size at birth | ||||||
| Average/Large | 5081 (95.76) | 212 (4.17) | 35.796*** | 2374 (96.74) | 83 (3.38) | 15.533*** |
| Very small (less than 2.5 kg) | 225 (4.24) | 14 (6.22) | 80 (3.26) | 5 (6.25) | ||
| Birth order number | ||||||
| 1st birth order/rank | 1971(37.15) | 89(4.52) | 2.023 | 1068 (43.52) | 43 (4.03) | 7.109** |
| 2nd order/rank | 1541(29.04) | 59(3.83) | 773 (31.50) | 16 (2.07) | ||
| 3rd order/rank | 1794(33.81) | 78(4.35) | 613 (24.98) | 29 (4.73) | ||
| [Note: ANC Antenatal care. “*” Significance at p 0.10, “**” Significance at p 0.05 and “***” Significance at p 0.01] | ||||||
Figure 1 LML plot for the determinants of under-5 child (rural area).
Figure 2 LML plot for the determinants of under-5 child (urban area).
Table 2 Results from Cox proportional hazard model and Cox frailty model for determinants of under-five child mortality in rural and urban areas of Bangladesh
| Cox Proportional Hazard Model | Cox Frailty Model | |||||||
| Rural | Urban | Rural | Urban | |||||
| Hazard | ||||||||
| Ratio, | ||||||||
| Determinants | HR | 95% CI | HR | 95% CI | HR | 95% CI | HR | 95% CI |
| Religion | ||||||||
| Islam(rc) | 1.000 | (0.303, 1.026) | 1.000 | (0.300, 1.018) | ||||
| Non-Islam | 0.558* | 0.553* | ||||||
| Father’s educational level | ||||||||
| No education | 2.801** | (1.218, 6.442) | 2.802** | (1.218, 6.444) | ||||
| Primary | 3.167*** | (1.424, 7.045) | 3.171*** | (1.425, 7.053) | ||||
| Secondary | 2.996*** | (1.377, 6.579) | 2.997*** | (1.377, 6.521) | ||||
| Higher(rc) | 1.000 | 1.000 | ||||||
| Number of ANC visits | ||||||||
| No visits(rc) | 1.000 | (0.472, 0.907) | 1.000 | (0.235, 0.875) | 1.000 | (0.471, 0.907) | 1.000 | (0.235, 0.874) |
| At least once | 0.654** | 0.454** | 0.654** | 0.453** | ||||
| Multiplicity of birth | ||||||||
| Single birth(rc) | 1.000 | (4.048, 9.888) | 1.000 | (4.208, 10.170) | ||||
| Multiple birth | 6.301*** | 6.542*** | ||||||
| Child size at birth | ||||||||
| Average/Large(rc) | 1.000 | (1.261, 3.936) | 1.000 | (1.509, 10.239) | 1.000 | (1.263, 3.946) | 1.000 | (1.515, 10.283) |
| Very small (less than 2.5 kg) | 2.228*** | 3.930*** | 2.232*** | 3.994*** | ||||
| Place of delivery | ||||||||
| Home(rc) | 1.000 | (0.103, 0.240) | 1.000 | (0.241, 0.862) | 1.000 | (0.101, 0.238) | 1.000 | (0.240, 0.860) |
| Any other medical facilities | 0.157*** | 0.456*** | 0.155*** | 0.454*** | ||||
| Number of living children | ||||||||
| 1 or 2 children(rc) | 1.000 | (0.068, 0.183) | 1.000 | (0.168, 0.581) | 1.000 | (0.065, 0.176) | 1.000 | (0.167, 0.579) |
| 3 or more | 0.111*** | 0.312*** | 0.107*** | 0.311*** | ||||
| Total children ever born | ||||||||
| 1 child(rc) | 1.000 | 1.000 | ||||||
| 2 or 3 children | 2.027*** | (1.382, 2.972) | 2.029*** | (1.383, 2.975) | ||||
| 4 or more | 8.113*** | (4.460, 14.756) | 8.413*** | (4.622, 15.311) | ||||
| Value of Chi-square 384.062 | Value of Chi-square 59.858 | Value of Chi-square 289.7 | Value of Chi-square 50.61 | |||||
| Degrees of freedom 12 | Degrees of freedom 7 | Degrees of freedom 12 | Degrees of freedom 7 | |||||
| Level of significance 0.01 | Level of significance 0.01 | Variance of frailty term 0.000529 | Variance of frailty term 0.001225 | |||||
| P-value 0.000 | P-value 0.000 | Level of significance 0.01 | Level of significance 0.01 | |||||
| P-value 0.000 | P-value 0.000 | |||||||
| [Note: rc Reference category. “*” Significance at p 0.10, “**” Significance at P 0.05 and “***” Significance at p 0.01] | ||||||||
mothers got ANC visits at least once during pregnancy period have 35% (rural; HR 0.654, p 0.05) and 55% (urban; HR 0.454, p 0.05) lower risk of dying than the children whose mother did not get any ANC visits respectively. Children born with their siblings have more risk of dying (HR 6.301, p 0.01) than the single birth children in rural areas. Child size at birth is another common significant determinant in rural, urban areas; children born with very small size ( 2.5 kg) have 2.228 times (HR 2.228, p 0.01) and 3.930times (HR 3.930, p 0.01) more likely to die than the children born with average or large sized respectively. Also, place of delivery is another significant determinant in rural and urban areas also; children born under any medical facilities have 85% (rural, HR 0.157, p 0.01) and 55% (urban, HR 0.456, p 0.01) lower risk of dying than the children born at home with the assistance of a birth attendant. The number of living children also a common significant factor of under-five child mortality in both areas; the category “3 or more” has the lowest hazard ratio (rural, HR 0.111, p 0.01; urban, HR 0.312, p 0.01) than the category “1 or 2 children”. In rural area, total children born to mother have also impact on under-five child mortality; for categories “2 or 3 children”, children have 2.027 more times risk of dying (HR 2.027, p 0.01) and “4 or more”, 8.113 more times (HR 8.113, p 0.01) than the category “1 child” respectively.
On the other hand, to estimate variability among children for risk of dying, the Cox frailty model is significant at 1% level of significance for both rural and urban areas. The heterogeneity among children in urban areas (0.001225) is higher than the rural areas (0.000529); which are minimal variability. The same determinants were found significant in the Cox frailty model for rural and urban areas respectively with a slight change in hazard ratios and 95% CI (Confidence Interval) also.
The study revealed the variables significantly associated with under-five aged child mortality in rural and urban areas of Bangladesh by employing the Cox proportional hazard model and the Cox frailty model. Over the last few years, there has been observed a declining trend in under-five child mortality in Bangladesh. There are several study work conducted previously about early childhood health, mortality associated with risk factors. Reducing the mortality rate of children indicates the level of improvement of a country and quality of life also (Mosely and Chen; 1984) [1]. In this study work, rural areas non-Muslim children have a lower risk of dying than Muslim children. Lower awareness about child-maternal health care, religious influence and superstitions lead to the higher deaths of children in the Muslim family (Nath; 2013) [2]. Father’s educational level affects urban areas under-five child mortality. The highest risk of dying (3.167 times more) was for primary educated father’s children than the children whose fathers were highly educated. i.e, there is a negative association between higher educational attainment and child (60 months) mortality. The effects on education on child mortality insight into the determinants of demographic phenomenon and father’s educational attainment is a consistent risk factor of early childhood mortality in Bangladesh (Maniruzzaman et al.; 2018, Rahman; 2019) [3, 4]. The number of ANC visits during pregnancy is a notable determinant of under-5 child mortality in rural-urban areas. The ANC is the service that provided to mother and her unborn child’s health care during the gestational period; is a vital health service that can detect, treat, prevent the factors early on in the pregnancy which the risk of mother-child mortality (Kohnt and Vollmer; 2017) [5]. The Antenatal care (ANC) coverage is very impoverished and substandard in the rural area of Bangladesh. (Garham et al.; 2016) [6]. The ANC service in the urban area is also inadequate; especially in the slum area. Due to urbanization, many women are coming from remote or rural for a better opportunity to lead life, also start living in a slum area in low-income level conditions. As a result, poverty;lower educational level and lack of basic amenities of life; health services of mother-child health during pre-post pregnancy are necessitous (Kabir and Khan; 2013) [7]. In this study work, models depicted that multiplicity of birth i.e., child born with their one or more siblings is a consequential variable of under-5 child mortality in the rural area. The risk of under-5 child death during their infancy period (0–11 months) among multiple births was significantly high and some of the findings are consistently studies in the medical literature (Hong; 2006) [8]. In developing countries, the health care system for high-risk cause on pregnancies, childbirths, afterbirths treatment is faced with problems of providing basic maternal-child health care to their population (Atiyeh; 2005) [9].
The child-size at birth is a common determinant of under-5 child mortality in both rural, urban areas of Bangladesh. Children born with average or large-sized have chance to more survive than very small-sized (2.5 kg) children. In the year of 2015 about 20 and half million newborns (approximately 15%) put up with low birth weight; were likely to die during their neonatal period (0–30 days) (UNICEF data; 2019). In developing countries, children born with lower birth-weight experiences a public health problem. Due to this reason, they suffer from some chronic health conditions, as cardio-metabolic, mental disorder and early death in infancy period (0–11 months) and adulthood (Whincup et al.; 2006–2016) [10]. From previous research work by Khan JR et al., data pulled out from MICS (Multiple Indicator Cluster Survey) 2012–2013 revealed that about 20% of babies born with low birth-weight in Bangladesh.
From this research work, it has been depicted that place of delivery (babies born in home or under any medical facilities) is a noteable variable of under-5 child mortality in rural-urban areas. Children born in medical or clinic or any under medical facilities have higher surviving than children born at home with the help of traditional birth attendant (TBA). In Bangladesh, only 35.6% of deliveries were attended by skilled birth attendants (SBAs) (Kibria et al.; 2017) [11]. The risk of dying between under-5 children is higher in rural area than urban area for babies born at home. People live in rural areas of Bangladesh get little access to health care benefits (Khandakar; 2014) [12]. The number of living children in the household is another determinant of under-5 child mortality in rural-urban areas of Bangladesh. From this research work, it has been found that there is an inverse relationship between the greater number of living children and lower risk of child deaths. A previous study work constituted that more than four living children are distinctly significant and about 99% less likely as compared with single living child of child mortality in Bangladesh (Kabir et al.; 2011) [13]. Total children born to mother are an important and highly significant determinant of rural areas under-5 child mortality. There is a remaining positive association was recorded between the number of children ever born to mother and the child deaths; because of subsequently higher fertility in Bangladesh and most of the women are from the rural areas (Chowdhury et al.; 2011) [14].
The study work was illustrated that under-5 child mortality varies due to some unobserved factors/variables/determinants that were not included in the survival model (Cox proportional hazard model). The heterogeneity among children for risk of dying sum up the effect of various unobserved biological, household facts; quality of social life; health facilities and so on. When the hazard model fails adequately to account for all the variability in the observed failure times, the frailty models then can provide a convenient alternative model. However, the aim is to found an additional parameter to the hazard rate that consider for the random frailties. Ignoring the existence of frailty will produce an incorrect estimation of parameters and their standard errors in survival analysis. Dawit G Ayele et al. studied the risk factors of under-5 child mortality on Ethiopian Demographic Health Survey-2011 data by employing the Cox model and frailty models [15]. Another recent work by Anthony I Wegbon et al. applied the Cox model to determine the risk factors of under-five aged child mortality in Nigeria [16]. Chuku Angela and Okonkwo Uju employed the Cox proportional hazard model and the Cox frailty model to find out the variables related to child (less than five years) mortality from Nigerian Demographic and Health Survey-2008 [17].
The findings of the research work have some essential policy implications and related to the steps need for Sustainable Development Goals for decline the under-5 child mortality rate and lift child survival. To reduce the under-5 child mortality in rural and urban areas in Bangladesh, need better monitoring in health programs. It is necessary to take care of the maternal-child health facilities and increase the parental educational attainment. It is needed to increase public health awareness about the cause of early childhood deaths through mass media. Due to unobserved heterogeneity that is likely to be related to under-5 child mortality which is least. To recapitulate, proper steps and strategies should be planned and targeted on focusing the improve child health outcomes, which may increase the survival rate of children and decrease the mortality rate as well.
We would like to evolve special gratitude the editor and referees whose constructive criticism led us to develop the presentation and maintain the quality of the paper. It is destined that thanks to the Department of Statistics, University of Chittagong for giving valuable opportunities to conduct the research. The authors also confess the contributions of the BDHS (Bangladesh Demographic Health Survey), NIPORT (National Institute of Population Research and Training) and ICF (Intermediate Care Facility); for their efforts in data collection and providing as the open accessed dataset.
[1] W.H. Mosley, L.C. Chen. An analytical frame work for the study of child survival in developing countries.1984, Bulletin of the World Health Organization, 81(2), p. 140–145, 2003.
[2] S.R. Nath. Exploring the marginalized: a study on some selected upazilas of Sylhet division in Bangladesh. Dhaka, BRAC, 2013.
[3] M. Maniruzzaman, H.S. Suri, N. Kumar, N.M. Abedin, M.J. Rahman, A. El-Baz et al. Risk factors of neonatal and child mortality in Bangladesh, Journal of Global Health, 8(1), 010417, 2018.
[4] M.S. Rahman, M.S. Rahman, M.A. Rahman et al. Determinants of death among under-5 children in Bangladesh, MPRA, 93511, 2019.
[5] J. Kuhnt, S. Vollmer. Antenatal care services and its implications for vital and health outcomes of children: evidence from 193 surveys in 69 low-income and middle-income countries, BMJ Open, 7(11), e017122, 2017.
[6] W. Garham, S. Woodd, P. Byass, V. Filippi, G. Gong, S. Virgo et al. Diversity and Divergence: the dynamic burden of poor maternal health, The Lancet, 388(10056), p. 2164–75, 2016.
[7] R. Kabir, H.T.A. Khan. Utilization of Antenatal care among pregnant women of Urban Slums of Dhaka City, Bangladesh, IOSR-JNHS, 2(2), p. 15–19, 2013.
[8] R. Hong. Effect of multiple birth on infant mortality in Bangladesh, Journal of Pediatrics and Child Health, 42(10), p. 630–5, 2006.
[9] G.N. Atiyeh, A. El-Mohandes. Preventable health care of infants in a region of Lebanon: Parental beliefs, attitudes and behaviors, Maternal Child Health Journal, 9, p. 83–90, 2005.
[10] P.H. Whincup, S.J. Kaye, C.G. Owen, R. Huxley, D.G. Cook, S. Anazawa et al. Birth weight and risk of type 2 diabetes: a systematic review, JAMA, 300, p. 2886–97, 2008.
[11] G.M.A. Kibria, S. Ghosh, S. Hossen, R.A.A Bashra, A. Sharmeen, S.M.I. Uddin. Factors affecting deliveries attendants in Bangladesh, BMC, 3, 7, 2017.
[12] M.S.A. Khandakar. Rural Health Care System and Patients, Satisfaction towards Medical Care in Bangladesh: An Empirical Studies, Journal of Business studies, 35(2), 2014.
[13] M.A. Kabir, A.Q. Al-Amin, G.M. Alam, M.A. Matin. Early Childhood Mortality and Affecting Factors in Developing Countries: An Experience from Bangladesh, International Journal of Pharmacology, 7(7), p. 790–796, 2011.
[14] A.K.M.A. Chowdhury, A.R. Khan, L.C. Chen. The effect of child mortality experience on subsequent fertility: in Pakistan and Bangladesh, Population Studies: Journal of Demography, 30(2), p. 249–261, 2011.
[15] D.G. Ayele, T.T. Zewotir, H. Mowambi. Survival analysis of under-five child mortality using Cox and Frailty models in Ethiopia, Journal of Health Population and Nutrition, 36(1), p. 25, 2017.
[16] A.I. Wegbom, I.D. Essi, V.A. Kiri. Survival Analysis of under-5 mortality and associated determinants in Nigeria: Evidence from a Survey Data, International Journal of Statistics and Application, 9(2), p. 59–66, 2019.
[17] C. Angela, O. Uju. Determinants of under-five Mortality in Nigeria: An application of Cox proportional hazard and Cox frailty models, IOSR Journal of Mathematics, 11(4), p. 42–46, 2015.
[18] N. Alam, H.R. Chowdhury, A. Ahmed, M. Rahman, P.K. Streatfield. Distribution of cause of death in rural Bangladesh during 2003–2010: evidence from two rural areas within Matlab Health and Demographic Surveillance site, Global Health Action, 7(1), 25510, 2014.
[19] BDHS. Bangladesh Demographic and Health Survey, 2014.
[20] R. Hong, D. Hor. Factors Associated with the Decline of under-five mortality in Cambodia, 2000–2010, USAID, 2013.
[21] J.N. Hobcraft, J.W. Mcdonald, S.O. Rustein. Socio-economic factors in infant and child mortality: A cross-national comparison, Population Studies: A Journal of Demography, 38(2), p. 193–223, 1984.
[22] D.G. Kleinbaum, M. Klein. Survival Analysis: A Self-Learning Text; third edition, New York, Springer Science Business Media, 2012.
[23] J.R. Khan, M.M. Islam, N. Awan, O. Murlink. Analysis of low birth weight and its co-variants in Bangladesh based on a sub-sample from nationally representative survey, BMC Pediatrics, 18, article number. 100, 2018.
[24] J.R. Khan, N. Awan. A comprehensive analysis on child mortality and its determinants in Bangladesh using frailty models, BMC: Archives of Public Health, 75, article number. 58, 2017.
[25] D.M. Lyall, H.M. Inskip, D.Mackay, I.J. Deary, A.M. Melntosh, M. Hotof et al. Low birth weight and features of neuroticism and mood disorder in 83545 participants of UK Biobank Cohort, BJPsych Open, 2(1), p. 38–44, 2016.
[26] J.W. McGuire. Basic health care provision and under-5 mortality: A cross-National study of developing countries, World Development, 34(3), p. 405–425, 2006.
[27] A.K. Majumder, M. May, P.D. Pant. Infant and child mortality determinants in Bangladesh: are they changing?, Journal of Biosocial Science, 29(4), p. 385–99, 1997.
[28] K.R. Risnes, L.I. Vatten, J.L. Baker, K. Jamson, U. Sovio et al. Birth weight and mortality in adulthood: a systematic review and meta-analysis. International Journal of Epidemiology, 40(3), p. 647–61, 2011.
[29] M.Z. Uddin, M.Z. Hossain, M.O. Ullah. Child Mortality in a Developing Country: A Statistical Analysis. Journal of Applied Quantitative Methods, 4(3), p. 270–283, 2009.
Ayesha Siddika Anney, MPhil in Statistics has Proficient working knowledge on Microsoft office, SPSS, R programming, STATA, Smart PLS. She has an ability to design statistical inferential models for analysis with good level of statistical knowledge. Her current research interest includes Child health and mortality, Epidemiology, Survival Analysis, Multivariate Analysis.
Soma Chowdhury Biswas, Professor in University of Chittagong, Department of Statistics at Chittagong, Bangladesh. His current research areas include Mother’s and child health, Epidemiologic and Population Models, Markov Chain, Generalized Linear model, Longitudinal Data Analysis, Survival Analysis, Inference, Multivariate Analysis. He has participated in the International Conference on “Analysis Of Repeated Measures Data” Nov 2016 East-West University, Dhaka, Bangladesh and presented ‘Depressive disorder during Pregnancy among women in Bangladesh: A Logitudinal study’.
Journal of Reliability and Statistical Studies, Vol. 14, Issue 1 (2021), 121–140.
doi: 10.13052/jrss0974-8024.1416
© 2021 River Publishers