Integration of Computer Virtual Reality Technology to College Physical Education

Yuhuan Feng1, Chong You1, Yanbing Li1, Ya Zhang2 and Qingxia Wang3,*

1UNIVERSITAS NEGERI JAKARTA Jalan Rawamangun Muka Jakarta timur DKI JAKARTA, 13220, Indonesia
2School of Medicine and Science and Technology, Zunyi Medical University, 564699, China
3College of Educational Science, Xinjiang Normal University, 830017, China
E-mail: wqx19830623@163.com
*Corresponding Author

Received 26 September 2022; Accepted 25 October 2022; Publication 01 December 2022

Abstract

The progress of the times has brought about a leap forward in people’s thinking. Under the rapid economic development environment, the physical field of young people has been unable to withstand the current teaching system, and many problems of poor physical fitness have emerged. In order to solve similar problems, to improve the physical quality of young people, it is bound to find a new teaching method different from the traditional physical education teaching in a special environment, The research on the integration of virtual reality technology and teaching has been rolling forward and never stopped in recent years. With the continuous upgrading of virtual reality technology, virtual reality devices that can be used have already joined the ranks of families. Let these virtual reality devices connect to the Internet through the WEB application settings, and then design according to different situations has become a reality. This research is an application development based on Web virtual reality technology, including network virtual reality technology, application modeling design and the use of Internet connection. With reference to this application, physical education teaching and classroom practice data, this research mainly introduces the current research situation of virtual reality technology and teaching, and establishes the model based on the integration of Web application design and virtual reality technology, Extract, including but not limited to the number of projects, activities and experiences, use the Internet of Things data upload and data processing technology to complete the data screening, obtain valuable data, and then use these data for the practical application value of virtual reality technology in physical education teaching. Complete the improvement. It is in line with the integration of modern virtual reality technology and physical education teaching to obtain data that can reflect the real situation, then conduct practical teaching, obtain reliable practical data, and evaluate teaching. It can be clearly seen from the research results that the combination of virtual reality technology and physical education teaching is of great significance to improve students’ interest in learning and enthusiasm for sports, but there are also some shortcomings, such as different teaching steps and goals will affect students’ enthusiasm for learning. Therefore, further improvement is needed to find a stable way to improve students’ enthusiasm for learning. The integration of virtual reality technology and physical education teaching is proposed.

Keywords: Virtual reality, WEB application program, Internet of Things, integration of sports and education, efficient teaching, application analysis.

1 Introduction

Virtual reality technology originated in the United States, and the United States now applies this technology to military, education, people’s livelihood, finance and other aspects. European research on WEB application equipment is particularly outstanding, and virtual reality equipment is advanced. Japan mainly uses virtual reality technology in knowledge base and virtual games [1]. There are still some gaps between the domestic virtual reality technology and the world’s developed level in some aspects, especially the connection between the combination of WEB applications and the Internet of Things in teaching. In this special environment, the development of virtual reality technology has become the top priority, which needs to be developed faster and better [2]. The development process of virtual technology is shown in Figure 1 below:

images

Figure 1 The development process of virtual reality vision technology.

Virtual reality vision technology from the concept to real use only a few years, its biggest advantage is that people do not need to make changes in real life can carry out activities in the virtual world, including sports [3]. Have long enterprise to use virtual reality technology in combination with a lot of sports development of online and offline software, but the processing capacity of the fun and the software itself has not been improved, a large part of the reason is that most of the use of virtual reality of users like to use this technique for esports, instead of exercising, so as the new era of physical education teachers have the obligation to reverse this situation to make some due contributions [4].

Web virtual reality visual technology can be integrated with the sports teaching must be a long-term, continuous process, in the process, not only need to the web virtual reality technology combined with the practical teaching, change some design need in Internet connection after the lesson plan design expressed in networking in the process of data collection, processing, feedback key technology [5]. Most students are always curious about new things. Applying virtual reality technology to physical education teaching is a revolution in physical education teaching. The interactivity, visual impact and interest divergence brought by virtual reality technology are incomparable. It can not only let students experience the expression of two-dimensional images, but also complete their real motion expression, and feel all the movement conditions of students in the virtual world, including heart rate, emotional changes and physical strength. This is very different from traditional practice, and is a very important point [6]. It can also get the trend of students’ heartbeat frequency through data analysis, stimulate students’ sports enthusiasm, improve students’ sports ability [7].

On the other hand, although the current virtual reality vision technology has been greatly improved, its Web application software and virtual reality use tools are uneven, if improper use will reduce students’ enthusiasm for use, serious may lead to students do not want to continue learning [8]. At present, the price of virtual reality visual experience equipment with good sense of experience is relatively high, which is not affordable for all students’ families. Therefore, teachers need to find equipment with high cost performance for teaching, which is relatively difficult. The continuous increase of 5G network base stations and the connection of smart phones, smart TVS and smart watches with 5G networks also increase the possibility of the integration of virtual reality vision technology and physical education [9]. Not long ago, the transmission speed and download speed of home broadband may not be able to meet the requirements of the smooth operation of virtual reality software, which often causes the phenomenon of application delay and delay, but now the unified speed up of Chinese network and the full coverage of 5G network technology also provides the possibility of the integration of physical education [10]. It meets the related requirements of data transmission, data storage and data analysis of physical education and virtual reality vision technology, and brings infinite possibilities for the expansion of virtual reality technology [11].

Vision in this paper, the computer virtual reality technology has proposed new requirements on the design of the Web application, the focus lies in integration with the sports teaching, such as classroom teaching, outdoor teaching, the interaction between teachers and students, special study, etc., and then to apply visual virtual reality technology in sports class and record the relevant data, and then use the big data processing method of data processing [12]. Finally, this Web application is evaluated, improved, and finally returned to classroom use [13]. Starting from the requirements of sports power, this paper introduces the technical principle of virtual reality, and describes the typical cases of virtual reality in physical education teaching and sports activities. In view of the existing VR technology mode and the application of physical education teaching, this paper summarizes the possible problems in virtual reality physical education teaching and provides preliminary solutions. At present, the application of virtual reality technology in physical education teaching and sports activities is still in its infancy, and the future development needs to introduce virtual reality and 5G technology.

2 Web Virtual Reality Technology and Physical Education Integration Application Design

Web virtual reality vision technology can break the shackles of traditional offline education mode. It can provide more possibilities for interaction between teachers and students through the linkage of the Internet, allow students to freely explore the mysteries of the web virtual reality world, provide more exciting senses, and stimulate students’ enthusiasm for sports [14].

On the market at present there are a lot of virtual reality technology, virtual experience also appeared a variety of equipment, but its price is not suitable for the students physical education, so the Web application design will be based on virtual reality technology and reliable on the market, the price is not expensive, virtual reality technology and equipment design, finally choose the kind of simulator is patch.

2.1 Design of Basic Running Model of Web Virtual Reality Application

The basic framework based on virtual reality vision technology should ensure that “physical education” is the main body, rather than a simple “game”, so most of the mode design should be based on physical education [15]. The basic framework of its design is: First by teachers to the output of the concept of sports let students in the virtual world of the knowledge of different sports and its related, such as the teachers at the time of introduction of tennis sport, requires teachers to start from the development history of tennis, and then introduce celebrities in the history of tennis, finally say the benefits of tennis sport, and then warm up before you start, And then you start moving, and that’s just the first step.

Students can practice in random teams during a particular sport, much like students playing virtual reality games at home, except that the Web application is set to: According to the heartbeat rhythm of students, the transmission of scalp nerve signals, the shaking of equipment to judge whether the students are really in motion, but also to judge the intensity of students’ exercise, so that we can more accurately grasp the real situation of students [16]. In this condition will be set some warning system, such as application, through the collection of data to judge the students didn’t study action, exercise intensity is not up to standard, at this time the Web application will encourage students to real movement, students adequate punishment for offenders, such as increasing movement time, after-school sports, and so on. This is the intermediate system of the basic framework. In the process of practice, teachers should grasp the time of each link and the corresponding exercise intensity, so as not to bring psychological burden to students and affect the future teaching.

The real-time data of the operation can be accurately obtained by the sensor tracking equipment and displayed in the calculation results. Being able to obtain accurate real-time data is the biggest advantage of this technology, and the operation can be reproduced by simulation, and then revised and designed on the computer or data, so as to ensure the scientific and authenticity of the training. The general outline is shown in Figure 2 below:

images

Figure 2 Application model diagram of web virtual reality vision technology.

2.2 Model Improvement Under Internet of Things Contact Rules

The application and development of the integration of web virtual reality technology and physical education teaching can not bypass the contact law of the Internet of things, and the model mentioned above needs to be refined. Teachers need to process and divide the classroom content before class, and these actions need to be in line with the Internet of things contact rules. The Internet of things is a crucial link in the web virtual reality vision technology [17]. It undertakes the responsibility of connecting all students and teachers. Decompose this part of the plan through virtual reality technology, and then start lectures on this part of the virtual content, such as adding touch systems and “people” in virtual reality, which treat students as a certain role and immerse them in a certain story from a third angle. By collecting and disseminating data through the Internet of things, students can truly feel that web virtual reality visual technology can not only be enjoyed alone, but also have more fun with others.

Then there is the refinement of the course guidance. The course guidance should not be rigid and should focus on the students’ athletic nature. For example, add some interesting interactive links in the course, do some short time but can stimulate students’ enthusiasm for sports games; It can also lead the students to participate in a major sports event, such as the Olympic Games, which requires teachers to actively prepare before class and have a relatively rich knowledge of sports [18]. The computer-based virtual reality vision technology not only enables students to see reality with their own eyes, but also enables students to listen to reality through sound technology. Physical education teachers need to combine virtual reality technology to make students feel more shocking pictures and pleasant sounds, and change the expression of physical education teaching content through virtual imaging technology. The result can show the attraction of physical education to students. The teaching content in this aspect needs to be changed. Physical education teachers need to learn new knowledge and change.

The last one is a refinement of the after-school assessment [19]. Virtual reality visual technology while be able to complete the movement to the student through normal data substitution classroom assessment, but the limitation of their data collection received operation rules, can’t play a most important role, so in the process of assessment after class requires some teachers be set evaluation method, such as setting the heart rate, amount of exercise, such as frequency threshold limit and lower limit, If it is below the lower limit, it is considered invalid exercise, and the amount of exercise should be increased after class [20]. If it is above the upper limit, the amount of exercise in the next class should be reduced moderately. These judgments need to be collected by virtual reality vision technology, which is an important means of physical education integration. In the process of data collection, there are often unequal amounts of abnormal data, which are very unfavourable to the integrated teaching of physical education [21]. Based on the Internet of things contact rules, the abnormal data algorithm of web virtual reality technology is updated, and this algorithm can run stably under the Internet of things contact rules.

XM=W-2.3Wmin ifW160 (1)
XM=W+3.2Wmin ifW110 (2)
delete[XM] ifW100orW190 (3)

Where XM is the input value of students’ heartbeat frequency; W is the collected value of students’ heartbeat data.

3 Teaching Scheme Design of Physical Education Integrated with Web Virtual Reality Technology

3.1 Design of Physical Education Teaching Scheme Frame Combined with Web Virtual Reality Technology

The design basis of virtual reality visual technology and physical education integration includes teaching project foundation design, teaching syllabus design, teaching process refinement design and teaching integration and expansion design. Its root lies in the traditional sports teaching basic content combined with virtual reality technology, virtual reality technology will be required to express the content of sports education planning, can appear in the process of teaching theory and teaching practice is not consistent, the teachers in front of the foundation design should be according to the expression of visual virtual reality technology to modify their teaching outline, Make it conform to the teaching idea under the new era [22].

First of all, the basic design of teaching projects is introduced. The purpose is to clarify the integrated teaching categories of physical education, such as teaching tai chi, basketball, volleyball, sprint, long-distance running and other different projects, which need to be integrated with virtual reality visual technology according to the characteristics of each project. The key point is how to show the goal and task of physical education in virtual reality vision technology. The performance and parameters of the equipment shall meet the visual effects required by the physiological safety of teenagers, and protect the physiological and psychological health of teenagers. At the same time, physical security facilities shall be established within the scope of VR equipment to prevent users from crossing the border and causing personal injury to themselves or others. In view of the content problem, diversified design should be carried out for the scenes required by physical education teaching.

The second is the refinement of the teaching process. Virtual reality based on computer vision technology and the teaching process of sports teaching fusion refining requires teachers to impart knowledge they want to arrange, you first need to the use of virtual reality technology in the classroom situation, including the flow scheme of the application of virtual reality technology, virtual reality technology of operational norms, sports teaching difficult point, Then gradually familiar with the use of virtual reality visual technology Web applications, from which to find innovative technology points and the actual teaching fusion. This refinement process is tedious and difficult. For teachers who are new to virtual reality visual technology teaching, it is difficult to complete this series of operations in a short time, so teachers need to actively explore the use function of the application instead of copying it.

The last point is the teachers should be finished based on virtual reality technology knowledge extension of sports teaching integration, because then the process of teaching the students psychological dissimilation, infinite amplification, many teachers to the students of this, led to the students’ interest in learning is falling, finally the students probably just to feel the virtual reality games and have a class, I lost my original heart. Teachers’ teaching expansion requires that teachers have a large amount of knowledge system, can constantly use innovative teaching methods within the scope of the teaching syllabus, and constantly deepen their teaching content, so that they can gradually accumulate bit by bit and form their own virtual reality visual technology teaching methods. The specific flow chart is shown in Figure 3 below:

images

Figure 3 Schematic diagram of the boot framework.

3.2 Physical Education Program Design Combined with the Internet of Things

Based on the previous section, this section will start with the basics of the teaching scheme.

The first step is to improve the specific content of the syllabus. Teachers need to understand the specific Web application usage specifications, combined with their own syllabus to modify and improve. For example, in the virtual reality teaching of tennis, although virtual reality can provide diversified scene design, it can only be used according to the teaching needs of teachers. If the virtual scene is not consistent with the theme of the teaching syllabus or there are some consistent scenes, it is not feasible. The collection of students’ movement data, sensitivity reaction and virtual reality visual technology communication in the stage of achievement presentation are all complex, which need teachers to improve according to their own teaching syllabus [23].

Second, although the virtual reality technology to capture motion response to the students, also can carry on the preliminary evaluation of the data, but its evaluation standard should be according to the different sports programs and use different standards, when designing the teachers need to collect a lot of practice data to ensure the authenticity of the data collection. It is difficult for students to obtain interesting learning content. In high-difficulty sports activities, the essentials of action are difficult to interpret, and sports personnel are prone to injury due to wrong sports. However, through such training, they can better integrate with virtual reality technology, reflect more active classroom relations without destroying the integration method of virtual reality technology and physical education, and virtual reality technology also requires teachers to constantly change their communication with students or between students, The method cannot be limited to only one aspect of virtual reality.

The physical education design based on virtual reality vision technology should pay more attention to how to integrate and how not to destroy students’ interests on the basis of the integration.

The last point is how to extend the teaching to students. The principle of expansion is: on the basis of not breaking the original education system, using teaching methods more suitable for virtual reality vision technology to teach students. For example, in the process of teaching, teachers need to evaluate students’ actual sports conditions, and then carry out competitions. In the process of competitions, students’ interests and hobbies are improved, and the results of virtual reality technology can be shared. However, in the general teaching process, although many teachers can provide excellent teaching managers, they ignore the autonomous will of students in the process of development. In most cases, students are more willing to achieve the effect of exercise by their own ability rather than teachers’ supervision. The process is shown in Figure 4 below:

images

Figure 4 Design of practical teaching plan.

Virtual reality based on computer vision technology the body teach sports teaching under the fusion of technology still has a long way to go, not only will improve the teaching design can grasp the classroom, teachers need to continue to supplement to learn new knowledge and new teaching methods, teaching in the teaching process can quickly adapt to, quickly grasp the students’ psychological characteristics of the teaching. Instructional design is not only the forerunner of classroom, but also a tool and guarantee for teachers to improve classroom effect. Instructional design combined with virtual reality technology should be paid more and more attention.

4 The Application of Web Virtual Reality Technology and Physical Education Teaching

The previous chapters designed the application framework of Web Virtual Reality Technology in physical education teaching, and also improved the model based on the Internet of things contact rules. The content of this section will be applied in practice using the model design and lesson plan design completed in the previous chapters. This process uses different web virtual reality models, but all conform to the Internet of things contact technology. Improve the diversity of data, provide more improvement references for web virtual reality technology, and get different analysis results through Internet of things technology [24]. Although the web virtual reality vision technology can not provide a real environment, it can provide more scene choices through the Internet of things technology, provide better visual effects through data processing, and transfer information between students and teachers to complete the whole virtual reality experience. The potential of VR as a media tool lies in its ability to carefully and creatively process events and contexts and bring these elements to virtual life, guiding users to extend consciousness cognitively and emotionally in desirable ways, providing opportunities for personal and social development and change.

4.1 Physical Education Application Based on Virtual Reality Vision Technology

Through the design of virtual reality visual technology Web application, the integration of physical education teaching content, to create a perfect physical education classroom. The following take skipping rope as an example to introduce its application practice results.

The virtual reality visual technology teaching of skipping rope is designed by combining the network, and the application practice is carried out in four classes. The final classroom data are shown in Figures 5 and 6 below:

images

Figure 5 Statistical graph of students’ interest in different methods.

images

Figure 6 Interest statistics of students in the same class with different methods.

As can be seen from the figure, classes with different design schemes show different enthusiasm for sports. Virtual reality technology is used to collect students’ data, and after post-processing, it is found that there are different categories and abnormal numbers, and finally the data is screened for final reflection. The data in the figure show that different classes using the same design method will also show different trends of increasing and decreasing enthusiasm, and will have different performances in different periods of time. It is likely that the students’ collective feelings are different during this process, and their attitudes towards virtual reality have been changing. However, in general, the sports enthusiasm of the classes without the extended instructional design is significantly lower than that of the classes with the extended instructional design. From the figure, on the other hand, we can also find that most of the students as the teachers’ teaching pace forward, but in the process there will be a part of the students can’t keep up with rhythm, which is probably the students in the process of attention was attracted by other ways, unable to keep synchronization with the teaching content, this aspect needs to be improved.

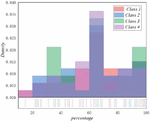
The above is the analysis of students’ enthusiasm and attention in class. Next, we will use different teaching steps and different teaching objectives to collect the data of application practice in the teaching of the same sport (rope skipping). The result is shown in Figures 7 and 8 below:

images

Figure 7 Influence of different steps on students’ interest.

images

Figure 8 Influence of different learning objectives on students’ interests.

According to the results shown in Figures 7 and 8, most students have a great influence on different teaching steps, and the most important influence is students’ learning enthusiasm. That is to say, in the process of the integration of virtual reality vision technology and physical education, special attention should be paid to the planning of teaching steps. Even if the steps of the same sports project are changed, it will also affect the learning enthusiasm of students. The data results shown in the figure can clearly show that different teaching goals have a great impact on students’ interest in learning. If the teaching goals are set too high, it is likely that students will lose interest in learning because they can not achieve their goals in the process of teaching. However, if the teaching goals are too low, it may cause confusion in the classroom rhythm. Once it is found that learning can not keep up with the teaching rhythm of teachers, students will react obviously. This is in line with the traditional teaching concept and needs to be changed. The process of improvement requires teachers to change teaching objectives through continuous practice and set different teaching objectives according to different classes. Better results may be obtained after completion.

On the other hand, when students use virtual reality technology in class, whether students are allowed to open student-student dialogue, whole-member dialogue, student-teacher dialogue and not dialogue on the impact of learning results also need to be discussed. Its data are shown in Figures 9 and 10 below:

images

Figure 9 Influence of different degree of classroom openness on students’ interest.

images

Figure 10 Density statistics of different degrees of openness.

The above two figures clearly show the influence of different degrees of classroom openness on students. Among them, it is the most appropriate to open the dialogue between students and teachers, which can not only improve the interaction of class but also stop students from talking to each other. However, the application practice class using the full-screen dialogue function can not avoid the disruption of classroom discipline.

According to the data in the figure, no matter which kind of different channels are used in any class, different results will be obtained. This is actually an unavoidable individual difference. Students in each class are different, and different students have different gaps in their treatment of virtual reality. In the process of mining such ideas, it is impossible to avoid the attitudes of different students towards different channels. For these abnormal data values, real data can be obtained by using the abnormal data removal method described in the above chapter, but it is not desirable to obtain perfect student data in this process. Teachers should not have self-doubt in virtual reality technology and practice, but should not forget their original aspiration, use the core values of pedagogy to play every teacher’s due sense of responsibility, responsible for every student.

The practice of the new technology process is difficult and complex, especially based on computer virtual reality technology and the fusion of sports teaching vision, cannot avoid to produce new problems in class, the teachers will find that the traditional education concept of virtual reality teaching can’t comprehensive, even very good teachers of traditional teaching can not avoid the production of abnormal data, This is why we should build the teaching framework, practice and application, improve measures, and finalize the draft. Even the final draft needs to be perfected step by step and improved little by little. Teachers should not be discouraged in this process, and should grasp the nettle and reach the peak forever.

To sum up, different designs will bring different results, and we need to improve these results

4.2 Improvement of Internet of Things Contact Rules on Web Virtual Reality Technology in Physical Education Teaching

In this section, we will improve the application of web virtual reality vision technology in physical education through the Internet of things connection technology. It mainly focuses on the design of teaching plans, the contact rules of the Internet of things, and the improvement of web virtual reality visual technology. The first is to improve the computer based virtual reality vision technology of the extended curriculum design. Expand the improvement of the curriculum design must be able to meet the original teaching system, you can use the virtual reality technology in the conversion to achieve different scene, such as students jump rope movement can be in the case of beautiful, also can be in the cold outdoors, increase the interest, of course, this is not the teaching main body, only to exercise the students mind.

On the other hand, if teachers can unify the virtual reality software used by students, the validity of data will be greatly improved. Different VR products will focus on different things, but it is likely that this will not be done in all directions. Because students come from different sources and not all students come from the same area or city, teachers can work with manufacturers to achieve this goal, of course, the ability of the teachers themselves may not be able to achieve the goal of batch purchase, at this time requires teachers and schools, corporate communications, open batch purchase path by means of cooperation, this method not only can bring a certain class better teaching experience, also can promote the reform of school potential ability and the cooperation between colleges and bring new opportunities and development.

The second is to change the design of teaching steps. The design of teaching steps cannot be achieved by a single improvement, which requires teachers to continuously improve the details in the process of teaching, constantly add or delete some steps, and judge whether the improved steps meet the needs of students from the reaction of students. This is easier because virtual reality collects data on students’ movements. Of course, the initial design of teaching steps is based on the traditional teaching design, and the results obtained in different teaching processes are also different.

The last improvement is the openness of the classroom. The openness of the classroom needs to be improved both in the traditional classroom and in the classroom with virtual reality technology. In the past, most of the teaching classes in real life do not allow students to communicate with each other, which can only be carried out at a specific time and place. However, in the physical education teaching integrated with virtual reality vision technology and physical education, it is likely that interactive teaching at a specific time and place cannot be achieved because of technical reasons, which needs to be improved according to students’ self-consciousness and teachers’ classroom control ability. It is the use of full frequency band communication, student to student communication, student to teacher communication need to constantly run in and decide [25].

To sum up, based on the technology of computer virtual reality visual fusion body teaches PE teaching into practice is a new challenge, need in the era of countries continue to promote the reform of teaching, teaching reform, teachers must take the lead, increase its just reserve liang, improve their own skills learning basis, at present the special situation of specialized study, Develop effective and practical teaching methods, so that virtual reality vision technology and physical education can be integrated. This study only represents the results of this data collection. If there is anything wrong, teachers are welcome to communicate with our team.

5 Conclusion and Prospect

Now, We are in an era of rapid technological development. The integration of high-tech and education has become the main trend of educational reform. Among them, the application practice of Physical Education under the integration of physical education and education based on Web Virtual Reality vision technology has been focused, and the use of the Internet of things has also become the focus of development. This is because the country has put forward new requirements for the physical and mental health development of students. The education of students is no longer a single cultural development, but more important is the all-round development of morality, intelligence, physique and beauty, of which physical education teaching bears the brunt.

By introducing the development of web virtual reality vision technology and its impact on education, the article leads to a new direction of the integration of web virtual reality vision technology and physical education teaching. Then, by building a web virtual reality vision technology application model and using the Internet of things contact rules to improve the web virtual reality vision technology application model, the basic framework is completed. The teacher’s teaching plan is changed and the improved web virtual reality vision technology application model is completed to fill the content. After it is used in practice, the Internet of things data transfer technology is used to improve the application. The results show that web virtual reality technology can not only play its important teaching role, but also obtain students’ classroom data through the data communication technology of the Internet of things, so that teachers can better grasp students’ dynamics and complete teaching reform.

The integration of virtual reality technology and physical education teaching is an important direction. The integration of virtual reality technology and other teaching is also an important development path, such as the integration of virtual reality technology and teaching of mathematics, physics, art, music and other different subjects. Its development road still has a long way to go. The future teaching is likely to be completed online, and will not be worse than the traditional teaching efficiency, teaching quality. Teachers work together to expand their knowledge to meet the new era. The equipment foundation of virtual reality technology is also a matter of concern not only to the education sector but also to other industries in China in the future. Teachers should break the traditional teaching, improve their knowledge system, give play to their teaching strengths, and combine with virtual reality or other updated technologies, so as to constantly walk in the forefront of teaching.

References

[1] Ding Y, Li Y, Cheng L. Application of Internet of Things and virtual reality technology in college physical education[J]. Ieee Access, 2020, 8: 96065–96074.

[2] Li D, Yi C, Gu Y. Research on college physical education and sports training based on virtual reality technology[J]. Mathematical Problems in Engineering, 2021, 2021.

[3] Moreno-Guerrero A J, Alonso García S, Ramos Navas-Parejo M, et al. Augmented reality as a resource for improving learning in the physical education classroom[J]. International journal of environmental research and public health, 2020, 17(10): 3637.

[4] Zhang K, Liu S J. The application of virtual reality technology in physical education teaching and training[C]//2016 IEEE International Conference on Service Operations and Logistics, and Informatics (SOLI). IEEE, 2016: 245–248.

[5] Feng C. Research on the application of computer virtual reality technology in college physical education teaching[C]//Journal of Physics: Conference Series. IOP Publishing, 2020, 1648(2): 022035.

[6] Yevtuch M B, Fedorets V M, Klochko O V, et al. Development of the health-preserving competence of a physical education teacher on the basis of N. Bernstein’s theory of movements construction using virtual reality technologies[C]. CEUR Workshop Proceedings, 2021.

[7] Zhang X, Shi Y, Bai H. Immersive Virtual Reality Physical Education Instructional Patterns on the Foundation of Vision Sensor[J]. Journal of Sensors, 2021, 2021.

[8] Koekoek J, Van Hilvoorde I. Digital Technology in Physical Education[M]. Routledge, 2019.

[9] Renshaw I, Chow J Y, Davids K, et al. A constraints-led perspective to understanding skill acquisition and game play: a basis for integration of motor learning theory and physical education praxis?[J]. Physical Education and Sport Pedagogy, 2010, 15(2): 117–137.

[10] Klochko O V, Fedorets V M, Shyshkina M P, et al. Using the augmented/virtual reality technologies to improve the health-preserving competence of a physical education teacher[J]. AET 2020, 2022: 726.

[11] Klochko O V, Fedorets V M, Shyshkina M P, et al. Using the augmented/virtual reality technologies to improve the health-preserving competence of a physical education teacher[J]. AET 2020, 2022: 726.

[12] Lee H S, Lee J. The effect of elementary school soccer instruction using virtual reality technologies on students’ attitudes toward physical education and flow in class[J]. Sustainability, 2021, 13(6): 3240.

[13] Wang N. Application of Artificial Intelligence and Virtual Reality Technology in the Construction of University Physical Education[C]//2022 3rd International Conference on Electronic Communication and Artificial Intelligence (IWECAI). IEEE, 2022: 343–346.

[14] Kretschmann R. Physical Education Teachers’ Subjective Theories about Integrating Information and Communication Technology (ICT) into Physical Education[J]. Turkish Online Journal of Educational Technology-TOJET, 2015, 14(1): 68–96.

[15] Yu Y, Yan B. Research on promotion of teaching quality with a new physical education teaching mode based on virtual reality[J]. Revista Ibérica De Sistemas e Tecnologias De Informação, 2016 (E9): 46.

[16] Casey A, Goodyear V A, Armour K M. Digital technologies and learning in physical education[J]. Abingdon: Routledge, 2017.

[17] Papastergiou M. Exploring the potential of computer and video games for health and physical education: A literature review[J]. Computers & Education, 2009, 53(3): 603–622.

[18] Wang Y. Physical education teaching in colleges and universities assisted by virtual reality technology based on artificial intelligence[J]. Mathematical Problems in Engineering, 2021.

[19] Baert H. The integration of technology within physical education teacher education: Perceptions of the faculty[M]. University of Arkansas, 2011.

[20] Webster C A, D’Agostino E, Urtel M, et al. Physical education in the COVID era: Considerations for online program delivery using the comprehensive school physical activity program framework[J]. Journal of Teaching in Physical Education, 2021, 40(2): 327–336.

[21] Albar C N, Widiansyah M G, Mubarok S, et al. Application of augmented reality technology with the fuzzy logic method as an online physical education lecture method in the new normal era[J]. Indonesian Journal of Multidiciplinary Research, 2021, 1(1): 35–40.

[22] Peng X, Menhas R, Dai J, et al. The COVID-19 Pandemic and Overall Wellbeing: Mediating Role of Virtual Reality Fitness for Physical-Psychological Health and Physical Activity[J]. Psychology Research and Behavior Management, 2022, 15: 1741.

[23] Hamizi M A A B M, Mokmin N A B M, Ariffin U H B. Virtual reality technology in physical education: a systematic review in instructional design & implementation[J]. 2022.

[24] Loia V, Orciuoli F. ICTs for exercise and sport science: focus on augmented reality[J]. Journal of Physical Education and Sport, 2019, 19: 1740–1747.

[25] Wan H. Sensor Action Recognition, Tracking, and Optimization Analysis in Training Process Based on Virtual Reality Technology[J]. Wireless Communications and Mobile Computing, 2022.

Biographies

images

Yuhuan Feng (1995–), female, from Jixi, Heilongjiang, is a doctoral degree candidate, research direction: physical education, outdoor sports. Working in the School of Medicine and Technology, Zunyi Medical University, as a physical education teacher.

images

Chong You (1993–) male, from Zunyi, Guizhou Province, Doctoral degree, research direction: sports training theory and methods, physical education.

images

Yanbing Li (1982–) male, He has been teaching PE for 15 years and has been engaged in education-related research for 15 years. So far, he has completed 2 provincial and 3 municipal research project and published 12 papers on CNKI.

images

Ya Zhang (1992–) female, Zunyi City, Guizhou Province, master student, party member, lecturer, national-level rope skipping referee. Research direction: Gymnastics teaching and training theory and methods.

images

Qingxia Wang (1983–) female, She has been teaching English for 15 years and has been engaged in education-related research for 10 years. So far, she has completed 1 national, 1 provincial and 1 municipal research projects and published 2 papers on CNKI.

Abstract

1 Introduction

images

2 Web Virtual Reality Technology and Physical Education Integration Application Design

2.1 Design of Basic Running Model of Web Virtual Reality Application

images

2.2 Model Improvement Under Internet of Things Contact Rules

3 Teaching Scheme Design of Physical Education Integrated with Web Virtual Reality Technology

3.1 Design of Physical Education Teaching Scheme Frame Combined with Web Virtual Reality Technology

images

3.2 Physical Education Program Design Combined with the Internet of Things

images

4 The Application of Web Virtual Reality Technology and Physical Education Teaching

4.1 Physical Education Application Based on Virtual Reality Vision Technology

images

images

images

images

images

images

4.2 Improvement of Internet of Things Contact Rules on Web Virtual Reality Technology in Physical Education Teaching

5 Conclusion and Prospect

References

Biographies