Huff and Puff by Flue Gas for Tight Oil Recovery to Achieve Sustainable Energy Future

Xu Chen1, 2, Zubo Zhang1, 2, Qingjie Liu1, 2, Linghui Sun1, 2, Hanmin Xiao1, 2, Jian Gao1, 2 and Hao Kang3,*

1State Key Laboratory of Enhanced Oil Recovery, CNPC, Beijing, 100083, China
2Research Institute of Petroleum Exploration and Development, CNPC, Beijing 100083, China
3Polytechnic College, College of Engineering, Hebei Normal University, Shijiazhuang 050024, China
E-mail: haokang@hebtu.edu.cn
*Corresponding Author

Received 03 October 2022; Accepted 23 October 2022; Publication 31 January 2023

Abstract

Due to its distribution and reserve characteristics, tight oil has become one of the main targets for future oil and gas exploration. The use of waste flue gas for oil displacement can not only reduce carbon emissions but also enhance oil recovery, which is a technology with great prospects nowadays. In this paper, the pore structure of the tight reservoir core was first characterized by scanning electron microscopy and casting thin section test. Based on these foundations, the displacement experiment was carried out on the tight oil recovery modelling platform, and the pressure distribution and recovery percent of reserves by flue gas huff and puff were innovatively characterized. Study shows that the formation pressure can be maintained in a good level by this technology and the final recovery can be improved a lot than depletion exploitation method. Therefore, the flue gas huff and puff is an effective and advanced technology for tight oil recovery. In the end, specific suggestions are also provided concerning future studies on the field application of flue gas flooding for enhanced oil recovery.

Keywords: Huff and puff, flue gas, tight oil, sustainable development, enhanced oil recovery.

1 Introduction

With the rapid improvement of human productivity, issues of climate change and energy crisis have become increasingly prominent. Global warming has triggered many disasters, such as extreme disastrous weather, ocean acidification, forest fires, food production reduction, permafrost melting, epidemic raging, social and economic threats and many other disasters. Wang et al. provide good suggestions from aspects of energy structure adjustment, industrial upgrading, formulation of carbon emission policies and strengthening international cooperation, and they call on the whole society to take practical actions to achieve the goal of carbon neutrality as soon as possible [1]. Through analysis of related materials, Wang et al. pointed out that climate change has a negative impact on human physical and mental health. The threat of malnutrition, climate-sensitive diseases and premature death is increasing, which will affect more and more countries and regions in near future [2]. Concerning the study on energy crisis, by analyzing the causes of the European energy crisis since the second half of 2021, Lv suggested that the EU should bring nuclear energy and natural gas back into the category of green energy. At the same time, it is pointed out that energy transformation should proceed from the national conditions, rely on the market and the government at the same time, so as to establish a diversified international energy cooperation pattern, in order to promote the continuous development of traditional energy and green energy, and avoid the occurrence of energy crisis [3]. Han analyzed the characteristics and influencing factors of energy market fluctuations since 2021, and pointed out the direction and suggestions for better promoting low-carbon energy transformation [4].

Generally speaking, in the face of the dual pressures of climate change and energy crisis, many scholars have proved that sustainable development has become an inevitable choice for human society. Yu discussed the great significance of scientific and technological progress in environmental protection. Then, taking China as an example, he points out the problems in the current scientific and technological work of environmental protection and how to promote the implementation of sustainable development strategy through the progress of science and technology [5]. By analyzing the severe situation of China’s mineral resources development at the present stage and the necessity of developing circular economy, Yu put forward the mineral resources development and management measures that meet the requirements of China’s sustainable development which can be some good reference for the world [6]. Lv pointed out that the implementation of sustainable industrial development strategy is the correct grasp of the direction of urban industrial development. The effective implementation of this strategy is of great practical significance for the realization of sustainable human development [7].

Up to now, many scholars have put forward good suggestions for sustainable development through technological innovation from their own professional point of view. Prajapati et al. conducted transport modelling from a new point of view: travel time budget concept was used in a TIMES modelling framework. Result provides good suggestion for the investment to ensure a good future in Kathmandu valley [8]. Ma et al. analyzed the difference between rural areas and urban areas in infrastructures, tourist introduction platforms, tour guide services and so on. They designed a tourism information service system for sustainable development of rural areas based on SOA technology framework to provide tourists with better services [9]. Xie et al. propose a space vector pulse width modulation algorithm for simulation of electric transmission system. Through their study efforts, harmonic content is finally reduced and the efficiency of electric transmission system of new energy vehicles is improved [10].

Therefore, in the face of the challenges brought by climate change and energy crisis, how to promote sustainable development through technological progress has become an inevitable choice for human beings to face the future.

2 Research Background

Tight oil has been paid attention to by many researchers because of its wide distribution, resource characteristics, and its good development prospects. Based on data statistics, Zhou et al. analyzed the development status and prospects of shale gas and tight oil in the United States from the perspective of resource distribution, reserves and operation strategies [11]. Considering that oil and gas in source rock series have become the main component of unconventional oil and gas reserve increase and production increase in China, Zou et al. analyzed the resource types and basic geological formation conditions of oil and gas in source rock series, and pointed out the direction for promoting the “leapfrog” development of oil and gas field in source rocks series [12]. Li et al. used pre-stack elastic parameter inversion to realize high-quality reservoir prediction, depict the development of fractures of different scales, and realize the “sweet spot” prediction of Xu-2 gas reservoir on the basis of high-precision high-quality reservoir prediction and fracture detection. The effects have been verified in the implementation of development and evaluation wells [13].

However, tight oil and gas resources have also encountered many challenges in the process of exploitation. Difficulties are mainly manifested in improving the effective utilization rate of reserves, stabilizing single well production, supplementing formation energy and improving development efficiency. Flue gas is a gaseous substance produced by the combustion of fossil fuels such as coal, which pollutes the environment. If it is released into the atmosphere, it will cause great pollution to the environment. At the same time, if it is injected into oil and gas reservoirs as a displacement medium, it will not only improve oil recovery, but also play a role in protecting the environment, which is conducive to the sustainable supply of energy. In order to clarify the mechanism of improving shale adsorption gas recovery by flue gas injection, Yan et al. carried out adsorption experiments by using nuclear magnetic resonance testing method, and evaluated the adsorption capacity of target reservoir shale. The study provides theoretical guidance for efficient and rational development of shale gas in Ordos Basin [14]. Han et al. studied the mixing of carbon dioxide (CO2) with flue gas based on the three occurrence States of coalbed methane in coal seams. The optimal mixing ratio of CO2 with flue gas enables the injection of the mixed gas into the coal seam to achieve the dual purposes of improving the recovery of coalbed methane and burying CO2 underground [15]. Aiming at the problems of difficult gas injection and low oil displacement efficiency in S358 high pour-point reservoir, Chen et al. carried out indoor gas injection phase behavior and long core displacement mechanism experiments. Through PVT phase behavior experiment of high pour point oil injection under formation conditions, the contact characteristics and mechanism of CO2, dry gas, flue gas and oxygen-reduced air (N290% + O210%) with high pour point oil are analyzed respectively, and the type of injection gas is optimized. The research results can provide an experimental basis for the efficient development of high pour-point oil in the S358 block [16]. Deng has developed a ternary copolymer (PNCAS) for high temperature flue gas flooding with integrated profile control effects. On this basis, the dual-tube parallel displacement and microscopic visualization experiments were carried out, and the performance and influencing factors of the foam agent were evaluated. The research results have a certain reference value for the development of heavy oil by flue gas assisted thermal recovery [17]. In order to solve the problems of serious injection steam overlap, large heat loss and low oil-steam ratio in the middle and late stages of Steam Assisted Gravity Drainage (SAGD) development, Zhao carried out experimental studies in the laboratory using high-pressure physical property analyzer, proportional physical simulation system and other devices. The results show that the injection of flue gas can effectively reduce the viscosity of crude oil and increase the volume coefficient and elastic energy of crude oil. Compared with the conventional SAGD mode, Zhao’s study proves that the flue gas-assisted SAGD mode is a feasible way to improve the development effect in the middle and late stages of SAGD development [18]. Based on the geological characteristics of a heavy oil reservoir in Bohai Sea, Li et al. studied the enhancement effect of chemical injection and flue gas stimulation on heavy oil thermal recovery during steam flooding by means of physical and numerical simulation. The results show that after the flue gas is added for enhanced thermal chemical flooding, the thermal insulation and energy enhancement of the gas and the profile control and oil displacement of the foam can greatly expand the thermal swept area of the reservoir and improve the oil recovery [19].

In this paper, the pore structure of the tight reservoir core was characterized by scanning electron microscopy and casting thin section test. Then, the displacement experiment was carried out on the tight oil recovery simulation platform, and the pressure distribution and recovery percent of reserves under the condition of flue gas huff and puff were characterized. The effectiveness of huff and puff by flue gas for enhanced tight oil recovery is therefore evaluated in this experimental study.

3 Experiment Evaluation

3.1 Core Processing and Physical Property Parameters

Because it is difficult to get the actual reservoir core, the tight oil outcrop in Changqing Oilfield was collected and processed into a long core with full diameter, and its air permeability was measured to be 0.261 mD. The specific parameters of the experimental core are shown in Table 1 below.

Table 1 Physical parameters of experimental core

Type of Experiment Flue Gas Huff and Puff
Gas permeability (mD) 0.261
Kerosene permeability (mD) 0.0838
Ratio of gas/liquid permeability 3.1
Core porosity (%) 10.3
Pore volume (mL) 757.7
Core volume (cm3) 7389.8
Core length (cm) 100
Core diameter (cm) 9.7

images

Figure 1 Real photos of full diameter core for experiment.

3.2 Core Pore Structure

(1) SEM characteristics of experimental cores Through SEM test, the microscopic pore structure, mineral and clay morphology of the outcrop core are shown in the figure below.

images

Figure 2 Core SEM image.

(2) Characteristics of casting thin section of experimental cores Grain contact characteristics, interstitial characteristics, pore structure and coring core of outcrop core are shown in the figure below.

images

Figure 3 Core casting thin section image.

The casting thin section and scanning electron microscope show that the illite is mainly filamentous and foliaceous, and the honeycomb montmorillonite can be seen locally. Calcite mainly occupies the residual intergranular pores by filling the pores, which plays a key role in reservoir compaction. Brittle minerals and rock debris are broken and fractured under compaction, such as feldspar grain fracture. Plastic debris, such as mica and argillaceous rock, is distorted, swelled and deformed by the pressure of overlying strata, and occupies intergranular pores, resulting in the loss of some primary pores and a sharp decrease in permeability.

images

Figure 4 Full-diameter long core tight oil exploitation simulation platform.

3.3 Experimental Equipment and Procedure

Because there is no mature experimental industry standard for reference, the experimental process and method are independently designed in this study. The specific real photo is shown in Figure 4: In order to meet the extremely low flow metering, the Quzix 5200 series pump is used, with a volume resolution of 10-6 mL. A 1-meter-long full-diameter core holder is used, along which seven pressure measuring points are arranged at equal distances from the inlet end to the outlet end, and the core pressure change is monitored in real time by sensors.

The experimental platform has the following characteristics:

• Full-diameter long core: increase the pore volume (800 ml) and seepage area, and reduce the systematic error.

• Active oil with dissolved gas: a true reflection of the mechanism of depletion production and the influence of pressure coefficient.

• Multiple pressure measuring points: monitor the dynamic change of the displacement medium.

• Exploitation method: depletion exploitation and flue gas huff and puff.

• High temperature and high pressure: simulated reservoir conditions (Pmax = 70 MPa, Tmax = 150C).

• Data acquisition and measurement: automatic data measurement and acquisition, remote monitoring and control.

In the experiment, the simulated overburden pressure is 46 MPa, the experimental temperature is 65C, the initial formation pressure is 16 MPa, the dissolved gas-oil ratio is 93 m3/m3, and the core permeability is 0.261 mD. The original formation pressure is reduced linearly from 16 MPa to 6 MPa in 24 hours, with a pressure reduction gradient of 0.417 MPa per hour. After the bottomhole pressure is reduced to 6 MPa, the first round of “puff” test of flue gas is carried out, the “puff” gas pressure is 16 MPa, and the soak time is 10 hours; then the first round of “huff” test is carried out, after 24 hours of production, the bottomhole pressure is reduced to 6 MPa. The second, third, fourth and fifth rounds of huff and puff tests are carried out in the same way. The characteristics of pressure, gas production and production degree of depletion production and multiple rounds of huff and puff were obtained.

4 Results

4.1 Pressure Distribution Characteristics of Depletion Production and Multiple Rounds of Huff and Puff

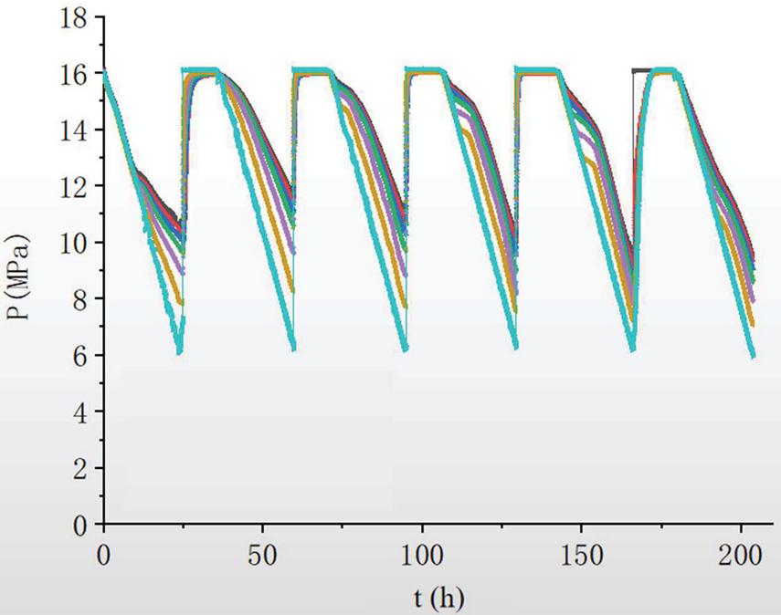
The total pressure characteristic curve of depletion production and multiple rounds of huff and puff is shown in Figure 5 below.

images

Figure 5 Pressure of depletion production and multiple rounds of huff and puff.

It can be seen from Figure 5 that the pressure characteristics of depletion production are obvious in two stages. When the pressure is 12.2 MPa higher than the saturation pressure, the pressure along the path of depletion production is characterized by single-phase flow, and the pressure along the path of fluid decreases linearly with time; when the pressure is lower than the saturation pressure, there is an obvious increase in pressure difference, and the flow resistance of oil and gas phase increases. In the process of “huff”, the closer to the outlet, the faster the pressure release; when the “huff” time reaches about 10 hours, the pressure curve of each point is linear, and the pressure release speed is basically the same. The “huff” process of each round was similar to that of the first round. In each round, the fluid pressure along the way decreases with time, while the pressure difference increases obviously, and the flow resistance of oil and gas phases increases; with the increase of rounds, the pressure difference decreases, and the flow resistance of oil and gas phases decreases.

The pressure maintenance coefficient is defined as the ratio of the integral area of the pressure and the length axis of the long core along the seepage direction at different times to the integral area at the initial time, which is expressed by ηP. The calculation equations and schematic diagram are shown below.

ηP=0LPt(x)dx0LPoidx×100% (1)

images

Figure 6 Schematic diagram of pressure maintenance coefficient calculation.

The pressure maintenance coefficient of depletion production and multiple rounds of “huff” is shown in Figure 7 below. With the increase of exploitation time and rounds, the pressure maintenance coefficient shows a downward trend. At the beginning, the pressure maintenance coefficient of each round is higher than that of depletion production; with the increase of production time, the pressure maintenance coefficient of the second, third, fourth and fifth rounds is lower than that of depletion production.

images

Figure 7 Pressure maintenance coefficient of depletion exploitation and multiple rounds of “Huff”.

4.2 Gas Production Characteristics of Depletion Exploitation and Multiple Rounds of Huff and Puff

The total gas production characteristics of depletion production and multiple rounds of “huff” are shown in Figure 8 below. With the increase of huff and puff rounds, the gas production of each round increases gradually, and the growth rate decreases gradually, but it is greater than the gas production of depletion production.

images

Figure 8 Gas production characteristics of depletion exploitation and multiple rounds of “Huff”.

4.3 Recovery Degree Characteristics of Depletion Exploitation and Multiple Rounds of Huff and Puff

The characteristics of depletion exploitation and multi-round “huff” recovery degree are shown in Table 2 and Figure 9 below. The recovery percent of reserves in depletion exploitation is 12.8%, and the recovery percent of reserves in each round decreases from 5.2% to 1.0%, and the cumulative recovery percent in five rounds is 11.9%.

Table 2 Gas production characteristics of depletion exploitation and multiple rounds of “Huff”

Type Gas Kerosene Ratio of Core Pore
of Permeability Permeability Gas/Liquid Porosity Volume
Experiment (mD) (mD) Permeability (%) (mL)
Flue gas huff and puff 0.261 0.0838 3.1 10.3 757.7
Core volume (cm3) Core length (cm) Core diameter (cm) Depletion (%) Recovery degree of 1st round (%) Recovery degree of 2nd round (%)
7389.8 100 9.7 12.8 5.2 2.8
Recovery degree of 3rd round (%) Recovery degree of 4th round (%) Recovery degree of 5th round (%) Cumulative recovery degree of first 3 rounds (%) Cumulative recovery degree of 5 rounds (%) Cumulative recovery degree (%)
1.8 1.1 1 9.8 11.9 24.7

images

Figure 9 Recovery degree of depletion exploitation and multiple rounds of “Huff”.

images

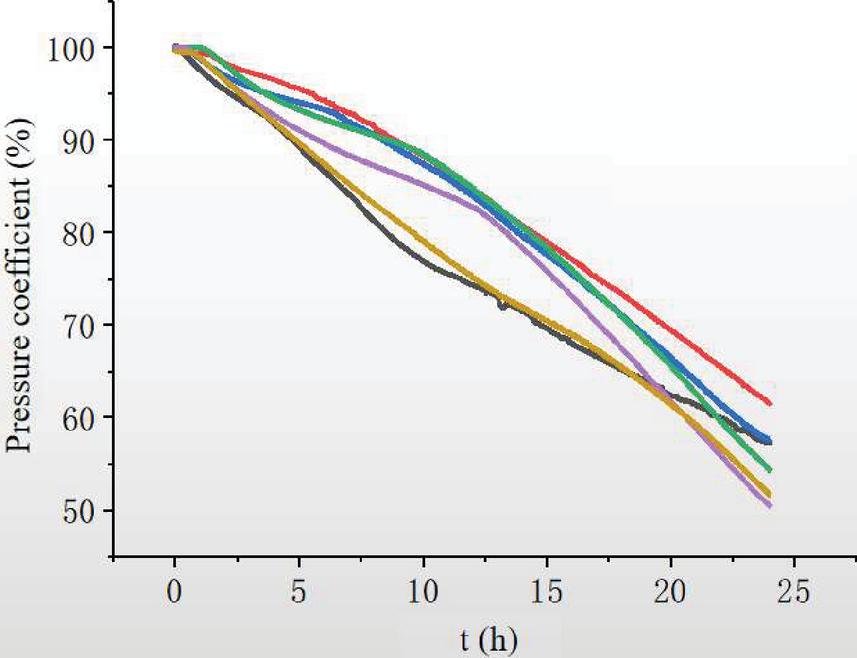
Figure 10 Relation between recovery percent and pressure variation.

The change curve of recovery percent with pressure is shown in Figure 10 below. In Figure 10, according to the position of the curve, the six curves represent the change of recovery percent with pressure in the process of depletion production, the first, second, third, fourth and fifth rounds of huff and puff respectively. The oil production pressure of depletion recovery is 16 MPa; in the early stage of each round, only gas is produced, and oil is produced when the pressure is lower than a certain value; with the increase of huff and puff rounds, the pressure at the beginning of oil production gradually decreases from 15.5 MPa to 10.0 MPa; with the decrease of pressure, the recovery degree of each round basically increases linearly, and the oil production per unit pressure drop is basically the same.

5 Discussion and Conclusion

In fact, Yan et al. have conducted in-depth research on enhancing oil and gas recovery by flue gas from the perspective of adsorption and desorption [14]. Ma et al. have already discussed the mechanism of enhanced oil recovery by flue gas flooding and the practice of flue gas flooding in Chinese oilfields [20]. The role of flue gas in enhancing oil recovery has a sufficient theoretical basis. Han et al. evaluated the mechanism of enhanced oil recovery by flue gas flooding through full-diameter core experiments, and pointed out that the injection mode, injection pressure and injection timing of flue gas are the key to the success of this technology [21]. Therefore, the displacement experiment in this paper is very necessary to evaluate the effect from the perspective of formation pressure maintenance level and ultimate recovery, which is also one of the greatest innovations in this paper.

This paper mainly evaluates the tight oil recovery by flue gas huff and puff from the aspects of formation energy conservation and recovery efficiency by means of experimental study. The use of high-temperature thermal fluids such as waste flue gas from steam injection boilers for oil displacement can not only reduce carbon emissions but also enhance oil recovery, which is a technology with great potential. In order to successfully apply this technology, it is also recommended that further research be conducted on the following areas.

The first is the study of flue gas injection mode. In fact, the flue gas can be injected into the reservoir in a variety of ways, and it can also be injected into the reservoir as an auxiliary gas with other injection agents, in which the recovery effect is quite different. Therefore, how to effectively use the appropriate injection method according to the reservoir characteristics is one of the key technologies of flue gas injection to enhance oil recovery. The second is the research of flue gas purification and dust removal technology. Flue gas contains dust and other impurities, which will pollute the reservoir and affect the productivity of the reservoir if it is not reasonably purified. Third, research on flue gas desulfurization and denitrification technology should also be conducted. Although the content of sulfides and nitrogen oxides in the flue gas may not be very high, they can combine with oxygen to form corrosive substances, thus causing serious corrosion to the injection equipment and pipelines. Therefore, it is necessary to consider and solve the corrosion problem in the process of flue gas injection.

In all, flue gas huff and puff provides useful exploration and reference in improving oil recovery, environmental protection, energy saving and emission reduction, and also meets the requirements of building the world’s leading clean energy industry. The next step is to deepen the technical experimental research and continuously improve the economic and social benefits of this technology, which will certainly help to achieve the goal of “carbon peak, carbon neutralization” as soon as possible, and thus turn the flue gas from “waste” into “treasure”.

Acknowledgments

This work was supported by Scientific Research and Technology Development Project of PetroChina Company Limited (GRANT NO.: 2019A-0911) and by Open Fund of State Key Laboratory of Enhanced Oil Recovery, CNPC (GRANT NO.: 2022-KFKT-29). We would also like to thank the editorial and reviewer panel for their input and comments.

Conflict of interest

The authors all declare that they have no conflict of interests regarding the publication of this paper.

References

[1] Yingjun Wang, Rongbo Li, Binggeng Li, Haibo Luo. ‘The Harm of Climate Change and Its Countermeasures’, Science & Technology Information, vol. 19, no. 13, pp. 92–95, 115, 2021.

[2] Yanjun Wang, Dongfang Wang, Miaoni Gao, Jingjing Shan, Buda Su. ‘The impacts of climate change on human health: interpretation of IPCC AR6 WG?’, Transactions of Atmospheric Sciences, vol. 45, no. 4, pp. 520–529, 2022.

[3] Jianzhong Lv. ‘Inspiration and reflection of European energy crisis’, World Petroleum Industry, vol. 29, no. 1, pp. 2–7, 2022.

[4] Liqun Han. ‘Main characteristics and influencing factors of current global energy crisis’, International Petroleum Economics, vol. 29, no. 11, pp. 9–15, 2021.

[5] Zhenying Yu. ‘The Significance of Advancement of Environmental Science and Technology in Sustainable Development’, Contemporary Economic Management, vol. 24, no. 1, pp. 9–13, 2002.

[6] Guang Yu. ‘Circular economy-Inevitable Choice of the Sustainable Development of Mineral Resources’, Contemporary Economic Management, vol. 27, no. 5, pp. 92–96, 2005.

[7] Kejian Lv, Panpan Duan, Ying Chen. ‘To Realize Sustainable Development Strategy the Necessary Choice of Industrial City’, Modern Urban Research, vol. 21, no. 2, pp. 11–14, 2006.

[8] Anita Prajapati, Nawraj Bhattarai, Tri Ratna Bajracharya. ‘Passenger Transport Modal Mix by Incorporating Travel Behaviour: A Case Study of Kathmandu Valley, Nepal’, Strategic Planning for Energy and the Environment, vol. 40, no. 3, pp. 231–254, 2021.

[9] Yan Ma, Jiang Du. ‘Development and Application of Rural Tourism Information Service System Based on SOA Technology Framework’, Strategic Planning for Energy and the Environment, vol. 40, no. 3, pp. 297–312, 2021.

[10] Xiaomin Xie, Renwei Dou, Yinping Yang, Jun Xie, Xuanfu Du. ‘Harmonic Analysis of Electric Transmission System of New Energy Vehicle’, Strategic Planning for Energy and the Environment, vol. 40, no. 3, pp. 279–296, 2021.

[11] Qingfan Zhou. ‘Development Status and Prospects of Shale Gas and Tight Oil in the United States’, Sino-Global Energy, vol. 26, no. 5, pp. 1–8, 2021.

[12] Caineng Zou, Zhi Yang, Dazhong Dong, Qun Zhao, Zhenhong Chen, Youliang Feng, Jiarui Li, Xiaoni Wang. ‘Formation, Distribution and Prospect of Unconventional Hydrocarbons in Source Rock Strata in China’, Editorial Committee of Earth Science-Journal of China University of Geosciences, vol. 47, no. 5, pp. 1517–1533, 2022.

[13] Yajing Li, Tiansheng Chen, Meizhou Deng. “Sweet Spots” Prediction for Super Tight Clastic Sandstone Gas Reservoirs: An Example from the 2 nd Member of Xujiahe Formation Gas Reservoir in Xinchang-Hexingchang Area’, Science Technology and Engineering, vol. 21, no. 28, pp. 12031–12039, 2021.

[14] Fangping Yan, Yongwei Guo, Xiuhua Shan, Yingchao Chen, Mengjing Cao, Huili Chu, Jing Wang, Xiaoyang Zhang. ‘Experiment on improving shale gas recovery by flue gas injection:Taking MZ Gas Field in Ordos Basin as an example’, Petroleum Geology & Oilfield Development in Daqing, vol. 41, no. 4, pp. 146–153, 2022.

[15] Jilei Han, Zongxue Zheng, Zhimin Zhao. ‘A Discussion on the Method of Improving Recovery Ratio of Coalbed Methane(CBM)by Proportional Mixed Injection of CO2 and Flue Gas’, Acta Geologica Sichuan, vol. 42, no. 2, pp. 317–320, 2022.

[16] Shijie Chen, Yi Pan, Lei Sun, Yong Si, Fei Liang, Li Gao. ‘Mechanism of enhanced oil recovery by CO2 combination flooding in low permeability and high pour-point reservoir’, Reservoir Evaluation and Development, vol. 11, no. 6, pp. 823–830, 2021.

[17] Hongwei Deng. ‘Indoor Evaluation of Foaming Agent for New High-temperature Flue Gas Displacement with Function of Profile Control and Oil Displacement’, Special Oil & Gas Reservoirs, vol. 28, no. 6, pp. 105–112, 2021.

[18] Qinghui Zhao. ‘Experimental study on the development effect of flue gas-associated SAGD’, Oil Drilling & Production Technology, vol. 43, no. 3, pp. 379–383, 2021.

[19] Zhaomin Li, Yongtao Sun, Teng Lu, Dawei Hou, Binfei Li, Songyan Li. ‘Three-dimensional physical simulation of thermochemical flooding for offshore heavy oil’, Journal of China University of Petroleum(Edition of Natural Science), vol. 44, no. 2, pp. 85–90, 2020.

[20] Tao Ma, Haibo Wang, Hongyun Shao. ‘Status quo of EOR technology development based on flue gas flooding’, Oil Drilling & Production Technology, vol. 29, no. 5, pp. 79–81, 84, 2007.

[21] Haishui Han, Shi Li, Desheng Ma, Zemin Ji, Hongwei Yu, Xinglong Chen. ‘Investigation of flue gas displacement and storage after the water flooding in a full diameter conglomerate long-core’, Petroleum Explorationa and Development, vol. 45, no. 5, pp. 847–852, 2018.

Biographies

images

Xu Chen received the bachelor’s degree in Mechanical design, manufacturing and automation in 2010 and master’s degree in Business Administration from China University of Petroleum in 2017. He is currently working at the Enhance Oil Recovery Center of Research Institute of Petroleum and Exploration Development. His research areas include petrophysics and enhanced oil recovery.

images

Zubo Zhang received the bachelor’s degree from Oil-Gas Field Development of Engineering Northeast Petroleum University in 1984. He is currently working at the Enhance Oil Recovery Center of Research Institute of Petroleum and Exploration Development. His research areas include petrophysics and enhanced oil recovery.

images

Qingjie Liu is currently working as a professor-level senior engineer at the Enhance Oil Recovery Center of Research Institute of Petroleum and Exploration Development. His research areas include new technologies and methods for enhanced oil recovery, reservoir physics and fluid mechanics, carbon dioxide flooding and geological storage.

images

Linghui Sun received the philosophy of doctorate degree from Graduate school in Chinese Academy of Sciences. He is currently working at the Enhance Oil Recovery Center of Research Institute of Petroleum and Exploration Development. His research areas include unconventional reservoir evaluation and physicochemical flow in formation.

images

Hanmin Xiao is currently working as a senior engineer at the Enhance Oil Recovery Center of Research Institute of Petroleum and Exploration Development. His research areas include tight reservoir enhanced oil recovery, tight reservoir characterization, artificial intelligence and big data application.

images

Jian Gao received the bachelor’s degree in Petroleum Engineering from Southwest Petroleum University in 1998, and the philosophy of doctorate degree in Petroleum and Natural Gas Engineering from China University of Petroleum in 2007, respectively. He is currently working at the Research Institute of Petroleum Exploration and Development, PetroChina. His research areas include exploitation and utilization of energy resources.

images

Hao Kang received the bachelor’s degree in Petroleum Engineering from China University of Petroleum in 2008, and the philosophy of doctorate degree in Petroleum Geology from Peking University in 2014, respectively. He is currently working at the College of Engineering, Hebei Normal University. His research areas include exploitation and utilization of energy resources.

Abstract

1 Introduction

2 Research Background

3 Experiment Evaluation

3.1 Core Processing and Physical Property Parameters

images

3.2 Core Pore Structure

images

images

images

3.3 Experimental Equipment and Procedure

4 Results

4.1 Pressure Distribution Characteristics of Depletion Production and Multiple Rounds of Huff and Puff

images

images

images

4.2 Gas Production Characteristics of Depletion Exploitation and Multiple Rounds of Huff and Puff

images

4.3 Recovery Degree Characteristics of Depletion Exploitation and Multiple Rounds of Huff and Puff

images

images

5 Discussion and Conclusion

Acknowledgments

Conflict of interest

References

Biographies